AUCTORES
Globalize your Research
Review | DOI: https://doi.org/10.31579/2693-4779/037
1 R&D Unit,Academy of History of Healthcare Art,Rome,Italy; China Medical University,Shenyang,China
2 ISCD Nanoscience Center,Rome,Italy.
*Corresponding Author: Pierfrancesco Morganti, R&D Unit,Academy of History of Healthcare Art,Rome,Italy; China Medical University,Shenyang,China.
Citation: P Morganti, Gianluca M and M Palombo. (2021) Research & Innovation for Sustainable Products: Polysaccarides for a smart circular economy at zero waste. Clinical Research and Clinical Trials. 3(3); DOI:10.31579/2693-4779/037
Copyright: © 2021 Pierfrancesco Morganti. This is an open access article distributed under the Creative Commons Attribution License, which permits unrestricted use, distribution, and reproduction in any medium, provided the original work is properly cited.
Received: 15 April 2021 | Accepted: 29 April 2021 | Published: 03 May 2021
Keywords: research innovation; sustainable products; polysaccarides; smart circular economy
Scientific Research and Innovation (R&I) may be considered respectively "the spoken language and the written language of every culture".The first is necessary to discover new lands,while the second results fundamental to build housed & roads and make food,necessary for an healthy living.At this purpose,the scientific research may be distinguished in 3 different phases: basic and experimental research,applied research and industrial research. Innovation comes from the basic research,while the applied research represents the bridge between the basic research and the industrial ones.
Scientific Research and Innovation (R&I) may be considered respectively "the spoken language and the written language of every culture"(1).The first is necessary to discover new lands,while the second results fundamental to build housed & roads and make food,necessary for an healthy living.At this purpose,the scientific research may be distinguished in 3 different phases: basic and experimental research,applied research and industrial research. Innovation comes from the basic research, while the applied research represents the bridge between the basic research and the industrial ones [1].
However,the basic research results fundamental to design the criteria by which the scientific knowledge develops technical innovations,necessary for a sustainable development. Thus new theories have been constructed which,generating new possible scientific applications and technologies,can be engineered by the applied and industrial research,indispensable to realize the designed products.Consequently,the innovative industries may transform their applied researches in technological smart products with a cost-advantage or a significant lead quality over their rivals[1].However,according to the actual consumer requests,it results fundamental to make products by sustainable raw materials and technologies, possibly at zero waste to preserve human health and the environment [2-4].
It's not to forget that the actual linear economy,based on take,make and produce waste, is provoking increased greenhouse gas emissions(GHG) and climate changing with an estimated global human deaths of around 7 million per year,3 million of which due to air particulates [5-8] (fig 1).

Figure 1: Worldwide Death rate from outdoor and indoor air particulate (by courtesy of Our World in Data)
Thus the necessity to produce goods by the circular economy,based on reducing,reusing and recycling ,possibly at zero pollution level with waste level. Air pollution,in fact,represents one of the worldwide greatest human risk,persisting the today particulate pollution level.It,in fact,seems to be the supposed cause which provokes the estimated total loss of 12.8 billion years of life for the global population (fig 2)[9].

Figure 2: Particulate pollution levels and other injuries contributing to reduce years of life (By courtesy of STATISTA 1[9]).

Figure 3: Indoor and Outdoor particulate (by courtesy of Nohynek [14 ])

Figure 4: Packaging,Building & Construction,and Textiles are the sector at major consumers of plastic polymers(by the courtesy of Our World in Data)
Air pollution,human health and wellbeing,in fact,are intimately linked to environmental quality and climate changing,impacting on food and water security as well as affecting diseases such as COVID-19 pandemic(10-13).Moreover,it is also to underline that, because of the forced lockdown necessary to eliminate the virus spreading,more than 90% of people are living at home (indoor) where levels of micro-nano-particulate are more higher than in outdoor (fig 3)(14,15).
Therefore through more research studies and investments,it will be possible to realize innovative biodegradable products environmentally-friendly,trying to respect the equilibrium between market structure and innovation.These new smart products would be possibly plastic-free especially in the end-use sectors,such as packaging,building &construction and textiles which utilize around 300 million tons of plastic polymers per year (fig 4) (16,17)

Figure 5: Microplastic particles will be more than fishes by 2050(by the courtesy of Ellen McArthur Foundation [23].
Another example of unusual pollution is due to the actual great use of non- biodegradable surgical and beauty masks which,filled in the Environment,are increasing the microplastics waste which invade lands and oceans(18-21).It has been estimated,in fact,that going on by the actual "plastic" production and consumption,there will be in oceans more microplastics than fishes by 2050(fig 5)(22).Therefore,by the actual smart technologies and the circular economy could be possible to make various tissues and biodegradable bioplastic-packagings by the use of polysaccharides,obtained from food and industrial waste.So doing the precious natural raw materials and the Planet's Biodiversity may be safeguarded.
Just to remember in 2016, 242 million tonnes of plastic waste have been generated,representing 12 percent of all solid global waste,which has been estimated to grow by 70 % by 2050 , i f no action will be taken. Thus industry and consumer.Additionally,in the same year this waste has generated 1.6 billion tons of carbon dioxide,supposed to increase to 2,6 billion tons in 2050.Thus industry and consumer have to change their way of producing and consummating respectively [23,24].Unfortunately,"cities and countries are rapidly developing without adequate systems"of recycling,thus producing solid waste that affects negatively their citizens [24].Consequently, the particulate matter pollution generated is responsible for more than 100,000 deaths each year,causing many diseases,including hearth attacks,strokes and lung cancer.Moreover,billion of toxic micro/nanoplastics,which invade the oceans,in fact,are entering in the food of fishes and sea-mammals, impacting human food and the health in a manner to be jet better discovered[5-15].
Thus the need of more investments and research studies indispensable to utilize the great quantity of waste generated by agro-forestry and food industry for producing innovative goods and tissues (25).At this purpose it is interesting to underline the necessity to support Research and Innovation by new way of inventing,learning,producing,and trading,as reported and shown by the Global Innovation Index[25].This Index ranks Countries by 80 well defined parameters including political regulatory and business environment,society welfare and scientific and creative outputs,education and R&D expenditure,workers knowledge,infrastructures and ecological sustainability,etc.(fig. 6).By this methodology, it is possible to verify the countries which are investing more in research and development in different sectors, safeguarding wellness,wellbeing,wealth and the environment.Thus the top Countries classified for their leadership Innovation are: Switzerland,Sweden,and Netherland in EU or USA and Canada in North America,Israel in Western Asia or Singapore,South Korea and Hong Kong/China in Asia Pacific.They have been able to conquer and maintain the first positions during the last ten years and the COVID-19 pandemic period also,as reported in figure 7 and 8.[25,26].However,in 2020 some countries have shown to change its innovation position(fig 8).

