AUCTORES
Globalize your Research
Research Article | DOI: https://doi.org/10.31579/2578-8965/008
1 Department of obstetrics and gynecology, Ain Shams University, Egypt.
*Corresponding Author: Amr El Helali, Department of obstetrics and gynecology, Ain Shams University, Egypt, E-mail: ayman_gamal007@yahoo.com
Citation: Amr abd el Fattah El Helali , Amal el Shabrawi El Sayed, Wesal Hamdi Ali Hassan, (2018) Sonographic Versus Clinical Fetal Weight Estimation Accuracy. J. Obstetrics Gynecology and Reproductive Sciences. 2(1); Doi: 10.31579/2578-8965/008
Copyright: © 2018 Amr El Helali et al. This is an open-access article distributed under the terms of the Creative Commons Attribution License, which permits unrestricted use, distribution, and reproduction in any medium, provided the original author and source are credited.
Received: 28 March 2018 | Accepted: 07 May 2018 | Published: 08 May 2018
Keywords: Fetal weight, Ultrasound assessment of fetal weight, clinical assessment of fetal weight.
Background: Sonographic fetal weight estimation is an important component of antenatal care. It was found to be more reliable method to establish fetal weight at term and more consistent in various period of gestations.
Aim of study: to compare clinical and sonographic methods for assessment of fetal weight regarding sensitivity, specificity and accuracy.
Subjects and Methods: The study recruited 100 women scheduled for delivery from ante-natal care clinic with 38 weeks or more of gestation. Fetal weight was assed clinically and by ultrasound. Both techniques were compared and analyzed.
Results: Ultrasound assessment of fetal weight showed better performance than the clinical method regarding absolute errors and error percentages. Ultrasound assessment showed better sensitivity and specificity in detecting fetal weight > 3500 gm. Moreover, it showed less bias on Bland–Altman plot analysis.
Conclusions: Ultrasound assessment of fetal weight is safe, reliable and sensitive method of fetal weight estimation.
The estimation of the fetal weight is of major interest in many situations when the route of delivery has to be determined including breech presentations, diabetes and suspected macrosomia. In fact, delivery of a macrosomic fetus can be linked with significant maternal and perinatal morbidity. Detection of the macrosomic fetus prior to delivery could have a significant impact on reducing that morbidit [1-3].
On the other hand, in imminent preterm birth at the limit of viability between 23(0/7) and 26(0/7) weeks of gestation, it is crucial to determine fetal weight to help manage expected complications. Moreover, estimation of fetal weight proved to be useful in prediction of future events including childhood obesity [4-6].
Clinical estimation and ultrasonographic fetal weight estimation are the 2 methods commonly used to predict fetal weight. Clinical estimation of fetal weight is a routine practice in the delivery room. It has an important role in the assessment and planning of the delivery progress, it allows the clinician to predict possible complications such as macrosomia and plan for obstetric interventions where needed [7-9].
For sonographic assessment of fetal weight, many formulas are used. However, they differ in accuracy. In addition, accuracy differs according to the day of weight estimation. However, it should be noted that high maternal weight, height, body mass index, multiparity, older maternal age, diabetes, and fetal male sex were associated with underestimation of sonographic assessment of fetal weight [10-12].
In a recent study, comparison between clinical and sonographic methods showed significantly better sensitivity, specificity and accuracy of sonographic methods when compared with clinical tools. However, in another study no significant differences were found between clinical and sonographic methods for assessment of fetal weight during labor [13-15].
The present study aims to compare clinical and sonographic methods for assessment of fetal weight regarding sensitivity, specificity and accuracy.
The present study is a prospective comparative study. It was conducted at Ain Shams University Maternity Hospital after obtaining informed consent from all participants. One hundred pregnant woman scheduled for delivery from ante-natal care clinic were recruited for the study. They were selected according to the following inclusion criteria: Singleton pregnancy, gestational age after 38 weeks, normal amniotic index and BMI less than 30 kg/m2. Exclusion criteria included twin pregnancy, gestational age before 38weeks of gestation, abnormal amniotic index, obesity and congenital malformations.Participants included in following study were subjected to careful history taking, full clinical and obstetrical examination.Clinical assessment of fetal weight was achieved by single practitioner (senior resident), by measuring length from mid-point of upper edge of symphesis pupis to the highest fundal point to give fundal height [FH] in centimeter then measuring abdominal girth [AG] by measuring women waist in centimeter then calculate fetal Weight in grams by (FH × AG).Sonographic assessment of fetal weight was achieved by two dimensional ultrasound and single sonographer by measuring biparietal diameter (BPD), head circumference (HC), abdominal circumference (AC) and femur length (FL) then fetal weight was calculated using Hadlock formula where fetal weight = (log10 2D estimate = 1.5115 + 0.0436 [abdominal circumference] + 0.1517 [femur length] – 0.00321 [abdominal circumference × femur length] + 0.0006923 [biparietal diameter × head circumference]). Women were delivered within 3 days, the neonate was weighted, then the clinical and sonographic weight were compared to the actual weight.Data were collected, tabulated, then analyzed using IBM© SPSS© Statistics version 22. Normally distributed numerical data were presented as mean and SD, and skewed data as median and interquartile range. Qualitative data were presented as number and percentage. Comparison of normally distributed numerical data were done using the unpaired Student t test. Categorical data were compared using the chi-squared test or Fisher’s exact test, when appropriate. Correlation analysis was performed using Pearson’s correlation coefficient. Accuracy of fetal weight estimation was examined by calculating the absolute error (EFW - BW) and error percentage using the formula (EFW - BW / BW) ´ 100.
Reliability of clinical and sonographic methods of fetal weigh was determined using receiver operator characteristic (ROC) where area under the curve (AUC) sensitivity, specificity were determined. Bland-Altman plot analysis was used to detect agreement between investigations.
