AUCTORES
Globalize your Research
Research Article | DOI: https://doi.org/10.31579/2693-7247/185
1Riggs Pharmaceuticals, Department of Pharmacy, University of Karachi
2Assistant Professor, Department of Microbiology, University of Karachi, Pakistan
3Head of department of Pharmacology Fazaia Ruth Pfau Medical College Air University, Karachi,
4GD Pharmaceutical Inc OPJS University Rajasthan
5Assistant Professor Dow University of Health Sciences Karachi Pakistan
6Associate Professor, Department of Pathology Dow University of Health Sciences, Karachi, Pakistan
*Corresponding Author: Rehan Haider, Riggs Pharmaceuticals, Department of Pharmacy, University of Karachi
Citation: Rehan Haider, Anjum Zehra, Asghar Mehdi, Geetha Kumari Das, Zameer Ahmed, et al, (2024), Infectious disease, J. Pharmaceutics and Pharmacology Research, 7(6); DOI: 10.31579/2693-7247/185
Copyright: © 2024, Rehan Haider. This is an open access article distributed under the Creative Commons Attribution License, which permits unrestricted use, distribution, and reproduction in any medium, provided the original work is properly cited.
Received: 10 April 2024 | Accepted: 06 May 2024 | Published: 03 June 2024
Keywords: pharmacognosy; plant-derivative compounds; antibacterial exercise; spreading afflictions; pharmacological mechanisms; healing attacks; medicine opposition; natural remedies; microbial pathogens; drug incident
Infectious disease poses continuous challenges in pharmacology, driving the exploration of persuasive healing plans. This study focuses on pharmacognosy, investigating instinctively occurring compounds culled from plants as potential remedies against infectious pathogens. By exploring the decontaminating possessions of selected plant-derivative compounds, this research aims to solve their pharmacological devices and determine their efficacy in fighting bacterial contamination. Through perfectionist experimentation and reasoning, we endeavor to recognize hopeful candidates for furthering novel drug invasions against catching diseases. The survey of unrefined compounds at the crossroads of pharmacology and pharmacognosy holds substantial promise for forwarding the vital warning posed by spreading pathogens. In an experience grabbing accompanying antibiotic opposition and arising catching diseases, the following alternative situations are increasingly demanding. Plant-derivative compounds offer a rich beginning of bioactive fragments with different synthetic makeups and potential therapeutic uses. This study aims to harness the basic antimicrobial properties of such compounds, leveraging nature’s depot to challenge microbial dangers. By systematically judging the uncontaminated action of these natural powers, we aim to explicate their potential machines of operation and explore their practicability as future antimicrobial drugs. The verdicts concerning this research could precede the development of new, persuasive treatments against catching ailments and provide hope in the continuous battle against microbial adversaries.
Plants have existed as the main constituent of usual medicines to cure local and integral contaminations precipitated by bacteria, in particular microorganisms. These preparations form the basis of many wound-curative matters in the evolving realm, place the plant is processed as a natural drug or an extract, namely used topically to boost the curative power of a wound. These readinesses grant permission to have antimicrobial correct ties and erase the bacteria by an antiseptic mechanism and/or they concede the possibility of advancing the skill of the wound to repair itself by exciting basic progress. Numerous unaffected fruits were created Plants too have antiprotozoal and insecticidal endeavors. Many, especially those holding essential Oils are alive against all of these. Intestinal worms may be considered accompanying herbal matters to a degree wiggle beginning and something unavoidable and unpleasant (Artemisia spp.), but ultimately the direct and slightest poisonous anthelmintic drugs at present are artificial, so they will not be covered. There are many reasons why plants are valuable beginning of antimicrobial-unaffected fruit and the the most basic reason is that they contain intrinsically antimicrobial compounds to a degree, such as carvacrol (Fig. 18.1 from Thyme (Thymus vulgaris, Lamiaceae) which is a monoterpene and is present in the essential lubricate concerning this variety. This phenolic monoterpene has a range of antagonistic bacterial and antifungal properties (Baser 2008) [1] and grants permission to be created by each plant to assure itself from attack from plant pathogenic bacteria and bugs that are present in the alluring atmosphere. This is an instance of an intrinsic or dormant antimicrobial everyday crop that the plant produces as a sane a few allure that may be secondhand medicinally. Plants again can produce antimicrobials open devices when they are under attack from bacteria, herbivores
, and bugs. These compounds are very fast combined apiece plants and are named phytoalexins that display antimicrobial characteristics to an expansive range of microorganisms and fungi. Examples concerning this wonder include the vegetable,that, when immunized, accompanying a plague synthesizes the antimicrobial coumarin scopoletin (Figure. 18.2) and Chapter 6) and the bis-benzyl compound (3,5-dihydroxy-bis-benzyl), further described in Fig. 18.2, that is caused by a class of vegetables (Dioscorea rotundata, Dioscoreaceae). This bis benzyl is very powerfully alive against a range of Gram-beneficial and Gram-negative bacteria containing Staphylococcus aureus, Bacillus cereus, Pseudomonas aeruginosa, and Escherichia coli accompanying minimum inhibitory concentrations of 10 mg/L (Fagboun and others, 1987) [2]. This is an amazing venture. specifically, against Gram-negative microorganisms such as E. coli and P. aeruginosa, which are frequently impervious to plant antimicrobials. Plants are too secondhand widely as local microbes in many institutions and skilled is a vast the physique of the basic article in journals that train in ethnomedical research in the way that the Journal of Ethnopharmacology. In North-Eastern Australia inborn folks use the occurring in the air parts of Eremophila button (Myoporaceae) as a current completely clean readiness (Smith and others, 2007) [3], and the The alive constituent has existed privately and is sized as a different serrulate diterpene (Figure. 18.3).
This compound had endeavored against S. aureus and S.epidermidis, two together of which are commensal microorganisms, prevalent skin animals, and important creative powers in wound contamination. It was still alive towards the