Figure 6: Classification of the Global Innovation Index (by courtesy of Global Foundation Index [25,26])

Figure 7: The worldwide leaders of innovation (by courtesy of Global Innovation Index [25, 26])

Figure 8: The worldwide Innovation economies by region (by courtesy of Global Innovation Index [25.26].
In any way,research and innovation are vital to the countries's prosperity,security and wellness.Consequently,innovation should be focused worldwide on the ecological,social and economic transitions accordingly to the European Horizon Program 2021-2027' investments,notably increased during the years becoming from the 1984-1987 period (fig 9)[27].Innovation,in fact,has a profound impact not only on the global economy,but also on the quality of life,as it appeared evident during the COVID-19 pandemic' crisis which triggered an unprecedented global economic shutdown and a contemporaneous request of wealth with an healthy environment[28].The greatest innovation happens in fact,during periods of economic crisis like television emerged around the Great Depression,so that innovation has to be considered a key enabler of progress and competitiveness. Thus,innovative research studies may create new categories of solutions by new way of learning,inventing and producing.According to the World Bank Group President David Malpass,"to overcome the impacts of pandemic and counter the investment headwind,there need to be a major push to improve business environments,increase labor and product market flexibility,and strengthen transparency and governance"[25].Therefore the innovation,respective of both human health and environment,is the main way to build a sustainable and inclusive future for each country, engineering its growth and economic development by new technologies and fundings.Thus the COVID-19 pandemic,which has triggered an unprecedented global economic shutdown,might catalyze innovation in many sectors such as tourism,education,transportation services,and e-commerce,reorganizing production Locally and globally by new smart technologies structured and realized to reduce or reverse long-term climate changing.

Figure 9: HorizonEU Investments budget from 1984 to 2027(by courtesy of EC [27]
The global food systems is responsible for around 30% of the total GHG emissions due to 1.3 billion tons of food lost every year,while the plastic emissions represents 10/13% of the entire carbon budget (fig 10)[28-30].On the other hand,It has been estimated that,with the actual production and incineration of plastic material,the annual emission of CO3 could grow to more than 2.75 billion metric tons by 2050[30].Global production and use of plastics or synthetic polymers,in fact,has been increased at a compound annual growth rate of 8.3% since the beginning mass production from 1950 , surpassing the output of the other man- made materials( fig 11 ) [31,32].Consequently,between 1950 and 2017, 9,200 million metric tons (Mt) of virgin plastics were produced,5,300 of which have been discarded in landfills or the natural environment,recovered into the oceans,as toxic microplastic fibers [33,34].Moreover as previously reported,the consumers purchase of more than 80 billion pieces of new clothing each year,translated to USD 1.2 trillion annually,has created other millions of tons(Mt) of textile waste in landfills,with negative implications on both environment and human health[35].Just to remember it has been estimated that between 1950 and 2016 from the apparel washing 5.6Mt of synthetic microfibers have been filled into the oceans [34,36].Last but not least,it is to consider that both women and men are using between 9 and 15 personal care products per day,placing daily around 515 individual chemicals on their skin and the environment.Consequently,cosmetics represent another important field contributing to increase the chemicals and plastic packaging' waste,ranging 142 billion units in 2020 [37,38].For all these reasons as a result of COVID-19 pandemic,the vast majority of consumers worldwide are looking for safety, hygiene and sustainable products plastic-free.They claim to be willing to pay more for reducing the environmental footprint,due also to the packaging materials generating a turnover of USD 900 billion a year [39,40].However,for customers in EU and Japan,the marine litter is increasingly important,while pollution is more of concern in other Asian and Americas countries.Thus,they rank plastic packaging made by compostable and sustainable materials,accelerating online shopping products,focused even more on health and hygiene (40).Consumers,in fact,are looking for friendly,safe,effective and innovative products,including food,cosmetics and apparel,They feel the responsibility for the world where all of us are living,having an increasing concern for their own wealth,wellness and wellbeing[41,42].It is to recognize,therefore,the impossibility to live a full life without an healthy body,mind and spirit,strictly connected to the natural environment and climate changing with a reduced GHG emissions.COVID-19 pandemic,therefore,has to be considered a wake- up call to modify our way of living,remembering how the actual global climate changing is damaging human health day by day[43].It,in fact,is projected to have a greater impact in the future,dragging more than 100 million people back to extreme poverty by 2030 with much of this reversal,attributable to negative impacts on health [44].Thus,the growing need for a greater integration among social protection measures,climate change adaptation and disaster risk reduction efforts[45]

Figure 10: Global greenhouse gas emission from food production (by courtesy of Our in World Data [28]

Figure 11: Plastic waste in the oceans (by courtesy of Jambeck et al [33])
In conclusion,the increasing waste are producing pollutions and climate changing with an increase of diseases such as the last coronavirus infection.Thus "the necessity to invigorate economies and steer the countries to a prosperous low-carbon future","helping reinforce economies that COVID-19 pandemic has weakened,and create healthier more equitable communities"[46,47].This illness,in fact,modifying the likelihood of people habits "has impacted profoundly the consumer lifestyles by a renewed focus on science and nature and sustainability"[46].Consequently,on the one hand personal health has been prioritized,while the connection between wellbeing/ wellness and technology by the digital retail strategy has been accelerated.[48].Thus the necessity to protect the natural environment that,helping mitigate climate changing by adsorbing CO2,could play an important role in preventing the next possible pandemic diseases.Moreover,a major use of natural-derived ingredients,such as polysaccharides,for producing biodegradable goods and tissues may be of great help to reduce production and consumption of petrol-derived plastics and polymers,going versus the requests of scientists and consumers.
The worldwide growth of the population and the constant consumption of natural resources,are exerting a great pressure on the environment,producing waste and GHG emissions.Thus the necessity to use the natural raw materials in the best way,by a circular economy based on sustainable development and recycled waste to preserve an healthy environment for the future generations,according also to the Europe 2020 and H e l l e n M c A r t h u r F o u n d a t i o n ' s t r a t e g i e s [49 - 51] . T h e p r o d u c t i o n o f polysaccharides,polypeptides and polymers,including chitin Nanofibrils and Nanolignin are going in this direction,jointing together circular economy (CE),green economy(GE)and bio-economy (BE) based on economic,environmental and social goals,also if with different geographical distributions:China,in fact,dominate in CE research,EU is prevalently focused on BE,while mostly worldwide researches are based on GE[52-54].Just to better understand the differences among these research approaches,CE is "focused on industrial urban processes" necessary to decoupling resource use and economic output;BE,represents the integration of science with business and society,being focused "on biological resource-based innovation" with a better land use,while GE "try to envelop an umbrella perspective for a balanced social- environmental development"[52-54]
However, polysaccharides are natural and particularly safe macromolecules which can be extracted at low cost not only from plants, fungi, algae, but also from animals and bacteria. They are polymers consisting of repeating units of sugar monomers, which, extensively used in biomedical and pharmaceutical applications, show a wide range of biological multi-faced properties, including their easy bio/absorbable activity, and antioxidant, immunomodulating, and antibacterial effectiveness [55,56]. The sugar polymers are classified in monosaccharides, disaccharides, oligosaccharides and polysaccharides, and represented by long chains of carbon, hydrogen and oxygen, bound through glycosidic linkages with highly stereo- and regional-controlled arrangements. Among the polysaccharides chitin, lignin and their derived compounds seem to be the more promising natural polymers to be used as healthy and safe macromolecules effective as carrier and active ingredients.
They are natural polysaccharides containing N-acetyl groups and amino groups respectively,characterized for their high molecular weight and high percentage of nitrogen(6.89%),excellent biocompatibility,biodegradability and bio-absorbability with low immunogenicity and toxicity[57,58].Structurally chitin is similar to the polysaccharide cellulose and,treated by alkali,the polymer lose the majority of the acetyl glucosamine monomers producing chitosan more rich in glucosamine.Thus,in chitin,the acetylated units prevail being from 40- to 50%and more,depending to the method of industrial production,while chitosan is fully or partially deacetylated from [59%-98%].However, chitin and chitosan differ not only for their molecular weight and extent of acetylation,but also for the dispersion of the polymerization' degree and the various distribution of the acetylated and de-acetylated units,along the polymer chain.All these characteristics affect the chemical and biological properties of these polymers[60].
Chitin is the most abundant second common polysaccharide found in nature after cellulose,being widely distributed in the skeletal material of crustaceans and insects as well as component of cell walls of bacteria and fungi.It differs from cellulose only for the C-2 position of the backbone,where chitin has a N-acetyl group,chitosan an amino group and cellulose an hydroxyl group (fig 12).Depending on the molecular chain orientation chitin is produced in nature in the beta,gamma and in alpha form,as the more frequent.In this last form the polymer appears organized by ordered crystalline microfibril units comprised of 18-25 polymeric chains which create a complex hierarchical architecture [61].Thus,the acetyl groups of the crystallin alpha-chitin