Basic data of 100 women included in the study are shown in table-1.
| Age (years) | Range | 19.0 - 32.0 |
| Mean ± SD | 25.7 ± 4.0 | |
| Weight (Kg) | Range | 60.0 - 82.0 |
| Mean ± SD | 72.2 ± 5.1 | |
Height (m) | Range | 1.5 - 1.72 |
| Mean ± SD | 1.62 ± 0.05 | |
BMI (Kg 2) /m | Range | 22.8 - 29.9 |
| Mean ± SD | 27.3 ± 1.6 | |
| < 25 | 11 (11.0 %) | |
| ≥ 25 - < 30 | 89 (89.0 %) | |
| Gestational age (days) | Range | 267 - 298 |
| Mean ± SD | 274.6 ± 5.7 | |
Parity | Range | 0 – 3 |
| Mean ± SD | 1.5 ± 1.1 | |
| 0 | 21 (21.0 %) | |
| 1 | 36 (36.0 %) | |
| 2 | 19 (19.0 %) | |
| 3 | 24 (24.0 %) | |
| Mode of delivery | Vaginal | 43 (43.0 %) |
| Cesarean Section | 57 (57.0 %) | |
| Clinically estimated fetal weight (gm) | Range | 2784.0 - 4485.0 |
| Mean ± SD | 3545.0 ± 456.9 | |
| US estimated fetal weight (gm) | Range | 2369.0 - 4349.0 |
| Mean ± SD | 3397.7 ± 487.7 |
Table 1: Basic data in the studied women (n=100).
The studied women had an age of 25.7 ± 4.0 years, a BMI of 27.3 ± 1.6 Kg/m2 a gestational age of 274.6 ± 5.7 days and a parity of 1.5 ± 1.1 deliveries. Vaginal delivery was the mode of delivery in 43 women while 57 women were delivered by CS. Clinical fetal weight estimation in the studied women ranged from 2784.0 - 4485.0 grams with a mean ± SD of 3545.0 ± 456.9 grams. Ultrasound fetal weight estimation ranged from 2369.0 - 4349.0 grams with a mean ± SD of 3397.7 ± 487.7 grams.
Comparison between clinical and ultrasound fetal weight estimates and the actual birth weight revealed that both estimates are significantly higher the actual birth weight. In addition, it was shown that clinical estimate is significantly higher ultrasound estimate. Comparing clinical and ultrasound methods showed significantly higher mean absolute error and mean error percentages in the clinical method. Comparison between clinical and ultrasound methods regarding absolute mean error at different gestational ages showed significantly higher absolute mean error in the clinical method at different gestational ages. Comparison between clinical and ultrasound methods regarding error percentages showed significantly higher frequency of high error percentages rates in the clinical methods when compared with the ultrasound methods (Table-2).
| Clinical | Ultrasound | P | |
| Mean absolute error (gm) | 495.6 ± 317.5 | 296.9 ± 308.0 | 0.0001* |
Mean error percentages (%) | 16.3 ± 11.1 | 9.9 ± 11.1 | 0.0001* |
| Absolute mean errorat different gestational ages | |||
(n=23) | 410.1 ± 256.3 | 190.6 ± 151.7 | 0.004* |
(n=41) | 526.9 ± 342.0 | 337.5 ± 350.9 | 0.002* |
(n=30) | 486.6 ± 300.0 | 284.4 ± 285.9 | 0.007* |
(n=6) | 400.7 ± 299.9 | 240.0 ± 295.2 | 0.028* |
| Error percentages | |||
| 25 | 48 | 0.001* |
| 7 | 21 | 0.004* |
| 16 | 10 | 0.21 |
| 19 | 1 | 0.0001* |
| 15 | 5 | 0.018* |
| 18 | 15 | 0.57 |
Table-2: Comparison between clinical and ultrasound methods regarding mean absolute error and mean error percentages, absolute mean error at different gestational ages and error percentages
Correlation analysis between clinically estimated fetal weight and the clinical data showed significantly direct correlation between Clinical EFW and gestational age, ultrasound EFW and actual BW. Also, correlation analysis between clinically estimated fetal weight and the clinical data showed significantly direct correlation between Clinical EFW and gestational age, ultrasound EFW and actual BW (Table-3)
| Clinical EFW | Ultrasonic EFW | |||
| r | p | r | p | |
| Maternal age | -0.05 | 0.62 | -0.14 | 0.14 |
| Maternal BMI | 0.06 | 0.53 | 0.13 | 0.2 |
| Parity | -0.02 | 0.82 | -0.02 | 0.78 |
| GA | 0.27 | 0.007* | 0.36 | 0.0001 |
Ultrasound EFW | 0.58 | 0.0001* | 0.58 | 0.0001* |
| Actual BW | 0.49 | 0.0001* | 0.69 | 0.0001* |
Table-3: Correlation between clinical and ultrasound EFW and the clinical data
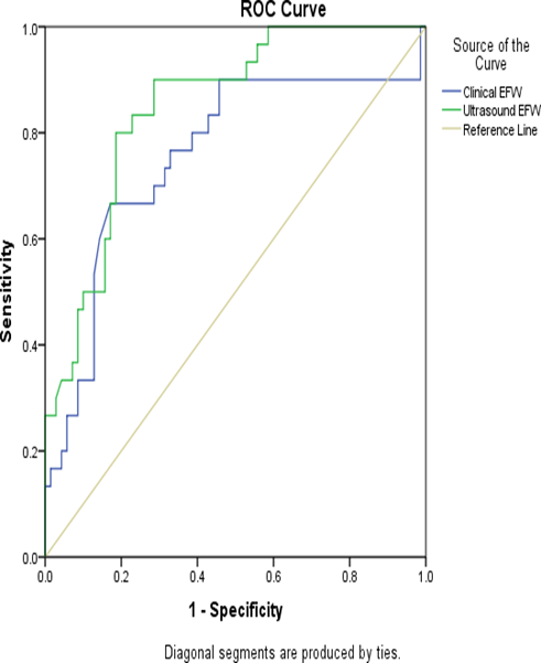
Value of clinical and ultrasound EFW determination in predicting actual fetal weight > 3500 gm is shown in table-4 and fig. 1. Ultrasound EFW had higher AUC and better sensitivity.
| Clinical EFW | Ultrasound EFW | |
| Cut-off | 3811 | 3550 |
| AUC | 0.76 | 0.85 |
| P | 0.0001 | 0.0001 |
| Sensitivity | 66.7 % | 80.0 % |
| Specificit | 82.9 % | 81.4 % |
Table-4 : Value of clinical and ultrasound EFW determination in predicting actual fetal weight> 3500 gm

Fig. (1) ROC analysis for predicting actual fetal weight > 3500 gm by clinical and ultrasound methods
Bland–Altman plot analysis for agreement between clinical and ultrasound EFW is shown in fig. 2 and 3 respectively. While both plots shows that most differences lie within the higher and lower confidence intervals, the bias is notably lower in the ultrasound plot.

Fig. (2) Bland–Altman plot for clinical EFW- actual birth weight agreement.

Fig. (3) Bland–Altman plot for ultrasound EFW- actual birth weight agreement.