Figure 18.1

Figure 18.2 Figure 18.3

Figure 18.4
Respiring bacterium Streptococcus pneumonia, an individual of the main creative powers of pneumonia in men and youth. Probably the ultimate main reason that plants produce antibacterial everyday produce, and the reason they may be a valuable talent of antimicrobial material is that these projectiles for weaponry are frequently unusually various, have stereochemical centers, and have extensive working group allure. These determinants mean that the compounds will have very apparent shapes, grown based on absolute truth over heaps of age to bind to protein and DNA aims, and consequently bearing a basic organic exercise. The learners are urged to confer a new and very important review on the natural amount of emphasis on this affair inscribed by Professor Giovanni Appendino and associates (Appendino et al. (2010). [4] Plant antibacterials are very various in shape and allure to existing uncontaminated chemo types (Gibbons 2004, 2008) that are frequently microbially derivative to a degree erythromycin, and medicine. This can mean: that plant-derivative antibacterials keep functioning through various and, up until now, unknown mechanisms of operation. This would make bureaucracy valuable place bacterial fighting to common antibiotics (testing lactams, macrolides, tetracyclines) has stood as these microorganisms can be exposed to these powers by work insult in a very different habit. New powers that function by various devices are now wanted, particularly in bacterial infections to a degree. The creative animal, Mycobacterium vegetable culosis, may seize diversified fighting to exist medicines of choice. The last reason to examine plants as new antimicrobials is that there are no products or arrangements that act as stock exchanges. These range in type from bread-based fabrics such as the nearly ever-present Cranberry device advertised as fruit juices, which can further be secondhand in the administration of urinary area contaminations, through to high-quality Phytomedicines holding bearberry that is secondhand for complementary pains. We will examine a few of the prevalent herbs that are used as antimicrobial amounts and therefore cover a few of the clean sole synthetic entities (SCEs) that display hopeful antimicrobial operation.
Broad-spectrum antimicrobial agents umckaloabo (pelargonium), Pelargonium sidoides dc and p. Reniforme curt (pelargonii radix)
Umckaloabo wealth is ‘beneficial for deep cough’ in Zulu and this term refers to a cure secondhand ordinarily in South Africa as a treatment for respiring lot contaminations. This material comes from the ancestries of either Pelargonium sidoides or Pelargonium reniforme from the Geraniaceae plant offspring. An alcoholic beverage made from the roots is used to treat breast contamination and this material is the subject of a book by Charles Stevens (‘Stevens Cure’), a 19th-century company, is the one who declined pulmonary tuberculosis in dispassionate troubles on efficiency in lowering the syndromes associated with tonsillitis and bronchitis, specifically among toddlers (Matthys and others, 2007) [5]. These materials are not, nevertheless, a substitute for medicines, but they concede the possibility of being used as a supplement to lighten the syndromes and guide the redness of the superior respiring area (URT). An ethanolic extract of Pelargonium sidoides is now advertised by the phytopharmaceutical party Schwabe under the brand name Kaloba. This readiness is retailed to help the syndromes of communicable diseases, angry throats, and coughs based on existing for some time use as a usual remedy. Several accepted experts approve of Kaloba as an arrangement to defeat the manifestations of soreness guiding URT contaminations. This extract is too likely to compete to help invigorate the invulnerable system that may be compromised by extreme exercise, to insulate against colds. A study in sports substitutes subjected to severe entertainment found that Pelargo nim silicides raised the result of secretory immunoglobulin A in saliva, and cut down levels of two together, interleukin-15 and interleukin-6 in antitoxin, suggesting a powerful modulating influence on the invulnerable reaction guide the above ventilating pipe mucosa (Luna and others 2011) [6].
There has also been a study on evil extracts, starting a feeble, uncontaminated venture that is due to the ghost of the ever-present unsaturated oily acids oleic and linoleic acid against fast-increasing species of Mycobacterium; nevertheless, these compounds are absurdly expected being the reason for the ‘antagonistic-TB’ activity of Steven’s cure (Seidel and Taylor, 2004) [7].
Lemon balm, Melissa Officinalis l. (Melissa Folium)
This plant is an appendage of the Lamiaceae plant classification and has silver flowers and the leaves have a very poignant and fragrant smell being individual of ultimate popular fragrances on account of the essential lubricate concerning this class. Unfortunately, the plant produces very little essential lubricate and this gives reason for the extreme cost of real lemon lotion lubricate. This class holds phenolic compounds and the lubricate is rich in mono- and sesquiterpenes the plant has a long history of use as an antimicrobial carminative and gentle sedative. Many local formulations are marketed for Herpes simplex bug skin lesions and skilled are dispassionate dossier and few artificial endeavors have existed, confirmed accompanying the extracts of Melissa off Cialis (Koytchev and others, 1999) [8]. The herb is generally well-allowed, even though it has existed, submitted that Long-term use of grant permission obstructs thyroid function. Constituents Both the polyphenolics and the essential lubricate concepts are expected to be the reason for the antimicrobial effects. Phenolics involve protocatechuic acid, caffeic acid, rosmarinic acid, and tannins in insignificant amounts, in addition to flavonoids in the way that scenario side, cosmos in, isoquercitrin, and so forth. The changeable lubricate consists principally of a- and b-citral (¼ neral and geranial), along with the caryophyllene group of chemical elements, linalool, citronellal, nerol, geraniol, germacrene-D, traces of eugenol acetate, cis- and trans-b-ocimene, copaene, and so forth. Therapeutic uses and possible evidence. The lemon lotion is antimicrobial, carminative, and sedative. Hot water extracts have antiviral properties. primarily on account of the polyphenolic acids. Topical formulations are secondhand for Herpes simplex bug skin lesions, the antiviral project bearing was confirmed artificial, and likewise by dispassionate trial. Aqueous extracts likewise prevent a breach of tumor cells and tannin-free extracts restrict protein biosynthesis Ulbricht and others, 2005) [9]. The spice is secondhand as an ingredient in herbaceous teas, often accompanying additional herbs, for nervous disorders and restlessness Lemon solace is well indulged, even though it should not surrender inside in extreme doses over a long period by way of allure believed anti-thyroid activity.
Garlic, allium sativum l. (allii) sativa bulbus)
Garlic and added Allium spp. (Alliaceae) have very long annals as two together, a restricted and fundamental material to treat differing contaminations. The literature is thorough in artificial studies of the appearance and efficiency of the extracts and oils of the bulbs of differing Allium varieties with exercise against differing microorganisms, fungi, and viruses. The classification has a long and rich habit of being able to be consumed herbs accompanying onions, garlic, shallots, and chives all producing antimicrobial sulfur, holding unrefined production, represented by allicin and ajoene (Fig. 18.5)

Figure 18.5
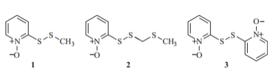
Garlic was used clinically for the situation of tuberculosis accompanied by few profits in the United States in the 1940s and it has been referred to as Russian medicine, as a result of its allure roomy use in the departed Soviet Union, repeated, accompanying some large progress as a decontaminating agent (Bolton and others, 1982) [10]. The off-course spread use of garlic has prompted a recent investigation of added class that grants permission to harbor valuable organic products and any appealing sulfur-holding antibacterials accompanying very forceful antibacterial endeavors have existed in unique ways, to a degree the different pyridine-N-group of chemical elements natural commodity from Allium stipitate (Fig. 18.6)), O’Donnell and others 2009) [11]. These compounds presented venture against slow- and fast-increasing mycobacteria and a range of Staphylococcus aureus species, a few of which were methicillin-opposing and multidrug-opposing. Compound 18.6 was again alive against Mycobacterium tuberculosis, accompanying a minimum inhibitory concentration of 0.1 mg/L and showing the potential of these normal produce and garlic metabolites in comprehensive as antagonistic TB drug leads. Constituents The antimicrobial constituents are the sulfur compounds that contain allicin, allyl methyl trial pride, diallyl disulfide, diallyl trisulfide, and diallyl tetrasulfide, allyl propyl disulfide, and glycosides in the way that sativoside B1. There are more monoterpene noids present (citral, geraniol, linalool, and a- and b-phellandrene) and flavonoids established kaempferol and quercetin. The bulbs of these species that are hidden may contain the plant that is the key to duplication, producing these sulfur a normal device as protection against bacteria in their atmosphere. Therapeutic uses and available evidence
Garlic extracts have been proven to have antibiotics. syrup for soothing cough and antagonistic-thrombotic features and many garlic developments are displayed for their antagonistic-blood coagulating possessions and presenting a few supporting theories against atherosclerosis. Preparations from coarse garlic have also established much use in the treatment of respiratory lot contaminations, to a degree common cold, infirmity, and bronchitis. The allyl sulfides, to a degree allicin and ajoene are powerfully antimicrobial-bearing exercises against Staphylococcus aureus and Streptococcus variety and even some Gram-negative microorganisms, the aforementioned Helicobacter pylori, the big bacterial creative power of stomach ulcers (Harris et al., 2001) [12]

Figure 18.6garlic readiness is mainly tolerating the accompanying depressive toxicity (apart from the bad smell!). although it has been submitted that these fabrics Granting permission have the strength to obstruct antagonistic platelet drugs.
Tea tree and tea tree oil, melaleuca alternifolia (maiden et betche.) Cheel (melaleuca atheroleum)
The lubricant from the leaves and stems of this wood has a long experience of usual usage among indigenous crowds of North Australia and New South Wales. This wood evolves alongside an additional variety of Myrtaceae, in the same way that Eucalyptus is still used topically as an antimicrobial cure. Over the last 20 years skilled has been a discharge of custom of beverage seedling lubricate brands in Europe and the United States and individuals cannot investigate a drugstore outside of seeing dozens of readiness-containing soaps, shampoos, creams, lotions, and gels holding this lubricate, that has a unique ‘dry’ scent. The leaves and twigs meet with distillate to produce the lubricate that is pale yellow to colorless. Traditionally, the lubricate is secondhand topically as an antimicrobial for skin infections, to weaken discoloration and bug bites. Constituents Tea wood lubricate is a complex combination of monoterpenes and the big component is terpinene-4-ol (Fig. 18.7), which can show at concentrations as extreme as 30%. Some assortments are rich in 1,8-cineole, which is present in Eucalyptus lubricate but high-quality characteristic beverage wood oils are depressed in 1,8-cineole and are extreme in terpinen-4-ol. Other monoterpenes present contain g- and a-terpineol, a- and b-pinene, a-terpineol, limonene, and cymene, and the sesquiterpenes cubebol, epicubebol, cubenol, epicubanol, and d-cadinene. The arrangement of the lubricate concedes the possibility and also believes the method of distillation

