AUCTORES
Globalize your Research
Research Article | DOI: https://doi.org/10.31579/2693-7247/191
Associate Professor, School of Pharmacy, RK University, Kasturbadham, Rajkot, Gujarat- 360020.
*Corresponding Author: Kiran Dudhat, Associate Professor, School of Pharmacy, RK University, Kasturbadham, Rajkot, Gujarat- 360020.
Citation: Kiran Dudhat, (2024), Exploring Innovations in Soap and Syndet Bar Formulations: A Comprehensive Review, J. Pharmaceutics and Pharmacology Research, 7(7); DOI:10.31579/2693-7247/191
Copyright: © 2024, Kiran Dudhat. This is an open access article distributed under the Creative Commons Attribution License, which permits unrestricted use, distribution, and reproduction in any medium, provided the original work is properly cited.
Received: 09 May 2024 | Accepted: 10 June 2024 | Published: 05 July 2024
Keywords: syndets; soap; saponification
Soap has been used by humans since ancient times and was probably already known to the Sumerians. It is a fatty acid salt obtained from the reaction of a strong base with a fatty substance of animal (tallow) or plant origin (oil). Syndets are much more recent and have been in use for about a century. In the case of liquid syndets, they are mainly alkyl sulphates and their derivatives alkyl ether sulphates while isethionates and sarcosinates are more commonly found in solid syndets. Synthetic soaps and detergents are surfactants and, as such, they have detergent properties. The way soap works accounts for its antimicrobial properties. The manufacturing and evaluation of sop and syndet (synthetic detergent) bar includes several methods and techniques.
Soap is integral to our society today, and we find it hard to imagine a time when people were kept sweat smelling by the action of perfume rather than soap. The exact origins of soap are unknown, though Roman sources claim it dates back to at least 600 B.C., when Phoenicians prepared it from goat's tallow and wood ash. Soap was also made by the Celts, ancient inhabitants of Britain [1]. Soap was used widely throughout the Roman Empire, primarily as a medicine. Mention of soap as a cleanser does not appear until the second century A.D. By the eighth century, soap was common in France, Italy, and Spain, but it was rarely used in the rest of Europe until as late as the 17th century [2].
Manufacture of soap began in England around the end of the 12th century. Soap-makers had to pay a heavy tax on all the soap they produced. The tax collector locked the lids on soap boiling pans every night to prevent illegal soap manufacture after hours. Because of the high tax, soap was a luxury item, and it did not come into common use in England until after the tax was repealed in 1853. In the 19th century, soap was affordable and popular throughout Europe [2].
Early soap manufacturers simply boiled a solution of wood ash and animal fat. A foam substance formed at the top of the pot. When cooled, it hardened into soap. Around 1790, French soap maker Nicolas Leblanc developed a method of extracting caustic soda (sodium hydroxide) from common table salt (sodium chloride), replacing the wood ash element of soap. The French chemist Eugene-Michel Chevreul put the soap-forming process (called in English saponification) into concrete chemical terms in 1823. In saponification, the animal fat, which is chemically neutral, splits into fatty acids, which react with alkali carbonates to form soap, leaving glycerin as a byproduct. Soap was made with industrial processes by the end of the 19th century, though people in rural areas, such as the pioneers in the western United States, continued to make soap at home [2, 3].
Although it is likely that the Babylonians and even the Sumerians were familiar with soap, it is the Greeks and the Romans who have given us more explicit references. Physicians and poets of antiquity provide us with valuable insights on its cosmetic and medicinal uses 2-6. We must believe in Pliny the Elder and disregard the legend by which the first saponification took place on Mount Sapo, a site close to Rome where animals were sacrificed. Animal fat was mixed with the plant ash and the addition of rainwater formed a soapy mixture. It would therefore be more accurate to attribute the invention of soap to the Gauls. This substance, prepared from tallow and beech wood ash, was used by the inhabitants of Gaul to dye their hair red and to treat a variety of skin conditions. Still considered a medicinal product in the 19th century, and then directive that made it a cosmetic [4].
Syndet (synthetic detergent) cleansing bars have a much shorter history, and their relatively recent use corresponds to a need in certain circumstances to have a hygiene product without the adverse effects of soap. During this period of the COVID-19 pandemic, thorough and frequent handwashing is at the core of the contamination prevention strategy and is one of the main protective measures. We hereby propose to clarify the situation by highlighting the differences that exist between soap and syndet cleansing bars [4].