Perinatal mortality and morbidity remains a chief health issue strongly corelated with fetal growth pattern, an issue of research interest showing that fetal growth issues is correlated to the risk of common non communicable diseases in adulthood.
Fetal weight assessment is one of the most vital aspects of antenatal care. At full term, fetal weight evaluation is an important factor for the clinical decision about the mode of delivery and the timing of induction .Additionally, estimated fetal weight (EFW) and fetal biometry are complementary measures used to screen for fetal growth disturbances.
Sonographic fetal weight estimation is an important component of antenatal care. However, although numerous methods were developed to compute the sonographic fetal weight estimation from fetal parameters, a high random error features most of them, undermining the accuracy of the sonographic fetal weight estimation and probably influencing clinical decision making concerning follow up of gestation and delivery [1-5]. On the other hand, ultrasound was found to be more reliable method to establish fetal weight at term and more consistent in various period of gestations. Clinical method can be reliably used to screen large babies in centers where ultrasound has limited availability [7-9].
The current research study aimed to compare and contrast clinical and sonographic methods for assessment of fetal weight regarding sensitivity, specificity and accuracy. The study recruited 100 women scheduled for delivery from ante-natal care clinic with 38 weeks or more of gestation. Fetal weight was assed clinically and by ultrasound. Both techniques were compared and analyzed. In the current study, comparison between clinical and ultrasound fetal weight estimates and the actual birth weight revealed that both estimates are significantly higher the actual birth weight. In addition, it was shown that clinical estimate is significantly higher than ultrasound estimate. This is in harmony with the study of on 200 term pregnant women. They used three formulae for the estimation of fetal weight at term; the Hadlock formula for the USG method, and two different formulas for clinical methods, maternal symphysis-fundal height and abdominal circumference at the level of umbilicus. The authors concluded that all three methods statistically overestimated birth weight for the high and normal birth weight groups. However, in a previous research study performed comparing the accuracy of clinical and sonographic methods of predicting fetal weights at term, clinical fetal weight estimation was significantly higher actual weight while ultrasound assessment was significantly lower actual weight [10-13].
The discrepancy between different studies may be attributed to different body mass indexes of the studied women. The study of highlighted the value of BMI in modulating the sonographically assessed fetal weight where increased BMI was associated with increased estimates of ultrasound fetal weight assessment [15].
In addition, it was found that comparing clinical and ultrasound methods showed significantly higher mean absolute error and mean error percentages in the clinical method. Furthermore, we noted that comparison between clinical and ultrasound methods regarding absolute mean error at different gestational ages showed significantly higher absolute mean error in the clinical method at different gestational ages. Moreover, comparison between clinical and ultrasound methods regarding error percentages showed significantly higher frequency of high error percentages rates in the clinical methods when compared with the ultrasound methods.[17]
This is in accordance with a prior research performed which compared the accuracy of clinical and ultrasound methods of fetal weight estimation in 200 consecutive term pregnancies. They noted that ultrasound assessment had significantly lower absolute errors and error percentages as compared to clinical methods [10].
Likewise, another research study similarly performed compared the accuracy of sonographic versus clinical methods of fetal weight estimation in 200 term women. The study found significantly lower mean percentage error and mean absolute percentage error with ultrasonic fetal assessments in babies weighing less than 4 kg [4].
More recently a group of researchers, performed a cross sectional study over a period of 6 months. All singleton term mothers with cephalic presentation and intact membranes with ultrasound examination done within a week were included in the study. The study found significantly lower mean error, absolute error and error percentages in the ultrasonic weight assessment versus clinical fetal weight assessment as contrasted to the actual weight of the studied babies [7-8].
Correlation analysis between clinically estimated fetal weight and the clinical data showed significantly direct correlation between Clinical EFW and gestational age, ultrasound EFW and actual BW likewise, These findings are in accordance with the a fore mentioned previous research.
Moreover, the study of by a research group evaluated the accuracy of fetal weight prediction by ultrasonography in 145 cases and found a significant, yet low, linear relationship between birth weight and estimated fetal weigh
Importantly, it was shown that ultrasound EFW had higher AUC and better sensitivity and specificity for the estimation of fetal weight > 3500 gm. The reliable sensitivity and specificity of ultrasound fetal weight estimation was also reported by the study who compared the accuracy of ultrasound, clinical and maternal estimates of fetal weight in 246 parous women with singleton, term pregnancies. In their work, ultrasound assessment of fetal weight was comparable to clinical methods.
In addition, reported that the sensitivity and specificity of clinical method and ultrasonographic method for identifying fetal birth weight above 3500 gm was 69.23; 65.67% and 46.15; 80.60%, respectively. Moreover, the study of in their work, they compare the accuracy of abdominal palpation with that of ultrasound performed by different examiners to estimate fetal weight. The authors showed that ultrasound notably dominated the clinical methods in the accurate assessment of fetal weight.
Bland–Altman plot analysis showed that most differences lie within the higher and lower confidence intervals, the bias is notably lower in the ultrasound plot. This is in agreement with the study of. In their work, they proposed to sonographically estimate fetal weight at term in a convenience sample of 282 women and to compare estimated with actual birth weights to determine the validity of estimated fetal weights. The study found that Bland and Altman plot analysis showed strong agreement between EFWs and ABWs because it was only in very few instances that differences between the two fell outside the 95% limit of agreement.
Also, in aprior study involving 500 singleton gestations, sonographic assesments were performed. Estimated fetal weights have been calculated and compared with the corresponding birth weights. According to Bland-Altman analysis, bias was -85.06 g (95% limits of agreement: -663.33 to 494.21) indicating good agreement between actual and ultrasound fetal assessments.
Sonographic evaluation of fetal weight displayed superiority than the clinical approach as regards absolute errors and error percentages. Sonographic examination additionally revealed better statistical sensitivity and specificity in detection of fetal weight > 3500 gm. Moreover, it showed less bias on Bland–Altman plot analysis.
Clearly Auctoresonline and particularly Psychology and Mental Health Care Journal is dedicated to improving health care services for individuals and populations. The editorial boards' ability to efficiently recognize and share the global importance of health literacy with a variety of stakeholders. Auctoresonline publishing platform can be used to facilitate of optimal client-based services and should be added to health care professionals' repertoire of evidence-based health care resources.
Journal of Clinical Cardiology and Cardiovascular Intervention The submission and review process was adequate. However I think that the publication total value should have been enlightened in early fases. Thank you for all.