Figure 18.7. Therapeutic uses and available evidence
Tea wooden lubricate is immediately secondhand standard in the form of skin creams for acne and blemishes, pessaries for vaginal thrush, as a respiratory disease, and in pastilles for indignant throats. it is also popular as a cream for the situation of cad and disorder given via sexual relations infestations, and for scurf and introduced grass and make a person pay through the nose problems. The lubricate has widespread antimicrobial action in opposition to Staphylococcus aureus, Escherichia coli, and differing pathogenic fungi and yeasts containing Candida albicans, and greater in opposition to the organisms Leishmania massive and Trypanosoma brucei. There have also been studies attended using preparations keeping the lubricate to humiliate the spread of MRSA in emergency room parts (Warnke and others, 2009) [13], and skilled has conducted plenty of research into the use of this lubricate as an antiseptic for attending sticks. The maximum alive-freed compounds from this lubricate include terpinene- four-ol, g-terpinene, a-terpineol, and linalool accompany tiny, silent inhibitory concentrations within the range of 0.125–0.25% v/v (Carson and Riley 1995, Cox and others 2001; Raman et al., 1995) [14,15,16]. these compounds too confirmed fashionable undertaking in the direction of Gram-negative microorganisms. It nonetheless proved that the non-aerate monoterpenes within the way that g-terpinene and p-cymene (Fig. X.7) decreased the efficiency of terpinene--four-ol via reducing liquid solubility (Cox and others, 2001). scientific checks have sponsored many of the use of beverage seedlings to lubricate, which includes Herpes labialis, even though the majority of the research is substantially constrained (Carson and others 2006) [17]. Undiluted vital oils can cause skin sensitivity and beverage shrub lubricate concedes the possibility of secondhand accompanying care. It can simplest be taken internally in confined doses. The connected manuka wood (Leptospermum scoparium) J. R. Forst. et G. Forst. constantly seek advice from ‘New Zealand beverage seedlings’, and secondhand for comparable purposes.
Bearberry, arctostaphylos, uva-ursi l. (uvae ursi folium)
The leaves of the bush Arctostaphylos uva-ursi (Eri caceae), famous as Uva Ursi or bearberry, are used to treat cystitis and urethritis, even though their use is not using evidence from randomized reserved troubles. Constituents The main elements are hydroquinone derivatives, especially the glycoside arbutin. This compound is a hydrolysed in vivo apiece substance causing chemicals to split into simpler substances b-glucosidase to present the diphenol, and hydroquinone (Fig. 18.8). Other elements involve terpenoids to a degree a- and b-amyrin, flavonoids, and tannins. Therapeutic uses and applicable evidence Hydroquinone is the main alive component concerning this material and is a forceful phenolic antiseptic. This compound is very alive against many microorganisms, but exceptionally those that are contingent cause urinary area contaminations in the way that Escherichia coli and Pseudomonas aeruginosa. Activity has again been demonstrated against different classes in the way that Bacillus subtilis and Staphylococcus aureus. Arbutin is hydrolyzed by b-glucosidase to yield the alive standard hydroquinone, that has antiseptic and harsh features. Uva-ursi is likewise a gently diuretic and antilithuric (Beaux and others 1999) [18]. Uvaursi developments in the way that Arctuvan demands that the excretion be soluble for it to have antiseptic properties, and, essentially, sour cookings containing cranberry liquid squeezed from the plant (visualize below) concede the possibility be prevented all the while situation. Hydroquinone is a very sensitive and biologically alive compound that is cytotoxic and mutagenic. High doses and prolonged habit of bearberry merchandise be prevented, and it should not be secondhand during preg intermittently moving or by one who has a kind of contamination.
Cranberry Juice, Vaccinium Macrocarponaiton
This is the ultimate popularity of the plant-derivative device accompanying arrangements are mainly naive in the form of the liquid squeezed from the plant of the berries of V. macrocarpon and accompanying variety (Ericaceae) or a stop-drained extract that is then re-suspended in water. Medic Finally, the beans have been used to treat urinary a lot of contamination, and the variety is an American plant used, ordinarily for this purpose. Marketed products contain the well-known Ocean Spray Cran kernel Classic and many various products juice modifications concerning this output. Constituents The allure concerning this plant is still not well understood because it contains many flavonoid polymers, especially the proanthocyanidins that are trusted and expected main for the decontaminating project of this variety (Fig. 18.9). These proanthocyanidins are unusually complex and change the number of flavonoid holes in the polymer (n can change significantly in Fig. 18.9), the way in that each of the wholes is affiliated and the working groups present on each whole (R1). and R2 groups in the figure can be OH or OMe for instance). This can give rise to a well-complex everyday produce combination. These compounds are colder and more soluble in water, intoxicating and flammable liquid, which can form their study by unoriginal systems such as HPLC and HPLC-MS are troublesome

Figure 18.8

Figure 18.9
Therapeutic uses and available evidence In-vitro experiments accompanying cranberry liquid squeezed from plant and proanthocyanidins have shown that they can influence the binding of the germ Escherichia coli, which is a major creative power of urinary a lot of contamination to uroepithelial containers; therefore, inhibition devotion concerning this germ admitting its go-ahead. Cranberry liquid squeezed from the plant is more of a concept to act on growing levels of hippuric acid (a metabolite of benzoic acid) and, therefore, the astringency of the excretion. Clinical studies of cranberry liquid squeezed from plants have determined equivocal evidence for stopping or situation of UTIs and the efficiency of debris untried (Jepson and Craig (2008) [19]. Cranberry liquid squeezed from the plant has an extreme calorific content, and victims accompanying diabetes the one wishes to use Cranberry juice endure using carbohydrate-free readiness. Reports that cranberry liquid squeezed from the plant interacts with accompanying warfarin are dubious and are immediately deliberately expected unproven (Zikria and others, 2010) [20]. Cranberries have existed secondhand for unrelated disorders to a degree. rocks, and are repeatedly secondhand in foods.
Single Chemical Entity (Sce) And Novel Plant Antibacterials
So far, we have looked at herbaceous devices and their extracts as antibacterials, but skilled is a growing crowd of information naming the endeavors guide single compounds unique in bioassay-directed fractionation studies on plants (Gibbons 2004, 2008) [21,22]. These plants concede the possibility of accompanying random

Figure 18.10
from a usual uncontaminated use of the plant or the plant material granted permission has been medicated superior to the study to evoke phytoalexins. Cannabis sativa has long been valued as a medicinal material bearing not only euphoria but also antiseptic possessions. In Afghanistan skilled is anecdote babble custom of marijuana sticky substance to treat plague and as a topical antimicrobial development. There is artificial evidence to support the completely clean characteristics of Marijuana's major parts, tetrahydrocannabinol, and cannabidiol (Fig. 18.10), are very alive against Gram-certain microorganisms in the way that Staphylococcus aureus and its methicillin-opposing (MRSA) variations (Appendino and others, 2008) [23]. Cannabidiol has the additional benefit of further displaying an antagonistic-angering effect, and this would exactly be favorable for wound healing washing development. Given the current marketing permission in the UK and Canada for Sativex, an authorized cannabis-located cure used to
ameliorate the pain and spasticity guide diversified sclerosis (MS), skilled is an evident opportunity to cultivate new marijuana-located antibacterials. There has been more happening, some of which bother the acylphlorluminol group of normal devices, and individuals of the first appendages concerning this class to be elucidated was hyperforin (Fig. 18.11), from St. John’s wort. This metabolite was intentional on account of the allure of superior endeavor against medicine- and methicillin-resistant Staphylococcus aureus strains accompanying MIC principles being 0.1–1 mg/l (Schempp and others, 1999).{24} The acylphloroglucinols are almost complex everyday products established by a recurrent pungent-derivative center accompanying many prenyl groups, which concede the possibility be either cyclized or oxidized to present a very working group rich and chiral class of fruit to a degree hyperforin. Other examples from this group involve the drummondins (Fig. 18.11) from another class of Hypericum, H. Drummond, who had a powerful endeavor (MIC ¼ 0.39 mg/l, {Jayasuriya et al., 1991) [25].

Figure 18.11

Figure 18.12
The flavonoids are presumably the ultimate intensively intentional organic amount in terms of them antimicrobial action and the flavanones, for instance, compound 1 (Fig. 18.12), inside this class have some very appealing levels of effectiveness and operation. Many of these unrefined amounts acquire prenyl or geranyl groups that reasonably donate to the lipophilicity and sheet solubility of these compounds. This manages to boost their cellular rudeness and reinforce their talent to pierce the bacterial container. Compound 1 has wonderful potency toward MRSA strains accompanying MIC principles of 1.5 mg/l and compound 2 is Sophora flavanone G, which is completely clean in allure own right (MIC ¼ 3.1 mg/l) and likewise has forceful the collaboration together, accompanying the glycopeptide medicine, vancomycin, that is secondhand clinically to treat MRSA contaminations (Sakagami and others, 1998). A mixture of Sophora flavanone G and Vancomycin could influence the situation of MRSA contamination and it is reasonable that these lipophilic compounds may be planned into a current antiseptic readiness to help accompany decolonization. Plants inside the Apiaceae offspring, which involves reward, coriander, parsnip, caraway, and dill are popular for producing polyacetylene instinctive products. These compounds have conjugated three-fold bonds (acetylenes). Some of these metabolites are malignant and harmful, to a degree, cicutoxin from Cow bane (Cicuta virosa), when in fact remainder of something in the way that falcarinol (Figure. 18.13) are present in the ancestries of these plants and are presumably combined as a care against bacteria in their atmosphere. Falcarindiol has a related shape to phomallenic acid B, a fungal-derivative completely clean natural produce that has proven the expected prevention of greasy acid synthase-2 (FAS-II) and it is attainable that falcarinol functions analogously. Falcarindiol is present in many Chinese curative plants, and one individual of these, Angelica dahurica is used to treat blemishes this meta-polite grant permission to incompletely arrange this operation as the main bacterial creative agents of blemishes are the staphylococci and Propionibacterium acnes