Figure 12: Chemical formulation of cellulose compared to Chitin and chitosan
structure represent essential interactive sites,necessary to connect the adjacent chitin chains via hydrogen bonds as well as by other non-bonded interactions.Consequently for example,the bundles of chitin nanofibrils determine the corresponding mechanical properties and flexibility of the final engineered non-woven tissue designed as well as the degree of deacetylation of the polymer leads to the capability of forming more or less hydrogen and covalent bonding at low pH,because of the presence of -OH and - NH2 free groups [62].When industrially produced from our group,each chitin Nanofibril' (CN)crystal is covered on its surface by around 15.000 positive electrical charges,and shows a mean dimension of 240x7x5 nm (fig 13) with a water uptake capacity of about 400 wt%,at a pH interval between 2 and 4[63,65].Thus in water suspension,CN exhibits an interesting capacity to self-assembly natural polymers covered by negative charges as nanolignin(LN),entrapping active ingredients as glycyrrhetic acid and niacinamide into films of polylactic acid (PLA)made (fig 14) [66].Moreover CN,allowing the facility to modify its surface because of the high modulus and strength along the axes of the fiber and the capacity to self-assembly with other natural polymers entrapping different active ingredients,has shown the ability to recreate the natural arrangement of fibrous proteins in living tissues,repairing burns and skin wounds[67,68].Moreover, CN,contributes to the orientation of the chitosan/chitin nanocomposite and other macromolecules as PLA nanocomposite,increasing its strength and Young modulus of the final designed fibers(fig 15) [69,70].Probably these various characteristics could be at the base of the effectiveness to repair the skin affected by burns and wounds of tissues made by CN and its complexes[71].

Figure 13: Chitin Nanofibrils at Trasmission electronic microscopy and its natural hierarchical structure made by antiparallel chains

Figure 14: FTIR Spectrum of Chitin Nanofibril-Nanolignin(CN-LG)complex encapsulating respectively niacinamide(a) and Glycyrrhetic acid(b), embedded into a film made by polylactic acid(PLA) and controlled by the Fourier Transform Infrared Spectroscopy(ATR-FTIR) (by the courtesy of Miletic et al [70])

Figure 15: Supposed position of chitin Nanofibrils into a chitosan nanocomposite fiber (by the courtesy of Yudin et al [69])
At this purpose it has been shown the facility by which CN-Lignin,bound to nanostructured silver (Ag), make non-woven tissues.Moreover,the tissues have the ability to regulate the cicatrizing phenomena promoting the healing of skin wounds and its repairing activity in a shorter time.Additionally,they don't provoke side effects such as hypertrophic scars and keloids,probably modulating the cytokines activity (67,68)..It has been verified in vitro, in fact, that both CN and its complexes with lignin and yaluronic acid stimulate the fibroblasts survival and growth modulating the releasing of both antiinflammatory citokines and antibacterial defensins [65, 66, 72, 73]. Cosmeceuticals and nanochitin and nanochitosan are suggested as excellent candidates for Biomaterials of pharmaceutical and cosmetic use, including,gel,spay, surgical and beauty masks,and one-day medical dressings[74,19-21]. Moreover,they are used to develop scaffolds,drug release systems for wound healing,and biomedical applications [61,65,66] as well as for cosmeceuticals and active cosmetic tissues[74-76], industrial adsorbents, civil engineering applications[78],water purification [79], protein biosensors[79] and nanofillers in the reinforcement of both natural and synthetic composites to avoid the nano-fibril agglomeration also [61,81-84].
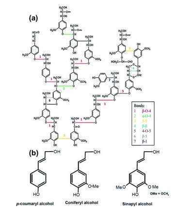
As previously reported, lignin and its derived compounds complexed with chitin Nanofibrils may be used in the biomedical field to produce films or non-woven tissues to repair burned and wounded skin or to try to slow down the appearance of fine lines and wrinkles [85].Lignin in nature is an highly branched,three-dimensional polymer built up mainly from three phenyl propane units :p-coumaryl alcohol,conipheryl alcohol and sinapyl alcohol,the mixture of which varies between different phylogenetic groups of plants,tissues and cell wall layers [86,87].These units,named monolignols consist of phenol and short aliphatic side chains covalently connected by carbon-carbon bonds to form the polymer (fig 16).Thanks to the presence of numerous phenolic group, lignin possesses interesting antioxidant and UV protective properties useful to make biomaterials for pharmaceutical, cosmetic and diet supplement use[89,90].However, it is interesting to underline that chitin-rich peel, present in the beetle shells of certain insects, is impregnated with aromatic polymerized monomers resulting similar to lignin [88].On the other hand, some fungi and algae produce lignin of identical structure of vascular plants giving them an hard and resistant polymer similar to chitin, synthesizing melanin just as insects and mammals [89,90].
Thus,chitin and lignin are both natural polymers that can be complexed by the gelation method to obtain nanoparticles able to entrap different active ingredients designed to make innovative biomedical healthy products. Naturally the obtained final nanoparticle properly come not only from the active ingredient selected and entrapped into the complex, but also from its morphology, size and surface charge determined by the purity and concentration of both lignin and chitin, their physicochemical characteristics and the solvent used for its extraction(63,91). However, both these polymers may have many potential applications as wound dressings and drug delivery systems depending to the different ways chitin and lignin can be combined with other biomaterials and bio-ingredients to construct innovative composite,biodegradable films and non-woven tissues,as reported from some of our research studies also(20-22,63-77,91-93).