Journal of Women Health Care and Issues By the present mail, I want to say thank to you and tour colleagues for facilitating my published article. Specially thank you for the peer review process, support from the editorial office. I appreciate positively the quality of your journal.
Journal of Clinical Research and Reports I would be very delighted to submit my testimonial regarding the reviewer board and the editorial office. The reviewer board were accurate and helpful regarding any modifications for my manuscript. And the editorial office were very helpful and supportive in contacting and monitoring with any update and offering help. It was my pleasure to contribute with your promising Journal and I am looking forward for more collaboration.
We would like to thank the Journal of Thoracic Disease and Cardiothoracic Surgery because of the services they provided us for our articles. The peer-review process was done in a very excellent time manner, and the opinions of the reviewers helped us to improve our manuscript further. The editorial office had an outstanding correspondence with us and guided us in many ways. During a hard time of the pandemic that is affecting every one of us tremendously, the editorial office helped us make everything easier for publishing scientific work. Hope for a more scientific relationship with your Journal.
The peer-review process which consisted high quality queries on the paper. I did answer six reviewers’ questions and comments before the paper was accepted. The support from the editorial office is excellent.
Journal of Neuroscience and Neurological Surgery. I had the experience of publishing a research article recently. The whole process was simple from submission to publication. The reviewers made specific and valuable recommendations and corrections that improved the quality of my publication. I strongly recommend this Journal.
Dr. Katarzyna Byczkowska My testimonial covering: "The peer review process is quick and effective. The support from the editorial office is very professional and friendly. Quality of the Clinical Cardiology and Cardiovascular Interventions is scientific and publishes ground-breaking research on cardiology that is useful for other professionals in the field.
Thank you most sincerely, with regard to the support you have given in relation to the reviewing process and the processing of my article entitled "Large Cell Neuroendocrine Carcinoma of The Prostate Gland: A Review and Update" for publication in your esteemed Journal, Journal of Cancer Research and Cellular Therapeutics". The editorial team has been very supportive.
Testimony of Journal of Clinical Otorhinolaryngology: work with your Reviews has been a educational and constructive experience. The editorial office were very helpful and supportive. It was a pleasure to contribute to your Journal.
Dr. Bernard Terkimbi Utoo, I am happy to publish my scientific work in Journal of Women Health Care and Issues (JWHCI). The manuscript submission was seamless and peer review process was top notch. I was amazed that 4 reviewers worked on the manuscript which made it a highly technical, standard and excellent quality paper. I appreciate the format and consideration for the APC as well as the speed of publication. It is my pleasure to continue with this scientific relationship with the esteem JWHCI.
This is an acknowledgment for peer reviewers, editorial board of Journal of Clinical Research and Reports. They show a lot of consideration for us as publishers for our research article “Evaluation of the different factors associated with side effects of COVID-19 vaccination on medical students, Mutah university, Al-Karak, Jordan”, in a very professional and easy way. This journal is one of outstanding medical journal.
Dear Hao Jiang, to Journal of Nutrition and Food Processing We greatly appreciate the efficient, professional and rapid processing of our paper by your team. If there is anything else we should do, please do not hesitate to let us know. On behalf of my co-authors, we would like to express our great appreciation to editor and reviewers.
As an author who has recently published in the journal "Brain and Neurological Disorders". I am delighted to provide a testimonial on the peer review process, editorial office support, and the overall quality of the journal. The peer review process at Brain and Neurological Disorders is rigorous and meticulous, ensuring that only high-quality, evidence-based research is published. The reviewers are experts in their fields, and their comments and suggestions were constructive and helped improve the quality of my manuscript. The review process was timely and efficient, with clear communication from the editorial office at each stage. The support from the editorial office was exceptional throughout the entire process. The editorial staff was responsive, professional, and always willing to help. They provided valuable guidance on formatting, structure, and ethical considerations, making the submission process seamless. Moreover, they kept me informed about the status of my manuscript and provided timely updates, which made the process less stressful. The journal Brain and Neurological Disorders is of the highest quality, with a strong focus on publishing cutting-edge research in the field of neurology. The articles published in this journal are well-researched, rigorously peer-reviewed, and written by experts in the field. The journal maintains high standards, ensuring that readers are provided with the most up-to-date and reliable information on brain and neurological disorders. In conclusion, I had a wonderful experience publishing in Brain and Neurological Disorders. The peer review process was thorough, the editorial office provided exceptional support, and the journal's quality is second to none. I would highly recommend this journal to any researcher working in the field of neurology and brain disorders.
Dear Agrippa Hilda, Journal of Neuroscience and Neurological Surgery, Editorial Coordinator, I trust this message finds you well. I want to extend my appreciation for considering my article for publication in your esteemed journal. I am pleased to provide a testimonial regarding the peer review process and the support received from your editorial office. The peer review process for my paper was carried out in a highly professional and thorough manner. The feedback and comments provided by the authors were constructive and very useful in improving the quality of the manuscript. This rigorous assessment process undoubtedly contributes to the high standards maintained by your journal.
International Journal of Clinical Case Reports and Reviews. I strongly recommend to consider submitting your work to this high-quality journal. The support and availability of the Editorial staff is outstanding and the review process was both efficient and rigorous.
Thank you very much for publishing my Research Article titled “Comparing Treatment Outcome Of Allergic Rhinitis Patients After Using Fluticasone Nasal Spray And Nasal Douching" in the Journal of Clinical Otorhinolaryngology. As Medical Professionals we are immensely benefited from study of various informative Articles and Papers published in this high quality Journal. I look forward to enriching my knowledge by regular study of the Journal and contribute my future work in the field of ENT through the Journal for use by the medical fraternity. The support from the Editorial office was excellent and very prompt. I also welcome the comments received from the readers of my Research Article.
Dear Erica Kelsey, Editorial Coordinator of Cancer Research and Cellular Therapeutics Our team is very satisfied with the processing of our paper by your journal. That was fast, efficient, rigorous, but without unnecessary complications. We appreciated the very short time between the submission of the paper and its publication on line on your site.
I am very glad to say that the peer review process is very successful and fast and support from the Editorial Office. Therefore, I would like to continue our scientific relationship for a long time. And I especially thank you for your kindly attention towards my article. Have a good day!