Importance of Soap and Syndets
People use soap to make their skin clean. Dirt and other impurities are easily removed from the skin whenever one uses soap. Ingredients present in soap are strong; this is why eliminating dirt becomes easier with the use of soap. Soap can be used for general situations such as bathing, cleaning and washing. On top of that, soap is a key component in most lubricants. There are two different categories of soap including bar and liquid soap. Bar soap is recommended over liquid soap because they are less expensive and their ingredients are stronger for cleaning than those of liquid soap. Cleansing every day has been a social norm since the ancient period. The act of cleansing, which initially served purely functional purpose of hygiene, has now been promoted as an act of relaxation to improve one’s skin health [5]. Soap made of fat and ash has been in use since the Mesopotamian era for cleaning clothes and wool. The importance of soap for personal hygiene was recognized only after the first century. Since then, the personal cleanser industry has evolved rapidly with scientific backing. Soap has been used by humankind since ancient times and was probably already known to the Sumerians. It is a fatty acid salt obtained from the reaction of a strong base with a fatty substance of animal (tallow) or plant origin (oil). This reaction is called saponification [6].
Syndets, on the other hand, are much more recent and have been in use for about a century. In the case of liquid syndets, they are mainly alkyl sulphates and their derivatives alkyl ether sulphates while isethionates and sarcosinates are more commonly found in solid syndets. Synthetic soaps and detergents are surfactants and, as such, they have detergent properties. The way soap works accounts for its antimicrobial properties [7]. Thanks to its amphiphilic structure, it is able to interact with the lipid membranes of microorganisms (viruses, bacteria, etc.) and inactivate them. In coronavirus pandemic period, health authorities worldwide recommend hand washing with soap and water. We therefore wanted to provide a summary of the chemical characteristics and applications of soaps, on the one hand, and synthetic detergents, on the other. Soap is not the only product used for hand hygiene and, given the current situation, alternatives are complex and varied. Syndet bars contain varying levels of fatty acids. It has been shown that when skin-natural fatty acids are deposited from cleansers, they can replenish the fatty acids lost during cleansing. These fatty acids have also been shown to improve skin moisturization [8]. A deeper understanding of what happens to the deposited fatty acids, as relates to the composition of the lipid layers, has not been previously investigated.
Healthy female subjects (30-50 years) with minimally dry skin on their forearms and legs provided informed consent to participate in randomized, double-blind IRB-approved 4-week cleansing studies. Bars and liquid cleansers were formulated with deuterated fatty acid (palmitic). On the last day tape strip samples were collected for measurement of lipid composition including deuterated elongated fatty acids, sphingosine and ceramides. All subjects were found to have abundant deuterated elongated fatty acids (C18-C26) from analyzed samples. Applications of mild fatty acid containing cleansers show deposition and subsequent metabolism to form longer chain fatty acids. The increase in longer chain lipids in the stratum corneum is consistent with creating a stronger and better stratum corneum barrier.
Specification of different types of soaps[9]
Toilet soap:
Castile soap
Carbolic soap
Transparent soap
Shaving soaps
Shampoo soaps
Soap Chemistry
A Review of Soap Chemistry Soap is a salt of fatty acid, obtained through the reaction of a strong base with fat of animal or vegetable origin [10]. This reaction is known as saponification. The strong base in question can be soda or potash, and the choice between the two will influence the nature of the resulting soap at room temperature. soaps from soda are solid, whereas soaps from potash are liquid. In the latter case we speak of “black soaps” as opposed to those obtained from soda, which are known as “white soaps”.
The fat of animal origin, which is still used today, is tallow, a substance composed mainly of saturated fatty acids (palmitic and stearic acids) and an unsaturated fatty acid (oleic acid). A variety of oils can be used, including palm oil, palm kernel oil, coconut oil or olive oil, to name only the most common [10]. With regard to olive oil, it was in 1688 that Louis XIV laid out specific rules of manufacture, through the Edict of Colbert, that defined Marseille soap. It is made by cooking in large boilers and is based strictly on olive oil. It still does not carry a PDO (Protected Denomination of Origin) label, with the sole importance being the method of manufacture therefore, a soap labelled “Marseille” can be produced anywhere in France. In all cases, the result of saponification is the production of a detergent, emulsifying and foaming substance [11, 12].