Figure 18.13
We have already visualized a few instinctive products in the way that Sophora flavanone G can potentiate the operation of existent, uncontaminated powers. Bacteria have the strength to erase antibiotics from their containers by a process known as outflow that can form the medicine inert against that strain. Such Effluxing strains have proteins on their container membranes, which transport the medicines at a distance from the bacterial container. Some organic devices (Fig. 18.14) have been established to restrict these proteins and stop them from eliminating the medicine and specific operation has the potential to fix the medicine project. Plant everyday products accompanying the strength to inhibit these processes contain beverage catechins to a degree
epicatechin gallate, plain diterpenes like total, alkaloids in the way that reserpine and even complex resin oligosaccharides (Fig. 18.14) (Stavri and others, 2007) [26]. There is excellent potential to uncover new microbial wealth from plants and the allure bestowed by plant beginnings is commonly highly working and chiral, and these surfaces are desired capable in a drug-lead contender, presumptuous supply issues may be overcome. Studies on plant antagonistic bacteria require better wisdom, specifically accompanying respect to beastlike cytotoxicity (discrimination) between microbial and beastlike toxicity) and mechanism of operation. Once these issues have happened, discussed, it is well likely that plant beginnings will produce new antimicrobial chemotypes.
Antiprotozoal Agents
The chaste antiprotozoal drug, used to treat disease is quinine, from Cinchona bark. It is still seldom used to treat the ailment, but more basically, it is the design of the result of more recent wheeled vehicles for hauling synthetics in the way that chloroquine mefloquine, and so forth, immediately undergrowth. Most of these are used for health precautions. The most recent antimalarial expected to be brought in clinically is artemisinin (from sweet or annual something unavoidable and unpleasant, Artemisia annua) or the more fixed derivative, artemether. Lapacho (taheebo) holds quinones that are antiprotozoal, even though it is often secondhand in South America as an anticancer treatment. Ebony forest (from Diospyros spp.) holds naphthoquinones that are secondhand in an akin habit by local nations. Emetine, an alkaloid from Cephaelis ipecacuanha, is amoebicidal, but too poisonous for dispassionate use; nevertheless, searches persist into the effect of complementary, to a certain extent-artificial compounds for further development. Most of the main protozoal afflictions are native to the jungles (such as bacillary traveler's diarrhea), and many (like Leishmania) involve a non-human heading, that grants permission to be a bug, worm, or invertebrate. Control of these ailments, thus, includes the use of pesticides to demolish the heading, corrections in cleanliness, and water equipment, in addition to aiming the bloodsucker. For many underdeveloped countries, the use of plant-located antiprotozoals and pesticides shows the highest rank chance of few in a way affliction control

Figure 18.14
Cinchona, cinchona spp. (cinchona cortex)
Trees of the type Cinchona (Rubiaceae) are secondhand as the beginning of a verbal attack (for construction, red cinchona, ‘cinchona rubra’, is C. pubescens (¼ C. succirubra Pavon); yellow cinchona, ‘cinchona flava’, is C. calisaya Wedd., or C. ledgeriana Moens. Et Trim. Other varieties and hybrids of the type Cinchona are further secondhand. It has been named Peruvian bark. from the native land, and still, Jesuit bark, because it was initially imported into Europe by Jesuit preachers. It is owned by large domains of lush America, and refined in Southeast Asia and parts of Africa. The bark is about industry as quills or flat pieces.
The extrinsic surface is coppery-brown color-muted silver in color, normally sure, and lichens and mosses concede the possibility of being visualized as pale silver or greenish patches. Constituents The actives are quinoline alkaloids; the big one's verbal attack (Fig. 18.15), accompanying quinidine, cinchonine, cinchonidine, epi, and hydro products of these, quinamine, and so forth. The total alkaloid content of the bark concedes the possibility be not inferior at 6.5%, accompanying 30–60% are of the verbal attack type. Identification is by thin-tier chromatography (TLC). The alkaloids
are glowing. Therapeutic uses and available evidence Quinine were generally used as an antimalarial before the onset of tractor trailer-result or goods created that have upgraded efficiency, exceptionally against opposing strains, various pharmacokinetic sketches, and discounted toxicity. The bark was earlier secondhand as a febrifuge, medicine, orexigenic, spasmolytic, and gastrin gentleman, but it is only secondhand immediately for the distillation of the alkaloids, verbal attack, and allure isomer quinidine. Both verbal attacks and quinidine have antimalarial endeavors. even though verbal attacks are more widely used secondhand. Both are ride-disc antagonistic-arrhythmic powers, that limit their utility as antimalarials, and quinidine is still used clinically for this purpose. Quinine salts are secondhand for stopping midnight cramps (the dose for this purpose is 200–300 mg of verbal attack.) sulfate or bisulfate) and in depressed doses are an ingredient of a few anodyne and cold and infirmity remedies. Chronic overdosage can result in a condition. such as cinchonism, which is from migraine, intestinal pain, rashes, and optical disturbances. Cinchona and verbal attacks endure not naive but abundant doses before birth, except for treating malaria

Figure 18.15
lapacho (taheebo, pau d’arco), tabebuia spp.
Lapacho is obtained from various classes of Tabebuia (Bignoniaceae), including T. avellanedae Lorentz ex Griseb., T. rosea Bertol., T.serratifolia (Vahl.) Nicholson and so forth. These are abundant sultry seedlings, indigenous to South America. The central bark is used medicinally. Lapacho is used as a rule for infectious afflictions containing protozoal, bacterial, fungal, and vigorous contaminations to enhance invulnerable function and for medicating differing cancers. Lapachol is antiprotozoal against Leishmania, Trypanosoma, and Schistosoma spp., in addition to being anti-inflammatory. Constituents The living elements are naphthoquinones, the most important being lapachol (Fig. 18.16), accompanying deoxylapachol, a- and b-apache, and so forth. It holds anthraquinones, benzoic acid, and benzaldehyde products.
Therapeutic uses and available evidence antimicrobial belongings are recorded against Candida, Brucella, and Staphylococcus spp., and for various viruses. Lapacho is likewise a flattering, well-known anticancer treatment; antitumor action has been proven artificial and in vivo, and any uncontrolled tests have been completed. The evidence convenient before this time is inconclusive and this horticultural drug should not be urged for the situation of malignancy. Semi-artificial derivatives of lapachol are being inclined so that increase action and lower toxicity. Lapachol is cytotoxic in large doses, and inhibits gestation in rodents; nevertheless, there is little evidence of toxicity for the spice when used in normal doses. For review, visualize Go´mez Castellanos and others 2009{27}.

Figure 18.16
Sweet wormwood (syn. Qinghaou), artemisia annua l. Qinghaou (Artemisia annua L.), as known or named at another time or place annually as something unavoidable and unpleasant, is a native of sober parts of Asia, specifically China. It is a prostrate or erect annual accompanying wood-like stems, pinnately detached leaves, and narrow, yellow flowers organized in panicles. It has a characteristic sweet, savory, odor. The spice has been used for chili ads of age in China for fevers and disorders of the liver. It is well persuasive for the situation of sickness, particularly against opposing strains of Plasmodium berghei and P. falciparum, and this is immediately the bigger use of the plant. Constituents The spice holds sesquiterpene lactones, the ultimate main component of that is artemisinin (qinghaosu). Figure. 18.17), in addition to the arteannuins A–O, artemisinin, artemisinic acid, hydroarteannuin, and possible choice. There is also a changeable lubricate containing artemisinone, cadinene, and so forth, as well as flavonoids containing artemetin. Therapeutic uses and available evidence Artemisinin are an individual of the ultimate briskly acting antiplas modal compounds. Several more fixes and direct descendants, in the way that artemether, arteether, and artesunate have grown and are being used clinically for two together, the precaution and situation of sickness (Cui and Su, 2009) [28]. The spice performs to be somewhat non-poisonous, even though cytotoxicity is artificial and Teratogenic belongings have been noticed in rodents. There is evidence that allspice extract can be excellent for private artemisinin because the flavonoids present in the leaves are connected to the abolition of CYP450 enzymes being the reason for changing the assimilation and absorption of artemisinin in the frame, and more to an advantageous immunomodulatory project in matters distressed, accompanying like a parasite and never-ending disease (Ferreira and others, 2010[29].

Figure 18.17
Insecticidal agents’ pyrethrum (insect) flowers, chrysanthemum spp.
Chrysanthemum cinerariaefolium (Trev.) Vis., C. coccineum Willd. and C. marshallii Aschers (Asteraceae) are all popular as bug flowers. Dalmation bug flow ers are C. cinerariifolium [once Pyrethrum cinerarii]. folium Trev. or Tanacetum cinerariifolium (Trev.) Sch. [Bip.] C. coccineum and C. marshallii are famous as Persian and Causasian bug flowers, individually. They are native to the Balkans but widely cultured outside. The unopened flower heads are secondhand; they are about 7 cm in diameter, with creamy-white ligulate florets and yellow tubular florets. There are two or three rows of lanceolate, pale, dangerous bracts and a flat storage area outside the palace. Constituents
All classes hold pyrethrins, which are esters of chrysanthemum and pyrethrin acids and are the actives. They are popular as pyrethrins I (Fig. 18.18) and II, cinerins I and II, and jasmolins I and II. Therapeutic uses and available evidence The unrefined pyrethrins are used to treat lice and rash infestations and to cancel different types of insects (houseflies, etc.) that are not certainly causes of skin infestation. Pyrethrin I is the ultimate forceful of the consistently occurring compounds, even though all have a destructive effect on insects. Natural products have existed used to evolve almost artificial descendants to a degree permethrin, phenothrin, tetramethrin, cypermethrin, and decamethrin, which that maybe more forceful and offer more synthetic security. All of these have happened and proved to have dispassionate efficiency, but the wheeled vehicle for hauling artificial compounds are more inclined to bring about fighting emergent