"We recently published an article entitled “Influence of beta-Cyclodextrins upon the Degradation of Carbofuran Derivatives under Alkaline Conditions" in the Journal of “Pesticides and Biofertilizers” to show that the cyclodextrins protect the carbamates increasing their half-life time in the presence of basic conditions This will be very helpful to understand carbofuran behaviour in the analytical, agro-environmental and food areas. We greatly appreciated the interaction with the editor and the editorial team; we were particularly well accompanied during the course of the revision process, since all various steps towards publication were short and without delay".
I would like to express my gratitude towards you process of article review and submission. I found this to be very fair and expedient. Your follow up has been excellent. I have many publications in national and international journal and your process has been one of the best so far. Keep up the great work.
We are grateful for this opportunity to provide a glowing recommendation to the Journal of Psychiatry and Psychotherapy. We found that the editorial team were very supportive, helpful, kept us abreast of timelines and over all very professional in nature. The peer review process was rigorous, efficient and constructive that really enhanced our article submission. The experience with this journal remains one of our best ever and we look forward to providing future submissions in the near future.
I am very pleased to serve as EBM of the journal, I hope many years of my experience in stem cells can help the journal from one way or another. As we know, stem cells hold great potential for regenerative medicine, which are mostly used to promote the repair response of diseased, dysfunctional or injured tissue using stem cells or their derivatives. I think Stem Cell Research and Therapeutics International is a great platform to publish and share the understanding towards the biology and translational or clinical application of stem cells.
I would like to give my testimony in the support I have got by the peer review process and to support the editorial office where they were of asset to support young author like me to be encouraged to publish their work in your respected journal and globalize and share knowledge across the globe. I really give my great gratitude to your journal and the peer review including the editorial office.
I am delighted to publish our manuscript entitled "A Perspective on Cocaine Induced Stroke - Its Mechanisms and Management" in the Journal of Neuroscience and Neurological Surgery. The peer review process, support from the editorial office, and quality of the journal are excellent. The manuscripts published are of high quality and of excellent scientific value. I recommend this journal very much to colleagues.
Dr.Tania Muñoz, My experience as researcher and author of a review article in The Journal Clinical Cardiology and Interventions has been very enriching and stimulating. The editorial team is excellent, performs its work with absolute responsibility and delivery. They are proactive, dynamic and receptive to all proposals. Supporting at all times the vast universe of authors who choose them as an option for publication. The team of review specialists, members of the editorial board, are brilliant professionals, with remarkable performance in medical research and scientific methodology. Together they form a frontline team that consolidates the JCCI as a magnificent option for the publication and review of high-level medical articles and broad collective interest. I am honored to be able to share my review article and open to receive all your comments.
“The peer review process of JPMHC is quick and effective. Authors are benefited by good and professional reviewers with huge experience in the field of psychology and mental health. The support from the editorial office is very professional. People to contact to are friendly and happy to help and assist any query authors might have. Quality of the Journal is scientific and publishes ground-breaking research on mental health that is useful for other professionals in the field”.
Dear editorial department: On behalf of our team, I hereby certify the reliability and superiority of the International Journal of Clinical Case Reports and Reviews in the peer review process, editorial support, and journal quality. Firstly, the peer review process of the International Journal of Clinical Case Reports and Reviews is rigorous, fair, transparent, fast, and of high quality. The editorial department invites experts from relevant fields as anonymous reviewers to review all submitted manuscripts. These experts have rich academic backgrounds and experience, and can accurately evaluate the academic quality, originality, and suitability of manuscripts. The editorial department is committed to ensuring the rigor of the peer review process, while also making every effort to ensure a fast review cycle to meet the needs of authors and the academic community. Secondly, the editorial team of the International Journal of Clinical Case Reports and Reviews is composed of a group of senior scholars and professionals with rich experience and professional knowledge in related fields. The editorial department is committed to assisting authors in improving their manuscripts, ensuring their academic accuracy, clarity, and completeness. Editors actively collaborate with authors, providing useful suggestions and feedback to promote the improvement and development of the manuscript. We believe that the support of the editorial department is one of the key factors in ensuring the quality of the journal. Finally, the International Journal of Clinical Case Reports and Reviews is renowned for its high- quality articles and strict academic standards. The editorial department is committed to publishing innovative and academically valuable research results to promote the development and progress of related fields. The International Journal of Clinical Case Reports and Reviews is reasonably priced and ensures excellent service and quality ratio, allowing authors to obtain high-level academic publishing opportunities in an affordable manner. I hereby solemnly declare that the International Journal of Clinical Case Reports and Reviews has a high level of credibility and superiority in terms of peer review process, editorial support, reasonable fees, and journal quality. Sincerely, Rui Tao.
Clinical Cardiology and Cardiovascular Interventions I testity the covering of the peer review process, support from the editorial office, and quality of the journal.
Clinical Cardiology and Cardiovascular Interventions, we deeply appreciate the interest shown in our work and its publication. It has been a true pleasure to collaborate with you. The peer review process, as well as the support provided by the editorial office, have been exceptional, and the quality of the journal is very high, which was a determining factor in our decision to publish with you.
The peer reviewers process is quick and effective, the supports from editorial office is excellent, the quality of journal is high. I would like to collabroate with Internatioanl journal of Clinical Case Reports and Reviews journal clinically in the future time.
Clinical Cardiology and Cardiovascular Interventions, I would like to express my sincerest gratitude for the trust placed in our team for the publication in your journal. It has been a true pleasure to collaborate with you on this project. I am pleased to inform you that both the peer review process and the attention from the editorial coordination have been excellent. Your team has worked with dedication and professionalism to ensure that your publication meets the highest standards of quality. We are confident that this collaboration will result in mutual success, and we are eager to see the fruits of this shared effort.
Dear Dr. Jessica Magne, Editorial Coordinator 0f Clinical Cardiology and Cardiovascular Interventions, I hope this message finds you well. I want to express my utmost gratitude for your excellent work and for the dedication and speed in the publication process of my article titled "Navigating Innovation: Qualitative Insights on Using Technology for Health Education in Acute Coronary Syndrome Patients." I am very satisfied with the peer review process, the support from the editorial office, and the quality of the journal. I hope we can maintain our scientific relationship in the long term.
Dear Monica Gissare, - Editorial Coordinator of Nutrition and Food Processing. ¨My testimony with you is truly professional, with a positive response regarding the follow-up of the article and its review, you took into account my qualities and the importance of the topic¨.