Figure 16: Lignin proposed structure
As it has been focused, according to consumers and scientists opinions, plastic production and use, together with food lost, deforestation, overpopulation and great releasing of waste have increased worldwide air and land pollution creating not only worries for global warming and earth disasters but causing also diseases such as COVID-19 pandemic due mostly to human activities and the actual way of producing, consuming and living. Thus, the necessity to change our way of living, recycling not only the textile materials taking the habit to consume less apparel, but becoming also to reduce food lost and waste levels which, accounting for about 8% of the global anthropogenic GHG emissions, represent a significant contribution to climate change (28,94).It is also to underline the further increase of the actual problem of waste which has been forecasted to grow from 260 million tons per year in 2016 to 460 million tons by 2030,if plastic demand will follow the today trajectory [95].In 2015,in fact, of the 8.3 billion metric tons of plastic produced,6.3 billion will become waste, being actually 9% recycled,12% incinerated and 79%accumulated in the natural environment(lands and oceans) [32].On the other hand, the possible worldwide recycling and reusing of plastic waste at a 50% level, could generate a profit calculated in USD 60 billion by 2030,also if not easy to realize [95,96].However, changing in consumer' behavior during the pandemic has contributed to increase waste and pollution because of the increased shopping on line with more consume of take out food, packed by single-use plastic. But it isn't to forget the majority of GHG emissions(~90%) which results for the manufacture of four industrial commodities such as ammonia, cement, ethylene and steel [97,98].In any way, it results fundamental to change worldwide the way of producing and consuming, investing more in Research & Development to realize sustainable and smart products, necessary to maintain and ameliorate human health and the environment.As previously discussed,climate changing became a great problem that not only harms people worldwide,but also is being cause of further poverty.As reported,in fact from The World Bank Group,it has been estimated that COVID-19 pandemic in 2021 will push in extreme poverty an additional 88 million to 115 million people,affected between 9.1% and 9.4% of the world population in 2020 [99].On the other hand,this new pandemic has shown that just few months of reduced and altered activity had a beneficial effect on air,water and other aspect of natural world [100,101].Therefore the climate change- mitigation behavior would be considered worldwide top priority and social norm,which require international collaboration and high education,as happened for the design,study,and production of the COVID-19 vaccine,realized by high level and quick investments[96,100,101].Thus by a similar global collaboration and investments in R&D among finance,policy,and social science technology-based fields, it will be possible to stop the climate disasters realizing a planet free of pollution and waste human- and environmentally-friendly [94,101]. This is the dream of the worldwide citizens who encompass a wellbeing based not only on food and fitness,but also on overall physical and mental health and appearance.Moreover,after the COVID-19 pandemic, it is increased the consumer' request for sustainable,clean and natural products to ameliorate her/his life-style through wellbeing ,viewed though six dimension:better health,better fitness,better nutrition,better appearance,better sleep,and better mindfulness (i.e. a meditation-oriented focused)(102).However,among the worldwide consumers exist differences because,for example,Japanese people prioritize appearance while German emphasize fitness,Brazilian and Americans are more oriented versus mindfulness and Chinese and British people prefer nutrition [102].
Thus,there is the urgent necessity to integrate R&I with the new scientific knowledges and technologies for realizing a sustainable development capable to preserve natural raw materials for the future generations.Moreover,it is our hope that time of the COVID-19 crisis may also be used as an opportunity to invest in policies and institutions to reduce the social,racial and economic inequalities,making the world an equal place for all.In conclusion,the green circular economy seems to represent the goal for creating tools for managing more efficiently land and oceans resources to produce innovative sustainable products at zero waste and pollution.The use of the reported polysaccharides,obtained from food-forestry and industrial waste,seems the best way for achieving the goal to make biodegradable products and packaging materials by sustainable technologies.
Clearly Auctoresonline and particularly Psychology and Mental Health Care Journal is dedicated to improving health care services for individuals and populations. The editorial boards' ability to efficiently recognize and share the global importance of health literacy with a variety of stakeholders. Auctoresonline publishing platform can be used to facilitate of optimal client-based services and should be added to health care professionals' repertoire of evidence-based health care resources.
Journal of Clinical Cardiology and Cardiovascular Intervention The submission and review process was adequate. However I think that the publication total value should have been enlightened in early fases. Thank you for all.
Journal of Women Health Care and Issues By the present mail, I want to say thank to you and tour colleagues for facilitating my published article. Specially thank you for the peer review process, support from the editorial office. I appreciate positively the quality of your journal.
Journal of Clinical Research and Reports I would be very delighted to submit my testimonial regarding the reviewer board and the editorial office. The reviewer board were accurate and helpful regarding any modifications for my manuscript. And the editorial office were very helpful and supportive in contacting and monitoring with any update and offering help. It was my pleasure to contribute with your promising Journal and I am looking forward for more collaboration.
We would like to thank the Journal of Thoracic Disease and Cardiothoracic Surgery because of the services they provided us for our articles. The peer-review process was done in a very excellent time manner, and the opinions of the reviewers helped us to improve our manuscript further. The editorial office had an outstanding correspondence with us and guided us in many ways. During a hard time of the pandemic that is affecting every one of us tremendously, the editorial office helped us make everything easier for publishing scientific work. Hope for a more scientific relationship with your Journal.
The peer-review process which consisted high quality queries on the paper. I did answer six reviewers’ questions and comments before the paper was accepted. The support from the editorial office is excellent.
Journal of Neuroscience and Neurological Surgery. I had the experience of publishing a research article recently. The whole process was simple from submission to publication. The reviewers made specific and valuable recommendations and corrections that improved the quality of my publication. I strongly recommend this Journal.
Dr. Katarzyna Byczkowska My testimonial covering: "The peer review process is quick and effective. The support from the editorial office is very professional and friendly. Quality of the Clinical Cardiology and Cardiovascular Interventions is scientific and publishes ground-breaking research on cardiology that is useful for other professionals in the field.
Thank you most sincerely, with regard to the support you have given in relation to the reviewing process and the processing of my article entitled "Large Cell Neuroendocrine Carcinoma of The Prostate Gland: A Review and Update" for publication in your esteemed Journal, Journal of Cancer Research and Cellular Therapeutics". The editorial team has been very supportive.
Testimony of Journal of Clinical Otorhinolaryngology: work with your Reviews has been a educational and constructive experience. The editorial office were very helpful and supportive. It was a pleasure to contribute to your Journal.
Dr. Bernard Terkimbi Utoo, I am happy to publish my scientific work in Journal of Women Health Care and Issues (JWHCI). The manuscript submission was seamless and peer review process was top notch. I was amazed that 4 reviewers worked on the manuscript which made it a highly technical, standard and excellent quality paper. I appreciate the format and consideration for the APC as well as the speed of publication. It is my pleasure to continue with this scientific relationship with the esteem JWHCI.
This is an acknowledgment for peer reviewers, editorial board of Journal of Clinical Research and Reports. They show a lot of consideration for us as publishers for our research article “Evaluation of the different factors associated with side effects of COVID-19 vaccination on medical students, Mutah university, Al-Karak, Jordan”, in a very professional and easy way. This journal is one of outstanding medical journal.