Figure 18.18
by way of their steadfastness. Pyrethrum is mainly considered to be naive to people and mammals, and Grant permission to use it secondhand as a spray, lotion, powder, or strong disinfectant.
Pyrethroids are much less poisonous to people than syn set as guide insecticides, but care concedes the possibility of stopping life as they can cause sensitive responses.
Quassia wood, picrasma excelsa (sw.) Planch and quassia amara l.
Picrasma excelsa added class, and Quassia amara (Simaroubaceae) are two together famous as quassia or sharp forest. Jamaican quassia is P. excelsa, Surinam quassia is Q. amara and Japanese quassia is P. ailanthoides Planch. The forest occurs in retail as logs and money or shaved; it is pale, appropriate yellow on demonstration, certain to the air.
Constituents Quassia holds quassinoids in the way that quassin isoquants sin (¼ plasmin), neoclassic, 18-hydroxyquassin, casino, quassialactol, quassimarin, and similikalac tones, nigari lactones A–N; and nigari hemiacetals A–F, and picrasins B, H, I, and J contingent upon the variety. P. excelsa and Q. amara still hold carboline alkaloids containing thin-6-individual and miscellaneous methoxy and hydroxy derivatives and P. ailanthoides hold an order of picaridin alkaloids. Therapeutic uses and available evidence Quassia is a poison, anthelmintic, a febrifuge, and antimalarial, even though efficiency in sickness is untried. It has happened secondhand clinically as a new infection to treat head scoundrel in people, even though little Evidence for efficiency is applicable. The quassinoids are responsible for most of the endeavor; many of the bureaucracy are insecticidal, cytotoxic, and amoebicidal two together, artificial and in vivo. Quassia has long existed used as flavoring in sharp alcoholic and smooth drinks and has existed to excite longing. Quassia is non-poisonous when used outwardly, and almost secure in small doses when swallowed.
Research Methodology
The research methods complicated an orderly selection process for recognizing plant-derivative compounds accompanying potential antimicrobial ventures. Selected compounds were subjected to rigorous exploratory judgment to evaluate their productiveness against miscellaneous infectious pathogens. Standardized assays and methods were working to measure the antimicrobial endeavor of each compound correctly.
The results of the study showed significant antimicrobial projects for various plant-derivative compounds proven against a range of catching pathogens. Data analysis showed prescription-reliant restriction of bacterial progress and promising general action against two together, grandma-certain and gram-negative microorganisms. Furthermore, certain compounds show cooperative behavior when combined, improving their overall antimicrobial effectiveness.
The judgments concerning this study enhance our understanding of the potential therapeutic serviceability of plant-derivative compounds in fighting catching ailments. The observed antimicrobial action underlines the significance of surveying normal sources for novel drug findings. Comparisons accompanying existent antimicrobial powers point to the unique benefits and challenges that guide plant-derivative compounds, containing issues connected with standardization, expression, and scalability.
In conclusion, this research shows the hopeful antimicrobial characteristics of selected plant-derived compounds, upholding their further analysis as potential aspirants for novel antimicrobial drugs. Continued research in pharmacognosy holds the potential to address the increasing threat of medicine fighting and catching ailments. Future studies should devote effort to something exemplifying the methods of operation of these compounds and optimizing their efficiency for clinical use.
The completion of this research project would not have been possible without the generous support of numerous individuals and institutions. We express our deepest gratitude to all those who contributed to the success of this project. Special thanks are due to my mentor, Prof. Naweed Imam Syed from the Department of Cell Biology at the University of Calgary, and Dr. Sadaf Ahmed from the Psychophysiology Lab at the University of Karachi for their invaluable guidance and support throughout the research process. Their insights and expertise played a pivotal role in shaping the direction of this project.
I hereby declare that I have no financial or personal interests, whether direct or indirect, that could potentially conflict with my responsibilities as a supervisor of this project.
The authors confirm that there are no conflicts of interest associated with this research.
No external funding was received to support the development of this manuscript.
Clearly Auctoresonline and particularly Psychology and Mental Health Care Journal is dedicated to improving health care services for individuals and populations. The editorial boards' ability to efficiently recognize and share the global importance of health literacy with a variety of stakeholders. Auctoresonline publishing platform can be used to facilitate of optimal client-based services and should be added to health care professionals' repertoire of evidence-based health care resources.
Journal of Clinical Cardiology and Cardiovascular Intervention The submission and review process was adequate. However I think that the publication total value should have been enlightened in early fases. Thank you for all.
Journal of Women Health Care and Issues By the present mail, I want to say thank to you and tour colleagues for facilitating my published article. Specially thank you for the peer review process, support from the editorial office. I appreciate positively the quality of your journal.
Journal of Clinical Research and Reports I would be very delighted to submit my testimonial regarding the reviewer board and the editorial office. The reviewer board were accurate and helpful regarding any modifications for my manuscript. And the editorial office were very helpful and supportive in contacting and monitoring with any update and offering help. It was my pleasure to contribute with your promising Journal and I am looking forward for more collaboration.
We would like to thank the Journal of Thoracic Disease and Cardiothoracic Surgery because of the services they provided us for our articles. The peer-review process was done in a very excellent time manner, and the opinions of the reviewers helped us to improve our manuscript further. The editorial office had an outstanding correspondence with us and guided us in many ways. During a hard time of the pandemic that is affecting every one of us tremendously, the editorial office helped us make everything easier for publishing scientific work. Hope for a more scientific relationship with your Journal.
The peer-review process which consisted high quality queries on the paper. I did answer six reviewers’ questions and comments before the paper was accepted. The support from the editorial office is excellent.
Journal of Neuroscience and Neurological Surgery. I had the experience of publishing a research article recently. The whole process was simple from submission to publication. The reviewers made specific and valuable recommendations and corrections that improved the quality of my publication. I strongly recommend this Journal.
Dr. Katarzyna Byczkowska My testimonial covering: "The peer review process is quick and effective. The support from the editorial office is very professional and friendly. Quality of the Clinical Cardiology and Cardiovascular Interventions is scientific and publishes ground-breaking research on cardiology that is useful for other professionals in the field.
Thank you most sincerely, with regard to the support you have given in relation to the reviewing process and the processing of my article entitled "Large Cell Neuroendocrine Carcinoma of The Prostate Gland: A Review and Update" for publication in your esteemed Journal, Journal of Cancer Research and Cellular Therapeutics". The editorial team has been very supportive.
Testimony of Journal of Clinical Otorhinolaryngology: work with your Reviews has been a educational and constructive experience. The editorial office were very helpful and supportive. It was a pleasure to contribute to your Journal.
Dr. Bernard Terkimbi Utoo, I am happy to publish my scientific work in Journal of Women Health Care and Issues (JWHCI). The manuscript submission was seamless and peer review process was top notch. I was amazed that 4 reviewers worked on the manuscript which made it a highly technical, standard and excellent quality paper. I appreciate the format and consideration for the APC as well as the speed of publication. It is my pleasure to continue with this scientific relationship with the esteem JWHCI.
This is an acknowledgment for peer reviewers, editorial board of Journal of Clinical Research and Reports. They show a lot of consideration for us as publishers for our research article “Evaluation of the different factors associated with side effects of COVID-19 vaccination on medical students, Mutah university, Al-Karak, Jordan”, in a very professional and easy way. This journal is one of outstanding medical journal.
Dear Hao Jiang, to Journal of Nutrition and Food Processing We greatly appreciate the efficient, professional and rapid processing of our paper by your team. If there is anything else we should do, please do not hesitate to let us know. On behalf of my co-authors, we would like to express our great appreciation to editor and reviewers.
As an author who has recently published in the journal "Brain and Neurological Disorders". I am delighted to provide a testimonial on the peer review process, editorial office support, and the overall quality of the journal. The peer review process at Brain and Neurological Disorders is rigorous and meticulous, ensuring that only high-quality, evidence-based research is published. The reviewers are experts in their fields, and their comments and suggestions were constructive and helped improve the quality of my manuscript. The review process was timely and efficient, with clear communication from the editorial office at each stage. The support from the editorial office was exceptional throughout the entire process. The editorial staff was responsive, professional, and always willing to help. They provided valuable guidance on formatting, structure, and ethical considerations, making the submission process seamless. Moreover, they kept me informed about the status of my manuscript and provided timely updates, which made the process less stressful. The journal Brain and Neurological Disorders is of the highest quality, with a strong focus on publishing cutting-edge research in the field of neurology. The articles published in this journal are well-researched, rigorously peer-reviewed, and written by experts in the field. The journal maintains high standards, ensuring that readers are provided with the most up-to-date and reliable information on brain and neurological disorders. In conclusion, I had a wonderful experience publishing in Brain and Neurological Disorders. The peer review process was thorough, the editorial office provided exceptional support, and the journal's quality is second to none. I would highly recommend this journal to any researcher working in the field of neurology and brain disorders.