Dear Dr. Jessica Magne, Editorial Coordinator 0f Clinical Cardiology and Cardiovascular Interventions, The review process for the article “The Handling of Anti-aggregants and Anticoagulants in the Oncologic Heart Patient Submitted to Surgery” was extremely rigorous and detailed. From the initial submission to the final acceptance, the editorial team at the “Journal of Clinical Cardiology and Cardiovascular Interventions” demonstrated a high level of professionalism and dedication. The reviewers provided constructive and detailed feedback, which was essential for improving the quality of our work. Communication was always clear and efficient, ensuring that all our questions were promptly addressed. The quality of the “Journal of Clinical Cardiology and Cardiovascular Interventions” is undeniable. It is a peer-reviewed, open-access publication dedicated exclusively to disseminating high-quality research in the field of clinical cardiology and cardiovascular interventions. The journal's impact factor is currently under evaluation, and it is indexed in reputable databases, which further reinforces its credibility and relevance in the scientific field. I highly recommend this journal to researchers looking for a reputable platform to publish their studies.
Dear Editorial Coordinator of the Journal of Nutrition and Food Processing! "I would like to thank the Journal of Nutrition and Food Processing for including and publishing my article. The peer review process was very quick, movement and precise. The Editorial Board has done an extremely conscientious job with much help, valuable comments and advices. I find the journal very valuable from a professional point of view, thank you very much for allowing me to be part of it and I would like to participate in the future!”
Dealing with The Journal of Neurology and Neurological Surgery was very smooth and comprehensive. The office staff took time to address my needs and the response from editors and the office was prompt and fair. I certainly hope to publish with this journal again.Their professionalism is apparent and more than satisfactory. Susan Weiner
My Testimonial Covering as fellowing: Lin-Show Chin. The peer reviewers process is quick and effective, the supports from editorial office is excellent, the quality of journal is high. I would like to collabroate with Internatioanl journal of Clinical Case Reports and Reviews.
My experience publishing in Psychology and Mental Health Care was exceptional. The peer review process was rigorous and constructive, with reviewers providing valuable insights that helped enhance the quality of our work. The editorial team was highly supportive and responsive, making the submission process smooth and efficient. The journal's commitment to high standards and academic rigor makes it a respected platform for quality research. I am grateful for the opportunity to publish in such a reputable journal.
My experience publishing in International Journal of Clinical Case Reports and Reviews was exceptional. I Come forth to Provide a Testimonial Covering the Peer Review Process and the editorial office for the Professional and Impartial Evaluation of the Manuscript.
I would like to offer my testimony in the support. I have received through the peer review process and support the editorial office where they are to support young authors like me, encourage them to publish their work in your esteemed journals, and globalize and share knowledge globally. I really appreciate your journal, peer review, and editorial office.
Dear Agrippa Hilda- Editorial Coordinator of Journal of Neuroscience and Neurological Surgery, "The peer review process was very quick and of high quality, which can also be seen in the articles in the journal. The collaboration with the editorial office was very good."
I would like to express my sincere gratitude for the support and efficiency provided by the editorial office throughout the publication process of my article, “Delayed Vulvar Metastases from Rectal Carcinoma: A Case Report.” I greatly appreciate the assistance and guidance I received from your team, which made the entire process smooth and efficient. The peer review process was thorough and constructive, contributing to the overall quality of the final article. I am very grateful for the high level of professionalism and commitment shown by the editorial staff, and I look forward to maintaining a long-term collaboration with the International Journal of Clinical Case Reports and Reviews.
To Dear Erin Aust, I would like to express my heartfelt appreciation for the opportunity to have my work published in this esteemed journal. The entire publication process was smooth and well-organized, and I am extremely satisfied with the final result. The Editorial Team demonstrated the utmost professionalism, providing prompt and insightful feedback throughout the review process. Their clear communication and constructive suggestions were invaluable in enhancing my manuscript, and their meticulous attention to detail and dedication to quality are truly commendable. Additionally, the support from the Editorial Office was exceptional. From the initial submission to the final publication, I was guided through every step of the process with great care and professionalism. The team's responsiveness and assistance made the entire experience both easy and stress-free. I am also deeply impressed by the quality and reputation of the journal. It is an honor to have my research featured in such a respected publication, and I am confident that it will make a meaningful contribution to the field.
"I am grateful for the opportunity of contributing to [International Journal of Clinical Case Reports and Reviews] and for the rigorous review process that enhances the quality of research published in your esteemed journal. I sincerely appreciate the time and effort of your team who have dedicatedly helped me in improvising changes and modifying my manuscript. The insightful comments and constructive feedback provided have been invaluable in refining and strengthening my work".
I thank the ‘Journal of Clinical Research and Reports’ for accepting this article for publication. This is a rigorously peer reviewed journal which is on all major global scientific data bases. I note the review process was prompt, thorough and professionally critical. It gave us an insight into a number of important scientific/statistical issues. The review prompted us to review the relevant literature again and look at the limitations of the study. The peer reviewers were open, clear in the instructions and the editorial team was very prompt in their communication. This journal certainly publishes quality research articles. I would recommend the journal for any future publications.
Dear Jessica Magne, with gratitude for the joint work. Fast process of receiving and processing the submitted scientific materials in “Clinical Cardiology and Cardiovascular Interventions”. High level of competence of the editors with clear and correct recommendations and ideas for enriching the article.
We found the peer review process quick and positive in its input. The support from the editorial officer has been very agile, always with the intention of improving the article and taking into account our subsequent corrections.
My article, titled 'No Way Out of the Smartphone Epidemic Without Considering the Insights of Brain Research,' has been republished in the International Journal of Clinical Case Reports and Reviews. The review process was seamless and professional, with the editors being both friendly and supportive. I am deeply grateful for their efforts.
To Dear Erin Aust – Editorial Coordinator of Journal of General Medicine and Clinical Practice! I declare that I am absolutely satisfied with your work carried out with great competence in following the manuscript during the various stages from its receipt, during the revision process to the final acceptance for publication. Thank Prof. Elvira Farina
Dear Jessica, and the super professional team of the ‘Clinical Cardiology and Cardiovascular Interventions’ I am sincerely grateful to the coordinated work of the journal team for the no problem with the submission of my manuscript: “Cardiometabolic Disorders in A Pregnant Woman with Severe Preeclampsia on the Background of Morbid Obesity (Case Report).” The review process by 5 experts was fast, and the comments were professional, which made it more specific and academic, and the process of publication and presentation of the article was excellent. I recommend that my colleagues publish articles in this journal, and I am interested in further scientific cooperation. Sincerely and best wishes, Dr. Oleg Golyanovskiy.