Dear Hao Jiang, to Journal of Nutrition and Food Processing We greatly appreciate the efficient, professional and rapid processing of our paper by your team. If there is anything else we should do, please do not hesitate to let us know. On behalf of my co-authors, we would like to express our great appreciation to editor and reviewers.
As an author who has recently published in the journal "Brain and Neurological Disorders". I am delighted to provide a testimonial on the peer review process, editorial office support, and the overall quality of the journal. The peer review process at Brain and Neurological Disorders is rigorous and meticulous, ensuring that only high-quality, evidence-based research is published. The reviewers are experts in their fields, and their comments and suggestions were constructive and helped improve the quality of my manuscript. The review process was timely and efficient, with clear communication from the editorial office at each stage. The support from the editorial office was exceptional throughout the entire process. The editorial staff was responsive, professional, and always willing to help. They provided valuable guidance on formatting, structure, and ethical considerations, making the submission process seamless. Moreover, they kept me informed about the status of my manuscript and provided timely updates, which made the process less stressful. The journal Brain and Neurological Disorders is of the highest quality, with a strong focus on publishing cutting-edge research in the field of neurology. The articles published in this journal are well-researched, rigorously peer-reviewed, and written by experts in the field. The journal maintains high standards, ensuring that readers are provided with the most up-to-date and reliable information on brain and neurological disorders. In conclusion, I had a wonderful experience publishing in Brain and Neurological Disorders. The peer review process was thorough, the editorial office provided exceptional support, and the journal's quality is second to none. I would highly recommend this journal to any researcher working in the field of neurology and brain disorders.
Dear Agrippa Hilda, Journal of Neuroscience and Neurological Surgery, Editorial Coordinator, I trust this message finds you well. I want to extend my appreciation for considering my article for publication in your esteemed journal. I am pleased to provide a testimonial regarding the peer review process and the support received from your editorial office. The peer review process for my paper was carried out in a highly professional and thorough manner. The feedback and comments provided by the authors were constructive and very useful in improving the quality of the manuscript. This rigorous assessment process undoubtedly contributes to the high standards maintained by your journal.
International Journal of Clinical Case Reports and Reviews. I strongly recommend to consider submitting your work to this high-quality journal. The support and availability of the Editorial staff is outstanding and the review process was both efficient and rigorous.
Thank you very much for publishing my Research Article titled “Comparing Treatment Outcome Of Allergic Rhinitis Patients After Using Fluticasone Nasal Spray And Nasal Douching" in the Journal of Clinical Otorhinolaryngology. As Medical Professionals we are immensely benefited from study of various informative Articles and Papers published in this high quality Journal. I look forward to enriching my knowledge by regular study of the Journal and contribute my future work in the field of ENT through the Journal for use by the medical fraternity. The support from the Editorial office was excellent and very prompt. I also welcome the comments received from the readers of my Research Article.
Dear Erica Kelsey, Editorial Coordinator of Cancer Research and Cellular Therapeutics Our team is very satisfied with the processing of our paper by your journal. That was fast, efficient, rigorous, but without unnecessary complications. We appreciated the very short time between the submission of the paper and its publication on line on your site.
I am very glad to say that the peer review process is very successful and fast and support from the Editorial Office. Therefore, I would like to continue our scientific relationship for a long time. And I especially thank you for your kindly attention towards my article. Have a good day!
"We recently published an article entitled “Influence of beta-Cyclodextrins upon the Degradation of Carbofuran Derivatives under Alkaline Conditions" in the Journal of “Pesticides and Biofertilizers” to show that the cyclodextrins protect the carbamates increasing their half-life time in the presence of basic conditions This will be very helpful to understand carbofuran behaviour in the analytical, agro-environmental and food areas. We greatly appreciated the interaction with the editor and the editorial team; we were particularly well accompanied during the course of the revision process, since all various steps towards publication were short and without delay".
I would like to express my gratitude towards you process of article review and submission. I found this to be very fair and expedient. Your follow up has been excellent. I have many publications in national and international journal and your process has been one of the best so far. Keep up the great work.
We are grateful for this opportunity to provide a glowing recommendation to the Journal of Psychiatry and Psychotherapy. We found that the editorial team were very supportive, helpful, kept us abreast of timelines and over all very professional in nature. The peer review process was rigorous, efficient and constructive that really enhanced our article submission. The experience with this journal remains one of our best ever and we look forward to providing future submissions in the near future.
I am very pleased to serve as EBM of the journal, I hope many years of my experience in stem cells can help the journal from one way or another. As we know, stem cells hold great potential for regenerative medicine, which are mostly used to promote the repair response of diseased, dysfunctional or injured tissue using stem cells or their derivatives. I think Stem Cell Research and Therapeutics International is a great platform to publish and share the understanding towards the biology and translational or clinical application of stem cells.
I would like to give my testimony in the support I have got by the peer review process and to support the editorial office where they were of asset to support young author like me to be encouraged to publish their work in your respected journal and globalize and share knowledge across the globe. I really give my great gratitude to your journal and the peer review including the editorial office.
I am delighted to publish our manuscript entitled "A Perspective on Cocaine Induced Stroke - Its Mechanisms and Management" in the Journal of Neuroscience and Neurological Surgery. The peer review process, support from the editorial office, and quality of the journal are excellent. The manuscripts published are of high quality and of excellent scientific value. I recommend this journal very much to colleagues.
Dr.Tania Muñoz, My experience as researcher and author of a review article in The Journal Clinical Cardiology and Interventions has been very enriching and stimulating. The editorial team is excellent, performs its work with absolute responsibility and delivery. They are proactive, dynamic and receptive to all proposals. Supporting at all times the vast universe of authors who choose them as an option for publication. The team of review specialists, members of the editorial board, are brilliant professionals, with remarkable performance in medical research and scientific methodology. Together they form a frontline team that consolidates the JCCI as a magnificent option for the publication and review of high-level medical articles and broad collective interest. I am honored to be able to share my review article and open to receive all your comments.
“The peer review process of JPMHC is quick and effective. Authors are benefited by good and professional reviewers with huge experience in the field of psychology and mental health. The support from the editorial office is very professional. People to contact to are friendly and happy to help and assist any query authors might have. Quality of the Journal is scientific and publishes ground-breaking research on mental health that is useful for other professionals in the field”.