Dear Agrippa Hilda, Journal of Neuroscience and Neurological Surgery, Editorial Coordinator, I trust this message finds you well. I want to extend my appreciation for considering my article for publication in your esteemed journal. I am pleased to provide a testimonial regarding the peer review process and the support received from your editorial office. The peer review process for my paper was carried out in a highly professional and thorough manner. The feedback and comments provided by the authors were constructive and very useful in improving the quality of the manuscript. This rigorous assessment process undoubtedly contributes to the high standards maintained by your journal.
International Journal of Clinical Case Reports and Reviews. I strongly recommend to consider submitting your work to this high-quality journal. The support and availability of the Editorial staff is outstanding and the review process was both efficient and rigorous.
Thank you very much for publishing my Research Article titled “Comparing Treatment Outcome Of Allergic Rhinitis Patients After Using Fluticasone Nasal Spray And Nasal Douching" in the Journal of Clinical Otorhinolaryngology. As Medical Professionals we are immensely benefited from study of various informative Articles and Papers published in this high quality Journal. I look forward to enriching my knowledge by regular study of the Journal and contribute my future work in the field of ENT through the Journal for use by the medical fraternity. The support from the Editorial office was excellent and very prompt. I also welcome the comments received from the readers of my Research Article.
Dear Erica Kelsey, Editorial Coordinator of Cancer Research and Cellular Therapeutics Our team is very satisfied with the processing of our paper by your journal. That was fast, efficient, rigorous, but without unnecessary complications. We appreciated the very short time between the submission of the paper and its publication on line on your site.
I am very glad to say that the peer review process is very successful and fast and support from the Editorial Office. Therefore, I would like to continue our scientific relationship for a long time. And I especially thank you for your kindly attention towards my article. Have a good day!
"We recently published an article entitled “Influence of beta-Cyclodextrins upon the Degradation of Carbofuran Derivatives under Alkaline Conditions" in the Journal of “Pesticides and Biofertilizers” to show that the cyclodextrins protect the carbamates increasing their half-life time in the presence of basic conditions This will be very helpful to understand carbofuran behaviour in the analytical, agro-environmental and food areas. We greatly appreciated the interaction with the editor and the editorial team; we were particularly well accompanied during the course of the revision process, since all various steps towards publication were short and without delay".
I would like to express my gratitude towards you process of article review and submission. I found this to be very fair and expedient. Your follow up has been excellent. I have many publications in national and international journal and your process has been one of the best so far. Keep up the great work.
We are grateful for this opportunity to provide a glowing recommendation to the Journal of Psychiatry and Psychotherapy. We found that the editorial team were very supportive, helpful, kept us abreast of timelines and over all very professional in nature. The peer review process was rigorous, efficient and constructive that really enhanced our article submission. The experience with this journal remains one of our best ever and we look forward to providing future submissions in the near future.
I am very pleased to serve as EBM of the journal, I hope many years of my experience in stem cells can help the journal from one way or another. As we know, stem cells hold great potential for regenerative medicine, which are mostly used to promote the repair response of diseased, dysfunctional or injured tissue using stem cells or their derivatives. I think Stem Cell Research and Therapeutics International is a great platform to publish and share the understanding towards the biology and translational or clinical application of stem cells.
I would like to give my testimony in the support I have got by the peer review process and to support the editorial office where they were of asset to support young author like me to be encouraged to publish their work in your respected journal and globalize and share knowledge across the globe. I really give my great gratitude to your journal and the peer review including the editorial office.
I am delighted to publish our manuscript entitled "A Perspective on Cocaine Induced Stroke - Its Mechanisms and Management" in the Journal of Neuroscience and Neurological Surgery. The peer review process, support from the editorial office, and quality of the journal are excellent. The manuscripts published are of high quality and of excellent scientific value. I recommend this journal very much to colleagues.
Dr.Tania Muñoz, My experience as researcher and author of a review article in The Journal Clinical Cardiology and Interventions has been very enriching and stimulating. The editorial team is excellent, performs its work with absolute responsibility and delivery. They are proactive, dynamic and receptive to all proposals. Supporting at all times the vast universe of authors who choose them as an option for publication. The team of review specialists, members of the editorial board, are brilliant professionals, with remarkable performance in medical research and scientific methodology. Together they form a frontline team that consolidates the JCCI as a magnificent option for the publication and review of high-level medical articles and broad collective interest. I am honored to be able to share my review article and open to receive all your comments.
“The peer review process of JPMHC is quick and effective. Authors are benefited by good and professional reviewers with huge experience in the field of psychology and mental health. The support from the editorial office is very professional. People to contact to are friendly and happy to help and assist any query authors might have. Quality of the Journal is scientific and publishes ground-breaking research on mental health that is useful for other professionals in the field”.
Dear editorial department: On behalf of our team, I hereby certify the reliability and superiority of the International Journal of Clinical Case Reports and Reviews in the peer review process, editorial support, and journal quality. Firstly, the peer review process of the International Journal of Clinical Case Reports and Reviews is rigorous, fair, transparent, fast, and of high quality. The editorial department invites experts from relevant fields as anonymous reviewers to review all submitted manuscripts. These experts have rich academic backgrounds and experience, and can accurately evaluate the academic quality, originality, and suitability of manuscripts. The editorial department is committed to ensuring the rigor of the peer review process, while also making every effort to ensure a fast review cycle to meet the needs of authors and the academic community. Secondly, the editorial team of the International Journal of Clinical Case Reports and Reviews is composed of a group of senior scholars and professionals with rich experience and professional knowledge in related fields. The editorial department is committed to assisting authors in improving their manuscripts, ensuring their academic accuracy, clarity, and completeness. Editors actively collaborate with authors, providing useful suggestions and feedback to promote the improvement and development of the manuscript. We believe that the support of the editorial department is one of the key factors in ensuring the quality of the journal. Finally, the International Journal of Clinical Case Reports and Reviews is renowned for its high- quality articles and strict academic standards. The editorial department is committed to publishing innovative and academically valuable research results to promote the development and progress of related fields. The International Journal of Clinical Case Reports and Reviews is reasonably priced and ensures excellent service and quality ratio, allowing authors to obtain high-level academic publishing opportunities in an affordable manner. I hereby solemnly declare that the International Journal of Clinical Case Reports and Reviews has a high level of credibility and superiority in terms of peer review process, editorial support, reasonable fees, and journal quality. Sincerely, Rui Tao.
Clinical Cardiology and Cardiovascular Interventions I testity the covering of the peer review process, support from the editorial office, and quality of the journal.
Clinical Cardiology and Cardiovascular Interventions, we deeply appreciate the interest shown in our work and its publication. It has been a true pleasure to collaborate with you. The peer review process, as well as the support provided by the editorial office, have been exceptional, and the quality of the journal is very high, which was a determining factor in our decision to publish with you.
The peer reviewers process is quick and effective, the supports from editorial office is excellent, the quality of journal is high. I would like to collabroate with Internatioanl journal of Clinical Case Reports and Reviews journal clinically in the future time.
Clinical Cardiology and Cardiovascular Interventions, I would like to express my sincerest gratitude for the trust placed in our team for the publication in your journal. It has been a true pleasure to collaborate with you on this project. I am pleased to inform you that both the peer review process and the attention from the editorial coordination have been excellent. Your team has worked with dedication and professionalism to ensure that your publication meets the highest standards of quality. We are confident that this collaboration will result in mutual success, and we are eager to see the fruits of this shared effort.
Dear Dr. Jessica Magne, Editorial Coordinator 0f Clinical Cardiology and Cardiovascular Interventions, I hope this message finds you well. I want to express my utmost gratitude for your excellent work and for the dedication and speed in the publication process of my article titled "Navigating Innovation: Qualitative Insights on Using Technology for Health Education in Acute Coronary Syndrome Patients." I am very satisfied with the peer review process, the support from the editorial office, and the quality of the journal. I hope we can maintain our scientific relationship in the long term.
Dear Monica Gissare, - Editorial Coordinator of Nutrition and Food Processing. ¨My testimony with you is truly professional, with a positive response regarding the follow-up of the article and its review, you took into account my qualities and the importance of the topic¨.
Dear Dr. Jessica Magne, Editorial Coordinator 0f Clinical Cardiology and Cardiovascular Interventions, The review process for the article “The Handling of Anti-aggregants and Anticoagulants in the Oncologic Heart Patient Submitted to Surgery” was extremely rigorous and detailed. From the initial submission to the final acceptance, the editorial team at the “Journal of Clinical Cardiology and Cardiovascular Interventions” demonstrated a high level of professionalism and dedication. The reviewers provided constructive and detailed feedback, which was essential for improving the quality of our work. Communication was always clear and efficient, ensuring that all our questions were promptly addressed. The quality of the “Journal of Clinical Cardiology and Cardiovascular Interventions” is undeniable. It is a peer-reviewed, open-access publication dedicated exclusively to disseminating high-quality research in the field of clinical cardiology and cardiovascular interventions. The journal's impact factor is currently under evaluation, and it is indexed in reputable databases, which further reinforces its credibility and relevance in the scientific field. I highly recommend this journal to researchers looking for a reputable platform to publish their studies.