Dear Ashley Rosa, Editorial Coordinator of the journal - Psychology and Mental Health Care. " The process of obtaining publication of my article in the Psychology and Mental Health Journal was positive in all areas. The peer review process resulted in a number of valuable comments, the editorial process was collaborative and timely, and the quality of this journal has been quickly noticed, resulting in alternative journals contacting me to publish with them." Warm regards, Susan Anne Smith, PhD. Australian Breastfeeding Association.
Dear Jessica Magne, Editorial Coordinator, Clinical Cardiology and Cardiovascular Interventions, Auctores Publishing LLC. I appreciate the journal (JCCI) editorial office support, the entire team leads were always ready to help, not only on technical front but also on thorough process. Also, I should thank dear reviewers’ attention to detail and creative approach to teach me and bring new insights by their comments. Surely, more discussions and introduction of other hemodynamic devices would provide better prevention and management of shock states. Your efforts and dedication in presenting educational materials in this journal are commendable. Best wishes from, Farahnaz Fallahian.
Dear Maria Emerson, Editorial Coordinator, International Journal of Clinical Case Reports and Reviews, Auctores Publishing LLC. I am delighted to have published our manuscript, "Acute Colonic Pseudo-Obstruction (ACPO): A rare but serious complication following caesarean section." I want to thank the editorial team, especially Maria Emerson, for their prompt review of the manuscript, quick responses to queries, and overall support. Yours sincerely Dr. Victor Olagundoye.
Dear Ashley Rosa, Editorial Coordinator, International Journal of Clinical Case Reports and Reviews. Many thanks for publishing this manuscript after I lost confidence the editors were most helpful, more than other journals Best wishes from, Susan Anne Smith, PhD. Australian Breastfeeding Association.
Dear Agrippa Hilda, Editorial Coordinator, Journal of Neuroscience and Neurological Surgery. The entire process including article submission, review, revision, and publication was extremely easy. The journal editor was prompt and helpful, and the reviewers contributed to the quality of the paper. Thank you so much! Eric Nussbaum, MD
Dr Hala Al Shaikh This is to acknowledge that the peer review process for the article ’ A Novel Gnrh1 Gene Mutation in Four Omani Male Siblings, Presentation and Management ’ sent to the International Journal of Clinical Case Reports and Reviews was quick and smooth. The editorial office was prompt with easy communication.
Dear Erin Aust, Editorial Coordinator, Journal of General Medicine and Clinical Practice. We are pleased to share our experience with the “Journal of General Medicine and Clinical Practice”, following the successful publication of our article. The peer review process was thorough and constructive, helping to improve the clarity and quality of the manuscript. We are especially thankful to Ms. Erin Aust, the Editorial Coordinator, for her prompt communication and continuous support throughout the process. Her professionalism ensured a smooth and efficient publication experience. The journal upholds high editorial standards, and we highly recommend it to fellow researchers seeking a credible platform for their work. Best wishes By, Dr. Rakhi Mishra.
Dear Jessica Magne, Editorial Coordinator, Clinical Cardiology and Cardiovascular Interventions, Auctores Publishing LLC. The peer review process of the journal of Clinical Cardiology and Cardiovascular Interventions was excellent and fast, as was the support of the editorial office and the quality of the journal. Kind regards Walter F. Riesen Prof. Dr. Dr. h.c. Walter F. Riesen.
Dear Ashley Rosa, Editorial Coordinator, International Journal of Clinical Case Reports and Reviews, Auctores Publishing LLC. Thank you for publishing our article, Exploring Clozapine's Efficacy in Managing Aggression: A Multiple Single-Case Study in Forensic Psychiatry in the international journal of clinical case reports and reviews. We found the peer review process very professional and efficient. The comments were constructive, and the whole process was efficient. On behalf of the co-authors, I would like to thank you for publishing this article. With regards, Dr. Jelle R. Lettinga.
Dear Clarissa Eric, Editorial Coordinator, Journal of Clinical Case Reports and Studies, I would like to express my deep admiration for the exceptional professionalism demonstrated by your journal. I am thoroughly impressed by the speed of the editorial process, the substantive and insightful reviews, and the meticulous preparation of the manuscript for publication. Additionally, I greatly appreciate the courteous and immediate responses from your editorial office to all my inquiries. Best Regards, Dariusz Ziora
Dear Chrystine Mejia, Editorial Coordinator, Journal of Neurodegeneration and Neurorehabilitation, Auctores Publishing LLC, We would like to thank the editorial team for the smooth and high-quality communication leading up to the publication of our article in the Journal of Neurodegeneration and Neurorehabilitation. The reviewers have extensive knowledge in the field, and their relevant questions helped to add value to our publication. Kind regards, Dr. Ravi Shrivastava.
Dear Clarissa Eric, Editorial Coordinator, Journal of Clinical Case Reports and Studies, Auctores Publishing LLC, USA Office: +1-(302)-520-2644. I would like to express my sincere appreciation for the efficient and professional handling of my case report by the ‘Journal of Clinical Case Reports and Studies’. The peer review process was not only fast but also highly constructive—the reviewers’ comments were clear, relevant, and greatly helped me improve the quality and clarity of my manuscript. I also received excellent support from the editorial office throughout the process. Communication was smooth and timely, and I felt well guided at every stage, from submission to publication. The overall quality and rigor of the journal are truly commendable. I am pleased to have published my work with Journal of Clinical Case Reports and Studies, and I look forward to future opportunities for collaboration. Sincerely, Aline Tollet, UCLouvain.
Dear Ms. Mayra Duenas, Editorial Coordinator, International Journal of Clinical Case Reports and Reviews. “The International Journal of Clinical Case Reports and Reviews represented the “ideal house” to share with the research community a first experience with the use of the Simeox device for speech rehabilitation. High scientific reputation and attractive website communication were first determinants for the selection of this Journal, and the following submission process exceeded expectations: fast but highly professional peer review, great support by the editorial office, elegant graphic layout. Exactly what a dynamic research team - also composed by allied professionals - needs!" From, Chiara Beccaluva, PT - Italy.
Dear Maria Emerson, Editorial Coordinator, we have deeply appreciated the professionalism demonstrated by the International Journal of Clinical Case Reports and Reviews. The reviewers have extensive knowledge of our field and have been very efficient and fast in supporting the process. I am really looking forward to further collaboration. Thanks. Best regards, Dr. Claudio Ligresti
Dear Chrystine Mejia, Editorial Coordinator, Journal of Neurodegeneration and Neurorehabilitation. “The peer review process was efficient and constructive, and the editorial office provided excellent communication and support throughout. The journal ensures scientific rigor and high editorial standards, while also offering a smooth and timely publication process. We sincerely appreciate the work of the editorial team in facilitating the dissemination of innovative approaches such as the Bonori Method.” Best regards, Dr. Matteo Bonori.