Soap structure and phase behaviour
While soap has been used since antiquity, soap production has historically been more of an art than a science. For example, the soap-boiling process, widely used for centuries, manipulated a soap mass around and through various phases with such cryptic names as nigre, middle soap, neat soap, kettle wax, and curd. In the 20th century, however, soap scientists developed a coherent understanding of the structure and phase behaviour of soap [13]. As a result, it is now appreciated that the complex behaviour of soap systems can be fully explained in terms of the molecular phenomena common to surfactant systems. This chapter will attempt to elucidate the principles of soap behaviour in terms of its structure and phases. In addition, the way these soap phases organize relative to one another to form the final bar structure will be discussed in terms of both processing effects and user properties [14].
Soap Molecular Structure
Soap, commonly defined as the salt of a fatty acid, is the reaction product of aqueous caustic soda with fats and oils from natural sources. As a surfactant molecule, soap contains a hydrophilic head (the carboxylate group) and a hydrophobic tail (the aliphatic chain). This dual character gives soap its ability to dissolve both aqueous and organic phases, its ability to form monolayers at the air–liquid interface (as in foam generation and stability), and its ability to cleanse. The extent to which a particular soap has these properties is determined both by the counter-ion(s) and the aliphatic chain(s) that are present. Depending on the source of the fat or oil used, the distribution of the aliphatic chains can vary including chain lengths from C8 to C22 as well as a range of unsaturation, including oleic (C18:1), linoleic (C18:2), and linolenic (C18:3) chains [15, 16].
Types of soap and bar
Solid Soap
As with all pure materials, pure single-chain sodium soap (anhydrous sodium salt of a single fatty acid) will form a solid crystal structure when sufficiently cool. This structure generally consists of packed bilayers of soap molecules, arranged head-to-head and tail-to-tail. If water is also present, a hydrated crystal structure will form, consisting of packed bilayers of soap molecules with the water of hydration in the region between the packed carboxylate heads. Solid soap crystals have been probed by X-ray diffraction. The observed dif fraction patterns can be divided into two groups: the long spacings that correspond to the perpendicular separation between carboxylate heads in the bilayers (long range order), and the short spacings that correspond to the lateral separation between parallel aliphatic chains (short-range order) [17].
The dissolution properties for the single crystals in isolation have never been reported. This is especially significant since commercial soap bars contain multiple components that are divided among multiple phases (as will be discussed in the section on Soap Colloidal Structure), so that the recrystallization of one dispersed solid crystal phase into another solid crystal phase must be commensurate with corresponding changes in the composition and/or phase structure of the continuous phase. While it is tempting to attribute differences in soap bar behaviour solely to the type of solid soap crystal present, the effect of changes in the continuous phase must not be ignored [18].
Liquid Crystalline Soap
A liquid crystal is defined as a class of material that has both liquid- and solid-like properties. Liquid crystalline soap phases can form either when anhydrous soap is heated or mixed with water. These phases are classified as thermotropic and lyotropic liquid crystals, respectively. In either case, the tail portions of the soap molecules become more fluid, resulting in a loss of short-range order, as in a liquid, while still maintaining their long-range order, as in a solid. The various types of soap liquid crystals are discussed in the following sections [18, 19].
Cast Transparent Bars
It has long been known that if certain soap compositions are dissolved in hot ethyl alcohol, they may be cast into moulds of the desired shape and allowed to solidify and age for alcohol evaporation, yielding a transparent bar. It is also possible to make similarly transparent bars using triethanolamine rather than ethyl alcohol, eliminating the need for aging or solvent evaporation to achieve full transparency. These cast transparent bars are sometimes called poured or moulded bars [20]. Cast transparent bars are typically made as a blend of 50% soap and 50%-solvent. Depending on the desired bar properties regarding firmness and latherability, the soap blend employed can range from mixtures rich in long-chain saturated soaps to mixtures rich in short-chain saturated and unsaturated soaps. The solvent may contain ethyl alcohol, glycerine (or other polyols), sugar, and/or rosin. The hot soap and solvent solution must itself appear transparent, showing the absence of any solid or liquid crystalline soap phases, or else the mixture will not give rise to transparent bars when cooled [4].