Dear Editorial Coordinator of the Journal of Nutrition and Food Processing! "I would like to thank the Journal of Nutrition and Food Processing for including and publishing my article. The peer review process was very quick, movement and precise. The Editorial Board has done an extremely conscientious job with much help, valuable comments and advices. I find the journal very valuable from a professional point of view, thank you very much for allowing me to be part of it and I would like to participate in the future!”
Dealing with The Journal of Neurology and Neurological Surgery was very smooth and comprehensive. The office staff took time to address my needs and the response from editors and the office was prompt and fair. I certainly hope to publish with this journal again.Their professionalism is apparent and more than satisfactory. Susan Weiner
My Testimonial Covering as fellowing: Lin-Show Chin. The peer reviewers process is quick and effective, the supports from editorial office is excellent, the quality of journal is high. I would like to collabroate with Internatioanl journal of Clinical Case Reports and Reviews.
My experience publishing in Psychology and Mental Health Care was exceptional. The peer review process was rigorous and constructive, with reviewers providing valuable insights that helped enhance the quality of our work. The editorial team was highly supportive and responsive, making the submission process smooth and efficient. The journal's commitment to high standards and academic rigor makes it a respected platform for quality research. I am grateful for the opportunity to publish in such a reputable journal.
My experience publishing in International Journal of Clinical Case Reports and Reviews was exceptional. I Come forth to Provide a Testimonial Covering the Peer Review Process and the editorial office for the Professional and Impartial Evaluation of the Manuscript.
I would like to offer my testimony in the support. I have received through the peer review process and support the editorial office where they are to support young authors like me, encourage them to publish their work in your esteemed journals, and globalize and share knowledge globally. I really appreciate your journal, peer review, and editorial office.
Dear Agrippa Hilda- Editorial Coordinator of Journal of Neuroscience and Neurological Surgery, "The peer review process was very quick and of high quality, which can also be seen in the articles in the journal. The collaboration with the editorial office was very good."
I would like to express my sincere gratitude for the support and efficiency provided by the editorial office throughout the publication process of my article, “Delayed Vulvar Metastases from Rectal Carcinoma: A Case Report.” I greatly appreciate the assistance and guidance I received from your team, which made the entire process smooth and efficient. The peer review process was thorough and constructive, contributing to the overall quality of the final article. I am very grateful for the high level of professionalism and commitment shown by the editorial staff, and I look forward to maintaining a long-term collaboration with the International Journal of Clinical Case Reports and Reviews.
To Dear Erin Aust, I would like to express my heartfelt appreciation for the opportunity to have my work published in this esteemed journal. The entire publication process was smooth and well-organized, and I am extremely satisfied with the final result. The Editorial Team demonstrated the utmost professionalism, providing prompt and insightful feedback throughout the review process. Their clear communication and constructive suggestions were invaluable in enhancing my manuscript, and their meticulous attention to detail and dedication to quality are truly commendable. Additionally, the support from the Editorial Office was exceptional. From the initial submission to the final publication, I was guided through every step of the process with great care and professionalism. The team's responsiveness and assistance made the entire experience both easy and stress-free. I am also deeply impressed by the quality and reputation of the journal. It is an honor to have my research featured in such a respected publication, and I am confident that it will make a meaningful contribution to the field.
"I am grateful for the opportunity of contributing to [International Journal of Clinical Case Reports and Reviews] and for the rigorous review process that enhances the quality of research published in your esteemed journal. I sincerely appreciate the time and effort of your team who have dedicatedly helped me in improvising changes and modifying my manuscript. The insightful comments and constructive feedback provided have been invaluable in refining and strengthening my work".
I thank the ‘Journal of Clinical Research and Reports’ for accepting this article for publication. This is a rigorously peer reviewed journal which is on all major global scientific data bases. I note the review process was prompt, thorough and professionally critical. It gave us an insight into a number of important scientific/statistical issues. The review prompted us to review the relevant literature again and look at the limitations of the study. The peer reviewers were open, clear in the instructions and the editorial team was very prompt in their communication. This journal certainly publishes quality research articles. I would recommend the journal for any future publications.
Dear Jessica Magne, with gratitude for the joint work. Fast process of receiving and processing the submitted scientific materials in “Clinical Cardiology and Cardiovascular Interventions”. High level of competence of the editors with clear and correct recommendations and ideas for enriching the article.
We found the peer review process quick and positive in its input. The support from the editorial officer has been very agile, always with the intention of improving the article and taking into account our subsequent corrections.
My article, titled 'No Way Out of the Smartphone Epidemic Without Considering the Insights of Brain Research,' has been republished in the International Journal of Clinical Case Reports and Reviews. The review process was seamless and professional, with the editors being both friendly and supportive. I am deeply grateful for their efforts.
To Dear Erin Aust – Editorial Coordinator of Journal of General Medicine and Clinical Practice! I declare that I am absolutely satisfied with your work carried out with great competence in following the manuscript during the various stages from its receipt, during the revision process to the final acceptance for publication. Thank Prof. Elvira Farina
Dear Jessica, and the super professional team of the ‘Clinical Cardiology and Cardiovascular Interventions’ I am sincerely grateful to the coordinated work of the journal team for the no problem with the submission of my manuscript: “Cardiometabolic Disorders in A Pregnant Woman with Severe Preeclampsia on the Background of Morbid Obesity (Case Report).” The review process by 5 experts was fast, and the comments were professional, which made it more specific and academic, and the process of publication and presentation of the article was excellent. I recommend that my colleagues publish articles in this journal, and I am interested in further scientific cooperation. Sincerely and best wishes, Dr. Oleg Golyanovskiy.
Dear Ashley Rosa, Editorial Coordinator of the journal - Psychology and Mental Health Care. " The process of obtaining publication of my article in the Psychology and Mental Health Journal was positive in all areas. The peer review process resulted in a number of valuable comments, the editorial process was collaborative and timely, and the quality of this journal has been quickly noticed, resulting in alternative journals contacting me to publish with them." Warm regards, Susan Anne Smith, PhD. Australian Breastfeeding Association.
Dear Jessica Magne, Editorial Coordinator, Clinical Cardiology and Cardiovascular Interventions, Auctores Publishing LLC. I appreciate the journal (JCCI) editorial office support, the entire team leads were always ready to help, not only on technical front but also on thorough process. Also, I should thank dear reviewers’ attention to detail and creative approach to teach me and bring new insights by their comments. Surely, more discussions and introduction of other hemodynamic devices would provide better prevention and management of shock states. Your efforts and dedication in presenting educational materials in this journal are commendable. Best wishes from, Farahnaz Fallahian.
Dear Maria Emerson, Editorial Coordinator, International Journal of Clinical Case Reports and Reviews, Auctores Publishing LLC. I am delighted to have published our manuscript, "Acute Colonic Pseudo-Obstruction (ACPO): A rare but serious complication following caesarean section." I want to thank the editorial team, especially Maria Emerson, for their prompt review of the manuscript, quick responses to queries, and overall support. Yours sincerely Dr. Victor Olagundoye.
Dear Ashley Rosa, Editorial Coordinator, International Journal of Clinical Case Reports and Reviews. Many thanks for publishing this manuscript after I lost confidence the editors were most helpful, more than other journals Best wishes from, Susan Anne Smith, PhD. Australian Breastfeeding Association.
Dear Agrippa Hilda, Editorial Coordinator, Journal of Neuroscience and Neurological Surgery. The entire process including article submission, review, revision, and publication was extremely easy. The journal editor was prompt and helpful, and the reviewers contributed to the quality of the paper. Thank you so much! Eric Nussbaum, MD
Dr Hala Al Shaikh This is to acknowledge that the peer review process for the article ’ A Novel Gnrh1 Gene Mutation in Four Omani Male Siblings, Presentation and Management ’ sent to the International Journal of Clinical Case Reports and Reviews was quick and smooth. The editorial office was prompt with easy communication.
Dear Erin Aust, Editorial Coordinator, Journal of General Medicine and Clinical Practice. We are pleased to share our experience with the “Journal of General Medicine and Clinical Practice”, following the successful publication of our article. The peer review process was thorough and constructive, helping to improve the clarity and quality of the manuscript. We are especially thankful to Ms. Erin Aust, the Editorial Coordinator, for her prompt communication and continuous support throughout the process. Her professionalism ensured a smooth and efficient publication experience. The journal upholds high editorial standards, and we highly recommend it to fellow researchers seeking a credible platform for their work. Best wishes By, Dr. Rakhi Mishra.
Dear Jessica Magne, Editorial Coordinator, Clinical Cardiology and Cardiovascular Interventions, Auctores Publishing LLC. The peer review process of the journal of Clinical Cardiology and Cardiovascular Interventions was excellent and fast, as was the support of the editorial office and the quality of the journal. Kind regards Walter F. Riesen Prof. Dr. Dr. h.c. Walter F. Riesen.