Dear editorial department: On behalf of our team, I hereby certify the reliability and superiority of the International Journal of Clinical Case Reports and Reviews in the peer review process, editorial support, and journal quality. Firstly, the peer review process of the International Journal of Clinical Case Reports and Reviews is rigorous, fair, transparent, fast, and of high quality. The editorial department invites experts from relevant fields as anonymous reviewers to review all submitted manuscripts. These experts have rich academic backgrounds and experience, and can accurately evaluate the academic quality, originality, and suitability of manuscripts. The editorial department is committed to ensuring the rigor of the peer review process, while also making every effort to ensure a fast review cycle to meet the needs of authors and the academic community. Secondly, the editorial team of the International Journal of Clinical Case Reports and Reviews is composed of a group of senior scholars and professionals with rich experience and professional knowledge in related fields. The editorial department is committed to assisting authors in improving their manuscripts, ensuring their academic accuracy, clarity, and completeness. Editors actively collaborate with authors, providing useful suggestions and feedback to promote the improvement and development of the manuscript. We believe that the support of the editorial department is one of the key factors in ensuring the quality of the journal. Finally, the International Journal of Clinical Case Reports and Reviews is renowned for its high- quality articles and strict academic standards. The editorial department is committed to publishing innovative and academically valuable research results to promote the development and progress of related fields. The International Journal of Clinical Case Reports and Reviews is reasonably priced and ensures excellent service and quality ratio, allowing authors to obtain high-level academic publishing opportunities in an affordable manner. I hereby solemnly declare that the International Journal of Clinical Case Reports and Reviews has a high level of credibility and superiority in terms of peer review process, editorial support, reasonable fees, and journal quality. Sincerely, Rui Tao.
Clinical Cardiology and Cardiovascular Interventions I testity the covering of the peer review process, support from the editorial office, and quality of the journal.
Clinical Cardiology and Cardiovascular Interventions, we deeply appreciate the interest shown in our work and its publication. It has been a true pleasure to collaborate with you. The peer review process, as well as the support provided by the editorial office, have been exceptional, and the quality of the journal is very high, which was a determining factor in our decision to publish with you.
The peer reviewers process is quick and effective, the supports from editorial office is excellent, the quality of journal is high. I would like to collabroate with Internatioanl journal of Clinical Case Reports and Reviews journal clinically in the future time.
Clinical Cardiology and Cardiovascular Interventions, I would like to express my sincerest gratitude for the trust placed in our team for the publication in your journal. It has been a true pleasure to collaborate with you on this project. I am pleased to inform you that both the peer review process and the attention from the editorial coordination have been excellent. Your team has worked with dedication and professionalism to ensure that your publication meets the highest standards of quality. We are confident that this collaboration will result in mutual success, and we are eager to see the fruits of this shared effort.
Dear Dr. Jessica Magne, Editorial Coordinator 0f Clinical Cardiology and Cardiovascular Interventions, I hope this message finds you well. I want to express my utmost gratitude for your excellent work and for the dedication and speed in the publication process of my article titled "Navigating Innovation: Qualitative Insights on Using Technology for Health Education in Acute Coronary Syndrome Patients." I am very satisfied with the peer review process, the support from the editorial office, and the quality of the journal. I hope we can maintain our scientific relationship in the long term.
Dear Monica Gissare, - Editorial Coordinator of Nutrition and Food Processing. ¨My testimony with you is truly professional, with a positive response regarding the follow-up of the article and its review, you took into account my qualities and the importance of the topic¨.
Dear Dr. Jessica Magne, Editorial Coordinator 0f Clinical Cardiology and Cardiovascular Interventions, The review process for the article “The Handling of Anti-aggregants and Anticoagulants in the Oncologic Heart Patient Submitted to Surgery” was extremely rigorous and detailed. From the initial submission to the final acceptance, the editorial team at the “Journal of Clinical Cardiology and Cardiovascular Interventions” demonstrated a high level of professionalism and dedication. The reviewers provided constructive and detailed feedback, which was essential for improving the quality of our work. Communication was always clear and efficient, ensuring that all our questions were promptly addressed. The quality of the “Journal of Clinical Cardiology and Cardiovascular Interventions” is undeniable. It is a peer-reviewed, open-access publication dedicated exclusively to disseminating high-quality research in the field of clinical cardiology and cardiovascular interventions. The journal's impact factor is currently under evaluation, and it is indexed in reputable databases, which further reinforces its credibility and relevance in the scientific field. I highly recommend this journal to researchers looking for a reputable platform to publish their studies.
Dear Editorial Coordinator of the Journal of Nutrition and Food Processing! "I would like to thank the Journal of Nutrition and Food Processing for including and publishing my article. The peer review process was very quick, movement and precise. The Editorial Board has done an extremely conscientious job with much help, valuable comments and advices. I find the journal very valuable from a professional point of view, thank you very much for allowing me to be part of it and I would like to participate in the future!”
Dealing with The Journal of Neurology and Neurological Surgery was very smooth and comprehensive. The office staff took time to address my needs and the response from editors and the office was prompt and fair. I certainly hope to publish with this journal again.Their professionalism is apparent and more than satisfactory. Susan Weiner
My Testimonial Covering as fellowing: Lin-Show Chin. The peer reviewers process is quick and effective, the supports from editorial office is excellent, the quality of journal is high. I would like to collabroate with Internatioanl journal of Clinical Case Reports and Reviews.
My experience publishing in Psychology and Mental Health Care was exceptional. The peer review process was rigorous and constructive, with reviewers providing valuable insights that helped enhance the quality of our work. The editorial team was highly supportive and responsive, making the submission process smooth and efficient. The journal's commitment to high standards and academic rigor makes it a respected platform for quality research. I am grateful for the opportunity to publish in such a reputable journal.
My experience publishing in International Journal of Clinical Case Reports and Reviews was exceptional. I Come forth to Provide a Testimonial Covering the Peer Review Process and the editorial office for the Professional and Impartial Evaluation of the Manuscript.
I would like to offer my testimony in the support. I have received through the peer review process and support the editorial office where they are to support young authors like me, encourage them to publish their work in your esteemed journals, and globalize and share knowledge globally. I really appreciate your journal, peer review, and editorial office.
Dear Agrippa Hilda- Editorial Coordinator of Journal of Neuroscience and Neurological Surgery, "The peer review process was very quick and of high quality, which can also be seen in the articles in the journal. The collaboration with the editorial office was very good."
I would like to express my sincere gratitude for the support and efficiency provided by the editorial office throughout the publication process of my article, “Delayed Vulvar Metastases from Rectal Carcinoma: A Case Report.” I greatly appreciate the assistance and guidance I received from your team, which made the entire process smooth and efficient. The peer review process was thorough and constructive, contributing to the overall quality of the final article. I am very grateful for the high level of professionalism and commitment shown by the editorial staff, and I look forward to maintaining a long-term collaboration with the International Journal of Clinical Case Reports and Reviews.
To Dear Erin Aust, I would like to express my heartfelt appreciation for the opportunity to have my work published in this esteemed journal. The entire publication process was smooth and well-organized, and I am extremely satisfied with the final result. The Editorial Team demonstrated the utmost professionalism, providing prompt and insightful feedback throughout the review process. Their clear communication and constructive suggestions were invaluable in enhancing my manuscript, and their meticulous attention to detail and dedication to quality are truly commendable. Additionally, the support from the Editorial Office was exceptional. From the initial submission to the final publication, I was guided through every step of the process with great care and professionalism. The team's responsiveness and assistance made the entire experience both easy and stress-free. I am also deeply impressed by the quality and reputation of the journal. It is an honor to have my research featured in such a respected publication, and I am confident that it will make a meaningful contribution to the field.