Little has been published on the structure and phase behaviour of these systems. Since X-ray evidence indicates the presence of solid soap crystals, it was inferred that these crystals must be smaller than the wavelength of visible light, thereby permitting transparency. More recently it has been noted that the solvents both reduce the quantity of solid soap crystal and limit crystal size. Nevertheless, this does not address the full colloidal structure of these bars. The manufacture of cast transparent bars is a labour-intensive process since they must be demoulded when cool. Hence, these bars have been mass produced only at a premium cost [21].
Translucent Bars
It was long noted that ordinary milled soap at high water levels (e.g., 20–30%) appears translucent if the opaque whitening agent is omitted. While bars with this water level are soft and deform on aging, it was found that replacing some of the water with glycerine both enhances translucency and helps maintain hardness. These compositions achieve translucency both through matching refractive indices of the various domains and by sufficiently reducing the domain size of the dispersed phase [22]. The difference in refractive indices of the various domains present in a soap bar ultimately stem from the difference in refractive index between soap (n = 1.5) and the solvent, water (n = 1). Addition of co-solvents, such as polyols (glycerine, sorbitol, or propylene glycol), triethanolamine, or their mixtures, can raise the refractive index of the solvent to approach that of soap and improve translucency. The domain size of the dispersed phase can be reduced by recrystallization [23].
As discussed previously, mechanical work provides the surface renewal to facilitate the migration of molecules to their equilibrium phase. Within the right window of process temperature and water concentration, the equilibrium state for the dispersed phase will consist of small crystallites of zeta phase. Hence, sufficient mechanical work under the right process Conditions will also improve translucency. This mechanical work may be delivered to the Formulated soap mixture through the use of intensive mixers, roll mills, and/or refiner plodders [21]. Although they are somewhat less transparent than cast transparent bars, translucent extruded bars can be manufactured on conventional soap-making equipment and hence mass-produced at costs similar to that for opaque soap.
Manufacturing of soap
Raw Materials
Soap requires two major raw materials: fat and alkali. The alkali most commonly used today is sodium hydroxide. Potassium hydroxide can also be used. Potassium-based soap creates a more water-soluble product than sodium-based soap, and so it is called "soft soap." Soft soap, alone or in combination with sodium-based soap, is commonly used in shaving products [23].
Animal fat in the past was obtained directly from a slaughterhouse. Modern soap makers use fat that has been processed into fatty acids. This eliminates many impurities, and it produces as a byproduct water instead of glycerin. Many vegetable fats, including olive oil, palm kernel oil, and coconut oil, are also used in soap making. Additives are used to enhance the color, texture, and scent of soap. Fragrances and perfumes are added to the soap mixture [24, 25].
1. Source of Glycerides: The main sources of slow lathering hard oils are tallow, palm oil, whale oil, fish oil and greases, etc. Quick lathering hard oils include coconut oil, palm oil and kernel oil, etc. Soft oils are soya bean oil, cotton seed oil and inedible olive oil, etc.
2. Rosin: A plant product contains mainly abietic acid. The colourless variety of Rosin is used in the manufacture of laundry soaps and dark variety is used in the manufacture of coloured soaps. Rosin makes lather formation faster, increases the cleaning property of the soap and softens the hard soaps. Rosin requirement is about 50% and the grease is 23%.
3. Caustic Soda: It is available in the form of flakes, blocks and sticks as well as in solution of sodium hydroxide in various concentrations. The caustic product potash is involved in the manufacture of saving creams.
4. Sodium Chloride: Sodium Chloride is used for salting out about 12.5 parts per 100 parts of oil to be saponify is used.
5. Binding Materials: Sodium Silicate, Soda Ash, Tri Sodium Phosphate, Borax is used as Binding materials. They improve the soap texture and prevent the formation of precipitate in hard water.
6. Fillers: The weight of the Soap is determined by fillers such as talc, starch, glauber salt, pearl ash, etc. without affecting the detergency of the washing soaps.
7. Colouring Matter. Organic dyes and inorganic pigments are used. As a Dye the material should be inert to alkali used in making soap and should not separate when soap is blended in the process. Common colouring matters are methyl violet, Bismarck brown, safframine for red, zinc oxide for white colour, chrome green for green colour, cadmium for yellow colour, ultra-marine for blue colour, eosin for pink colour, vermilion for rose shade. Intermediate colours are obtained by blending the above colours.