Dear Ashley Rosa, Editorial Coordinator, International Journal of Clinical Case Reports and Reviews, Auctores Publishing LLC. Thank you for publishing our article, Exploring Clozapine's Efficacy in Managing Aggression: A Multiple Single-Case Study in Forensic Psychiatry in the international journal of clinical case reports and reviews. We found the peer review process very professional and efficient. The comments were constructive, and the whole process was efficient. On behalf of the co-authors, I would like to thank you for publishing this article. With regards, Dr. Jelle R. Lettinga.
Dear Clarissa Eric, Editorial Coordinator, Journal of Clinical Case Reports and Studies, I would like to express my deep admiration for the exceptional professionalism demonstrated by your journal. I am thoroughly impressed by the speed of the editorial process, the substantive and insightful reviews, and the meticulous preparation of the manuscript for publication. Additionally, I greatly appreciate the courteous and immediate responses from your editorial office to all my inquiries. Best Regards, Dariusz Ziora
Dear Chrystine Mejia, Editorial Coordinator, Journal of Neurodegeneration and Neurorehabilitation, Auctores Publishing LLC, We would like to thank the editorial team for the smooth and high-quality communication leading up to the publication of our article in the Journal of Neurodegeneration and Neurorehabilitation. The reviewers have extensive knowledge in the field, and their relevant questions helped to add value to our publication. Kind regards, Dr. Ravi Shrivastava.
Dear Clarissa Eric, Editorial Coordinator, Journal of Clinical Case Reports and Studies, Auctores Publishing LLC, USA Office: +1-(302)-520-2644. I would like to express my sincere appreciation for the efficient and professional handling of my case report by the ‘Journal of Clinical Case Reports and Studies’. The peer review process was not only fast but also highly constructive—the reviewers’ comments were clear, relevant, and greatly helped me improve the quality and clarity of my manuscript. I also received excellent support from the editorial office throughout the process. Communication was smooth and timely, and I felt well guided at every stage, from submission to publication. The overall quality and rigor of the journal are truly commendable. I am pleased to have published my work with Journal of Clinical Case Reports and Studies, and I look forward to future opportunities for collaboration. Sincerely, Aline Tollet, UCLouvain.
Dear Ms. Mayra Duenas, Editorial Coordinator, International Journal of Clinical Case Reports and Reviews. “The International Journal of Clinical Case Reports and Reviews represented the “ideal house” to share with the research community a first experience with the use of the Simeox device for speech rehabilitation. High scientific reputation and attractive website communication were first determinants for the selection of this Journal, and the following submission process exceeded expectations: fast but highly professional peer review, great support by the editorial office, elegant graphic layout. Exactly what a dynamic research team - also composed by allied professionals - needs!" From, Chiara Beccaluva, PT - Italy.
Dear Maria Emerson, Editorial Coordinator, we have deeply appreciated the professionalism demonstrated by the International Journal of Clinical Case Reports and Reviews. The reviewers have extensive knowledge of our field and have been very efficient and fast in supporting the process. I am really looking forward to further collaboration. Thanks. Best regards, Dr. Claudio Ligresti
Dear Chrystine Mejia, Editorial Coordinator, Journal of Neurodegeneration and Neurorehabilitation. “The peer review process was efficient and constructive, and the editorial office provided excellent communication and support throughout. The journal ensures scientific rigor and high editorial standards, while also offering a smooth and timely publication process. We sincerely appreciate the work of the editorial team in facilitating the dissemination of innovative approaches such as the Bonori Method.” Best regards, Dr. Matteo Bonori.
I recommend without hesitation submitting relevant papers on medical decision making to the International Journal of Clinical Case Reports and Reviews. I am very grateful to the editorial staff. Maria Emerson was a pleasure to communicate with. The time from submission to publication was an extremely short 3 weeks. The editorial staff submitted the paper to three reviewers. Two of the reviewers commented positively on the value of publishing the paper. The editorial staff quickly recognized the third reviewer’s comments as an unjust attempt to reject the paper. I revised the paper as recommended by the first two reviewers.
Dear Maria Emerson, Editorial Coordinator, Journal of Clinical Research and Reports. Thank you for publishing our case report: "Clinical Case of Effective Fetal Stem Cells Treatment in a Patient with Autism Spectrum Disorder" within the "Journal of Clinical Research and Reports" being submitted by the team of EmCell doctors from Kyiv, Ukraine. We much appreciate a professional and transparent peer-review process from Auctores. All research Doctors are so grateful to your Editorial Office and Auctores Publishing support! I amiably wish our article publication maintained a top quality of your International Scientific Journal. My best wishes for a prosperity of the Journal of Clinical Research and Reports. Hope our scientific relationship and cooperation will remain long lasting. Thank you very much indeed. Kind regards, Dr. Andriy Sinelnyk Cell Therapy Center EmCell
Dear Editorial Team, Clinical Cardiology and Cardiovascular Interventions. It was truly a rewarding experience to work with the journal “Clinical Cardiology and Cardiovascular Interventions”. The peer review process was insightful and encouraging, helping us refine our work to a higher standard. The editorial office offered exceptional support with prompt and thoughtful communication. I highly value the journal’s role in promoting scientific advancement and am honored to be part of it. Best regards, Meng-Jou Lee, MD, Department of Anesthesiology, National Taiwan University Hospital.
Dear Editorial Team, Journal-Clinical Cardiology and Cardiovascular Interventions, “Publishing my article with Clinical Cardiology and Cardiovascular Interventions has been a highly positive experience. The peer-review process was rigorous yet supportive, offering valuable feedback that strengthened my work. The editorial team demonstrated exceptional professionalism, prompt communication, and a genuine commitment to maintaining the highest scientific standards. I am very pleased with the publication quality and proud to be associated with such a reputable journal.” Warm regards, Dr. Mahmoud Kamal Moustafa Ahmed
Dear Maria Emerson, Editorial Coordinator of ‘International Journal of Clinical Case Reports and Reviews’, I appreciate the opportunity to publish my article with your journal. The editorial office provided clear communication during the submission and review process, and I found the overall experience professional and constructive. Best regards, Elena Salvatore.
Dear Mayra Duenas, Editorial Coordinator of ‘International Journal of Clinical Case Reports and Reviews Herewith I confirm an optimal peer review process and a great support of the editorial office of the present journal
Dear Editorial Team, Clinical Cardiology and Cardiovascular Interventions. I am really grateful for the peers review; their feedback gave me the opportunity to reflect on the message and impact of my work and to ameliorate the article. The editors did a great job in addition by encouraging me to continue with the process of publishing.
Dear Cecilia Lilly, Editorial Coordinator, Endocrinology and Disorders, Thank you so much for your quick response regarding reviewing and all process till publishing our manuscript entitled: Prevalence of Pre-Diabetes and its Associated Risk Factors Among Nile College Students, Sudan. Best regards, Dr Mamoun Magzoub.
International Journal of Clinical Case Reports and Reviews is a high quality journal that has a clear and concise submission process. The peer review process was comprehensive and constructive. Support from the editorial office was excellent, since the administrative staff were responsive. The journal provides a fast and timely publication timeline.
Dear Maria Emerson, Editorial Coordinator of International Journal of Clinical Case Reports and Reviews, What distinguishes International Journal of Clinical Case Report and Review is not only the scientific rigor of its publications, but the intellectual climate in which research is evaluated. The submission process is refreshingly free of unnecessary formal barriers and bureaucratic rituals that often complicate academic publishing without adding real value. The peer-review system is demanding yet constructive, guided by genuine scientific dialogue rather than hierarchical or authoritarian attitudes. Reviewers act as collaborators in improving the manuscript, not as gatekeepers imposing arbitrary standards. This journal offers a rare balance: high methodological standards combined with a respectful, transparent, and supportive editorial approach. In an era where publishing can feel more burdensome than research itself, this platform restores the original purpose of peer review — to refine ideas, not to obstruct them Prof. Perlat Kapisyzi, FCCP PULMONOLOGIST AND THORACIC IMAGING.
Dear Grace Pierce, International Journal of Clinical Case Reports and Reviews I appreciate the opportunity to review for Auctore Journal, as the overall editorial process was smooth, transparent and professionally managed. This journal maintains high scientific standards and ensures timely communications with authors, which is truly commendable. I would like to express my special thanks to editor Grace Pierce for his constant guidance, promt responses, and supportive coordination throughout the review process. I am also greatful to Eleanor Bailey from the finance department for her clear communication and efficient handling of all administrative matters. Overall, my experience with Auctore Journal has been highly positive and rewarding. Best regards, Sabita sinha
Dear Mayra Duenas, Editorial Coordinator of the journal IJCCR, I write here a little on my experience as an author submitting to the International Journal of Clinical Case Reports and Reviews (IJCCR). This was my first submission to IJCCR and my manuscript was inherently an outsider’s effort. It attempted to broadly identify and then make some sense of life’s under-appreciated mysteries. I initially had responded to a request for possible submissions. I then contacted IJCCR with a tentative topic for a manuscript. They quickly got back with an approval for the submission, but with a particular requirement that it be medically relevant. I then put together a manuscript and submitted it. After the usual back-and-forth over forms and formality, the manuscript was sent off for reviews. Within 2 weeks I got back 4 reviews which were both helpful and also surprising. Surprising in that the topic was somewhat foreign to medical literature. My subsequent updates in response to the reviewer comments went smoothly and in short order I had a series of proofs to evaluate. All in all, the whole publication process seemed outstanding. It was both helpful in terms of the paper’s content and also in terms of its efficient and friendly communications. Thank you all very much. Sincerely, Ted Christopher, Rochester, NY.