"I am grateful for the opportunity of contributing to [International Journal of Clinical Case Reports and Reviews] and for the rigorous review process that enhances the quality of research published in your esteemed journal. I sincerely appreciate the time and effort of your team who have dedicatedly helped me in improvising changes and modifying my manuscript. The insightful comments and constructive feedback provided have been invaluable in refining and strengthening my work".
I thank the ‘Journal of Clinical Research and Reports’ for accepting this article for publication. This is a rigorously peer reviewed journal which is on all major global scientific data bases. I note the review process was prompt, thorough and professionally critical. It gave us an insight into a number of important scientific/statistical issues. The review prompted us to review the relevant literature again and look at the limitations of the study. The peer reviewers were open, clear in the instructions and the editorial team was very prompt in their communication. This journal certainly publishes quality research articles. I would recommend the journal for any future publications.
Dear Jessica Magne, with gratitude for the joint work. Fast process of receiving and processing the submitted scientific materials in “Clinical Cardiology and Cardiovascular Interventions”. High level of competence of the editors with clear and correct recommendations and ideas for enriching the article.
We found the peer review process quick and positive in its input. The support from the editorial officer has been very agile, always with the intention of improving the article and taking into account our subsequent corrections.
My article, titled 'No Way Out of the Smartphone Epidemic Without Considering the Insights of Brain Research,' has been republished in the International Journal of Clinical Case Reports and Reviews. The review process was seamless and professional, with the editors being both friendly and supportive. I am deeply grateful for their efforts.
To Dear Erin Aust – Editorial Coordinator of Journal of General Medicine and Clinical Practice! I declare that I am absolutely satisfied with your work carried out with great competence in following the manuscript during the various stages from its receipt, during the revision process to the final acceptance for publication. Thank Prof. Elvira Farina
Dear Jessica, and the super professional team of the ‘Clinical Cardiology and Cardiovascular Interventions’ I am sincerely grateful to the coordinated work of the journal team for the no problem with the submission of my manuscript: “Cardiometabolic Disorders in A Pregnant Woman with Severe Preeclampsia on the Background of Morbid Obesity (Case Report).” The review process by 5 experts was fast, and the comments were professional, which made it more specific and academic, and the process of publication and presentation of the article was excellent. I recommend that my colleagues publish articles in this journal, and I am interested in further scientific cooperation. Sincerely and best wishes, Dr. Oleg Golyanovskiy.
Dear Ashley Rosa, Editorial Coordinator of the journal - Psychology and Mental Health Care. " The process of obtaining publication of my article in the Psychology and Mental Health Journal was positive in all areas. The peer review process resulted in a number of valuable comments, the editorial process was collaborative and timely, and the quality of this journal has been quickly noticed, resulting in alternative journals contacting me to publish with them." Warm regards, Susan Anne Smith, PhD. Australian Breastfeeding Association.
Dear Jessica Magne, Editorial Coordinator, Clinical Cardiology and Cardiovascular Interventions, Auctores Publishing LLC. I appreciate the journal (JCCI) editorial office support, the entire team leads were always ready to help, not only on technical front but also on thorough process. Also, I should thank dear reviewers’ attention to detail and creative approach to teach me and bring new insights by their comments. Surely, more discussions and introduction of other hemodynamic devices would provide better prevention and management of shock states. Your efforts and dedication in presenting educational materials in this journal are commendable. Best wishes from, Farahnaz Fallahian.
Dear Maria Emerson, Editorial Coordinator, International Journal of Clinical Case Reports and Reviews, Auctores Publishing LLC. I am delighted to have published our manuscript, "Acute Colonic Pseudo-Obstruction (ACPO): A rare but serious complication following caesarean section." I want to thank the editorial team, especially Maria Emerson, for their prompt review of the manuscript, quick responses to queries, and overall support. Yours sincerely Dr. Victor Olagundoye.
Dear Ashley Rosa, Editorial Coordinator, International Journal of Clinical Case Reports and Reviews. Many thanks for publishing this manuscript after I lost confidence the editors were most helpful, more than other journals Best wishes from, Susan Anne Smith, PhD. Australian Breastfeeding Association.
Dear Agrippa Hilda, Editorial Coordinator, Journal of Neuroscience and Neurological Surgery. The entire process including article submission, review, revision, and publication was extremely easy. The journal editor was prompt and helpful, and the reviewers contributed to the quality of the paper. Thank you so much! Eric Nussbaum, MD
Dr Hala Al Shaikh This is to acknowledge that the peer review process for the article ’ A Novel Gnrh1 Gene Mutation in Four Omani Male Siblings, Presentation and Management ’ sent to the International Journal of Clinical Case Reports and Reviews was quick and smooth. The editorial office was prompt with easy communication.
Dear Erin Aust, Editorial Coordinator, Journal of General Medicine and Clinical Practice. We are pleased to share our experience with the “Journal of General Medicine and Clinical Practice”, following the successful publication of our article. The peer review process was thorough and constructive, helping to improve the clarity and quality of the manuscript. We are especially thankful to Ms. Erin Aust, the Editorial Coordinator, for her prompt communication and continuous support throughout the process. Her professionalism ensured a smooth and efficient publication experience. The journal upholds high editorial standards, and we highly recommend it to fellow researchers seeking a credible platform for their work. Best wishes By, Dr. Rakhi Mishra.
Dear Jessica Magne, Editorial Coordinator, Clinical Cardiology and Cardiovascular Interventions, Auctores Publishing LLC. The peer review process of the journal of Clinical Cardiology and Cardiovascular Interventions was excellent and fast, as was the support of the editorial office and the quality of the journal. Kind regards Walter F. Riesen Prof. Dr. Dr. h.c. Walter F. Riesen.
Dear Ashley Rosa, Editorial Coordinator, International Journal of Clinical Case Reports and Reviews, Auctores Publishing LLC. Thank you for publishing our article, Exploring Clozapine's Efficacy in Managing Aggression: A Multiple Single-Case Study in Forensic Psychiatry in the international journal of clinical case reports and reviews. We found the peer review process very professional and efficient. The comments were constructive, and the whole process was efficient. On behalf of the co-authors, I would like to thank you for publishing this article. With regards, Dr. Jelle R. Lettinga.
Dear Clarissa Eric, Editorial Coordinator, Journal of Clinical Case Reports and Studies, I would like to express my deep admiration for the exceptional professionalism demonstrated by your journal. I am thoroughly impressed by the speed of the editorial process, the substantive and insightful reviews, and the meticulous preparation of the manuscript for publication. Additionally, I greatly appreciate the courteous and immediate responses from your editorial office to all my inquiries. Best Regards, Dariusz Ziora
Dear Chrystine Mejia, Editorial Coordinator, Journal of Neurodegeneration and Neurorehabilitation, Auctores Publishing LLC, We would like to thank the editorial team for the smooth and high-quality communication leading up to the publication of our article in the Journal of Neurodegeneration and Neurorehabilitation. The reviewers have extensive knowledge in the field, and their relevant questions helped to add value to our publication. Kind regards, Dr. Ravi Shrivastava.
Dear Clarissa Eric, Editorial Coordinator, Journal of Clinical Case Reports and Studies, Auctores Publishing LLC, USA Office: +1-(302)-520-2644. I would like to express my sincere appreciation for the efficient and professional handling of my case report by the ‘Journal of Clinical Case Reports and Studies’. The peer review process was not only fast but also highly constructive—the reviewers’ comments were clear, relevant, and greatly helped me improve the quality and clarity of my manuscript. I also received excellent support from the editorial office throughout the process. Communication was smooth and timely, and I felt well guided at every stage, from submission to publication. The overall quality and rigor of the journal are truly commendable. I am pleased to have published my work with Journal of Clinical Case Reports and Studies, and I look forward to future opportunities for collaboration. Sincerely, Aline Tollet, UCLouvain.