I recommend without hesitation submitting relevant papers on medical decision making to the International Journal of Clinical Case Reports and Reviews. I am very grateful to the editorial staff. Maria Emerson was a pleasure to communicate with. The time from submission to publication was an extremely short 3 weeks. The editorial staff submitted the paper to three reviewers. Two of the reviewers commented positively on the value of publishing the paper. The editorial staff quickly recognized the third reviewer’s comments as an unjust attempt to reject the paper. I revised the paper as recommended by the first two reviewers.
Dear Maria Emerson, Editorial Coordinator, Journal of Clinical Research and Reports. Thank you for publishing our case report: "Clinical Case of Effective Fetal Stem Cells Treatment in a Patient with Autism Spectrum Disorder" within the "Journal of Clinical Research and Reports" being submitted by the team of EmCell doctors from Kyiv, Ukraine. We much appreciate a professional and transparent peer-review process from Auctores. All research Doctors are so grateful to your Editorial Office and Auctores Publishing support! I amiably wish our article publication maintained a top quality of your International Scientific Journal. My best wishes for a prosperity of the Journal of Clinical Research and Reports. Hope our scientific relationship and cooperation will remain long lasting. Thank you very much indeed. Kind regards, Dr. Andriy Sinelnyk Cell Therapy Center EmCell
Dear Editorial Team, Clinical Cardiology and Cardiovascular Interventions. It was truly a rewarding experience to work with the journal “Clinical Cardiology and Cardiovascular Interventions”. The peer review process was insightful and encouraging, helping us refine our work to a higher standard. The editorial office offered exceptional support with prompt and thoughtful communication. I highly value the journal’s role in promoting scientific advancement and am honored to be part of it. Best regards, Meng-Jou Lee, MD, Department of Anesthesiology, National Taiwan University Hospital.
Dear Editorial Team, Journal-Clinical Cardiology and Cardiovascular Interventions, “Publishing my article with Clinical Cardiology and Cardiovascular Interventions has been a highly positive experience. The peer-review process was rigorous yet supportive, offering valuable feedback that strengthened my work. The editorial team demonstrated exceptional professionalism, prompt communication, and a genuine commitment to maintaining the highest scientific standards. I am very pleased with the publication quality and proud to be associated with such a reputable journal.” Warm regards, Dr. Mahmoud Kamal Moustafa Ahmed
Dear Maria Emerson, Editorial Coordinator of ‘International Journal of Clinical Case Reports and Reviews’, I appreciate the opportunity to publish my article with your journal. The editorial office provided clear communication during the submission and review process, and I found the overall experience professional and constructive. Best regards, Elena Salvatore.
Dear Mayra Duenas, Editorial Coordinator of ‘International Journal of Clinical Case Reports and Reviews Herewith I confirm an optimal peer review process and a great support of the editorial office of the present journal
Dear Editorial Team, Clinical Cardiology and Cardiovascular Interventions. I am really grateful for the peers review; their feedback gave me the opportunity to reflect on the message and impact of my work and to ameliorate the article. The editors did a great job in addition by encouraging me to continue with the process of publishing.
Dear Cecilia Lilly, Editorial Coordinator, Endocrinology and Disorders, Thank you so much for your quick response regarding reviewing and all process till publishing our manuscript entitled: Prevalence of Pre-Diabetes and its Associated Risk Factors Among Nile College Students, Sudan. Best regards, Dr Mamoun Magzoub.
International Journal of Clinical Case Reports and Reviews is a high quality journal that has a clear and concise submission process. The peer review process was comprehensive and constructive. Support from the editorial office was excellent, since the administrative staff were responsive. The journal provides a fast and timely publication timeline.
Dear Maria Emerson, Editorial Coordinator of International Journal of Clinical Case Reports and Reviews, What distinguishes International Journal of Clinical Case Report and Review is not only the scientific rigor of its publications, but the intellectual climate in which research is evaluated. The submission process is refreshingly free of unnecessary formal barriers and bureaucratic rituals that often complicate academic publishing without adding real value. The peer-review system is demanding yet constructive, guided by genuine scientific dialogue rather than hierarchical or authoritarian attitudes. Reviewers act as collaborators in improving the manuscript, not as gatekeepers imposing arbitrary standards. This journal offers a rare balance: high methodological standards combined with a respectful, transparent, and supportive editorial approach. In an era where publishing can feel more burdensome than research itself, this platform restores the original purpose of peer review — to refine ideas, not to obstruct them Prof. Perlat Kapisyzi, FCCP PULMONOLOGIST AND THORACIC IMAGING.
Dear Grace Pierce, International Journal of Clinical Case Reports and Reviews I appreciate the opportunity to review for Auctore Journal, as the overall editorial process was smooth, transparent and professionally managed. This journal maintains high scientific standards and ensures timely communications with authors, which is truly commendable. I would like to express my special thanks to editor Grace Pierce for his constant guidance, promt responses, and supportive coordination throughout the review process. I am also greatful to Eleanor Bailey from the finance department for her clear communication and efficient handling of all administrative matters. Overall, my experience with Auctore Journal has been highly positive and rewarding. Best regards, Sabita sinha
Dear Mayra Duenas, Editorial Coordinator of the journal IJCCR, I write here a little on my experience as an author submitting to the International Journal of Clinical Case Reports and Reviews (IJCCR). This was my first submission to IJCCR and my manuscript was inherently an outsider’s effort. It attempted to broadly identify and then make some sense of life’s under-appreciated mysteries. I initially had responded to a request for possible submissions. I then contacted IJCCR with a tentative topic for a manuscript. They quickly got back with an approval for the submission, but with a particular requirement that it be medically relevant. I then put together a manuscript and submitted it. After the usual back-and-forth over forms and formality, the manuscript was sent off for reviews. Within 2 weeks I got back 4 reviews which were both helpful and also surprising. Surprising in that the topic was somewhat foreign to medical literature. My subsequent updates in response to the reviewer comments went smoothly and in short order I had a series of proofs to evaluate. All in all, the whole publication process seemed outstanding. It was both helpful in terms of the paper’s content and also in terms of its efficient and friendly communications. Thank you all very much. Sincerely, Ted Christopher, Rochester, NY.