Dear Ms. Mayra Duenas, Editorial Coordinator, International Journal of Clinical Case Reports and Reviews. “The International Journal of Clinical Case Reports and Reviews represented the “ideal house” to share with the research community a first experience with the use of the Simeox device for speech rehabilitation. High scientific reputation and attractive website communication were first determinants for the selection of this Journal, and the following submission process exceeded expectations: fast but highly professional peer review, great support by the editorial office, elegant graphic layout. Exactly what a dynamic research team - also composed by allied professionals - needs!" From, Chiara Beccaluva, PT - Italy.
Dear Maria Emerson, Editorial Coordinator, we have deeply appreciated the professionalism demonstrated by the International Journal of Clinical Case Reports and Reviews. The reviewers have extensive knowledge of our field and have been very efficient and fast in supporting the process. I am really looking forward to further collaboration. Thanks. Best regards, Dr. Claudio Ligresti
Dear Chrystine Mejia, Editorial Coordinator, Journal of Neurodegeneration and Neurorehabilitation. “The peer review process was efficient and constructive, and the editorial office provided excellent communication and support throughout. The journal ensures scientific rigor and high editorial standards, while also offering a smooth and timely publication process. We sincerely appreciate the work of the editorial team in facilitating the dissemination of innovative approaches such as the Bonori Method.” Best regards, Dr. Matteo Bonori.
I recommend without hesitation submitting relevant papers on medical decision making to the International Journal of Clinical Case Reports and Reviews. I am very grateful to the editorial staff. Maria Emerson was a pleasure to communicate with. The time from submission to publication was an extremely short 3 weeks. The editorial staff submitted the paper to three reviewers. Two of the reviewers commented positively on the value of publishing the paper. The editorial staff quickly recognized the third reviewer’s comments as an unjust attempt to reject the paper. I revised the paper as recommended by the first two reviewers.
Dear Maria Emerson, Editorial Coordinator, Journal of Clinical Research and Reports. Thank you for publishing our case report: "Clinical Case of Effective Fetal Stem Cells Treatment in a Patient with Autism Spectrum Disorder" within the "Journal of Clinical Research and Reports" being submitted by the team of EmCell doctors from Kyiv, Ukraine. We much appreciate a professional and transparent peer-review process from Auctores. All research Doctors are so grateful to your Editorial Office and Auctores Publishing support! I amiably wish our article publication maintained a top quality of your International Scientific Journal. My best wishes for a prosperity of the Journal of Clinical Research and Reports. Hope our scientific relationship and cooperation will remain long lasting. Thank you very much indeed. Kind regards, Dr. Andriy Sinelnyk Cell Therapy Center EmCell
Dear Editorial Team, Clinical Cardiology and Cardiovascular Interventions. It was truly a rewarding experience to work with the journal “Clinical Cardiology and Cardiovascular Interventions”. The peer review process was insightful and encouraging, helping us refine our work to a higher standard. The editorial office offered exceptional support with prompt and thoughtful communication. I highly value the journal’s role in promoting scientific advancement and am honored to be part of it. Best regards, Meng-Jou Lee, MD, Department of Anesthesiology, National Taiwan University Hospital.
Dear Editorial Team, Journal-Clinical Cardiology and Cardiovascular Interventions, “Publishing my article with Clinical Cardiology and Cardiovascular Interventions has been a highly positive experience. The peer-review process was rigorous yet supportive, offering valuable feedback that strengthened my work. The editorial team demonstrated exceptional professionalism, prompt communication, and a genuine commitment to maintaining the highest scientific standards. I am very pleased with the publication quality and proud to be associated with such a reputable journal.” Warm regards, Dr. Mahmoud Kamal Moustafa Ahmed
Dear Maria Emerson, Editorial Coordinator of ‘International Journal of Clinical Case Reports and Reviews’, I appreciate the opportunity to publish my article with your journal. The editorial office provided clear communication during the submission and review process, and I found the overall experience professional and constructive. Best regards, Elena Salvatore.
Dear Mayra Duenas, Editorial Coordinator of ‘International Journal of Clinical Case Reports and Reviews Herewith I confirm an optimal peer review process and a great support of the editorial office of the present journal
Dear Editorial Team, Clinical Cardiology and Cardiovascular Interventions. I am really grateful for the peers review; their feedback gave me the opportunity to reflect on the message and impact of my work and to ameliorate the article. The editors did a great job in addition by encouraging me to continue with the process of publishing.
Dear Cecilia Lilly, Editorial Coordinator, Endocrinology and Disorders, Thank you so much for your quick response regarding reviewing and all process till publishing our manuscript entitled: Prevalence of Pre-Diabetes and its Associated Risk Factors Among Nile College Students, Sudan. Best regards, Dr Mamoun Magzoub.
International Journal of Clinical Case Reports and Reviews is a high quality journal that has a clear and concise submission process. The peer review process was comprehensive and constructive. Support from the editorial office was excellent, since the administrative staff were responsive. The journal provides a fast and timely publication timeline.
Dear Maria Emerson, Editorial Coordinator of International Journal of Clinical Case Reports and Reviews, What distinguishes International Journal of Clinical Case Report and Review is not only the scientific rigor of its publications, but the intellectual climate in which research is evaluated. The submission process is refreshingly free of unnecessary formal barriers and bureaucratic rituals that often complicate academic publishing without adding real value. The peer-review system is demanding yet constructive, guided by genuine scientific dialogue rather than hierarchical or authoritarian attitudes. Reviewers act as collaborators in improving the manuscript, not as gatekeepers imposing arbitrary standards. This journal offers a rare balance: high methodological standards combined with a respectful, transparent, and supportive editorial approach. In an era where publishing can feel more burdensome than research itself, this platform restores the original purpose of peer review — to refine ideas, not to obstruct them Prof. Perlat Kapisyzi, FCCP PULMONOLOGIST AND THORACIC IMAGING.
Dear Grace Pierce, International Journal of Clinical Case Reports and Reviews I appreciate the opportunity to review for Auctore Journal, as the overall editorial process was smooth, transparent and professionally managed. This journal maintains high scientific standards and ensures timely communications with authors, which is truly commendable. I would like to express my special thanks to editor Grace Pierce for his constant guidance, promt responses, and supportive coordination throughout the review process. I am also greatful to Eleanor Bailey from the finance department for her clear communication and efficient handling of all administrative matters. Overall, my experience with Auctore Journal has been highly positive and rewarding. Best regards, Sabita sinha
Dear Mayra Duenas, Editorial Coordinator of the journal IJCCR, I write here a little on my experience as an author submitting to the International Journal of Clinical Case Reports and Reviews (IJCCR). This was my first submission to IJCCR and my manuscript was inherently an outsider’s effort. It attempted to broadly identify and then make some sense of life’s under-appreciated mysteries. I initially had responded to a request for possible submissions. I then contacted IJCCR with a tentative topic for a manuscript. They quickly got back with an approval for the submission, but with a particular requirement that it be medically relevant. I then put together a manuscript and submitted it. After the usual back-and-forth over forms and formality, the manuscript was sent off for reviews. Within 2 weeks I got back 4 reviews which were both helpful and also surprising. Surprising in that the topic was somewhat foreign to medical literature. My subsequent updates in response to the reviewer comments went smoothly and in short order I had a series of proofs to evaluate. All in all, the whole publication process seemed outstanding. It was both helpful in terms of the paper’s content and also in terms of its efficient and friendly communications. Thank you all very much. Sincerely, Ted Christopher, Rochester, NY.