8. Perfumes & Perfume Fixatives: These impart fragrance for the soap. They may be natural or synthetic. Examples are sandalwood oil, lemon grass oil, clove oil, eucalyptus oil, lavender oil and cinnamon oil, etc. The synthetic perfumes are, Jasmine (Benzyl Acetate), Rose (Phenyl Ethyl Alcohol), Lylac (Terpenol), and Musk (Benzoate).
Manufacturing Methods of Soap
Considering the soap processing variations used at present, there are four basic process methods which are used industrially. The Cold Process Method, Hot Process Method (Kettle Process), Rebatching (Milled soap), and Melt and Pour Method (Continuous Process) were used for manufacturing of soap [26].
Cold Process Method
This type of soap which is of a type of grandma made, is commonly referred as “CP” soap. It is made by combining fatty acids with sodium hydroxide (lye). This fatty acid is usually in the form of beef tallow, olive oils and hemp oil. This is a traditional method of soap making that is usually to process soap at home. This is a combination of art and science where this had a certain portion of lye (NaOH) and water to fatty acids that forms a chemical reaction known as “Saponification” during which oil and lye mixture become soap [27]. This takes approximately six weeks. Elaborating on this cold process, unit operations are as follows under each topic it should be noted that even in the cold soap making process, some heat is usually required [28].
1. Saponification
The temperature is usually raised to a point sufficient to ensure complete melting of the fat being used. The batch may also be kept warm for some time after mixing to ensure the alkali (hydroxide) is completely used up. This soap is safe to use after about 12–48 hours, but is not at its peak quality for use for several weeks. Cold-process soap making requires exact measurements of lye and fat amounts and computing their ratio, using saponification charts to ensure the finished product does not contain any excess hydroxide or too much free unreacted fat. Saponification charts should also be used in hot processes, but are not necessary for the "fully boiled hot-process" soaping [29].
A cold-process soap maker first looks up the saponification value of the fats being used on a saponification chart. This value is used to calculate the appropriate amount of lye. Excess unreacted lye in the soap will result in a very high pH and can burn or irritate skin; not enough lye leaves the soap greasy. Most soap makers formulate their recipes with a 4–10
The lye is dissolved in water. Then oils are heated, or melted if they are solid at room temperature. Once the oils are liquefied and the lye is fully dissolved in water, they are combined. This lye-fat mixture is mixed until the two phases (oils and water) are fully emulsified. Emulsification is most easily identified visually when the soap exhibits some level of "trace", which is the thickening of the mixture. (Modern-day amateur soap makers often use a stick blender to speed this process) [31]. There are varying levels of trace. Depending on how additives will affect trace, they may be added at light trace, medium trace, or heavy trace. After much stirring, the mixture turns to the consistency of a thin pudding. "Trace" corresponds roughly to viscosity. Essential oils and fragrance oils can be added with the initial soaping oils, but solid additives such as botanicals, herbs, oatmeal, or other additives are most commonly added at light trace, just as the mixture starts to thicken [30].
The batch is then poured into moulds, kept warm with towels or blankets, and left to continue saponification for 12 to 48 hours. (Milk soaps or other soaps with sugars added are the exception. They typically do not require insulation, as the presence of sugar increases the speed of the reaction and thus the production of heat.) During this time, it is normal for the soap to go through a "gel phase", wherein the opaque soap will turn somewhat transparent for several hours, before once again turning opaque [30].
After the insulation period, the soap is firm enough to be removed from the mould and cut into bars. At this time, it is safe to use the soap, since saponification is in essence complete. However, cold-process soaps are typically cured and hardened on a drying rack for 2–6 weeks before use. During this cure period, trace amounts of residual lye are consumed by saponification and excess water evaporates [30].
During the curing process, some molecules in the outer layer of the solid soap react with the carbon dioxide of the air and produce a dusty sheet of sodium carbonate. This reaction is more intense if the mass is exposed to wind or low temperatures [30].
Hot Process Method
Hot-processed soaps are created by encouraging the saponification reaction by adding heat to speed up the reaction. Unlike cold-processed soap, in hot-process soaping, the oils are completely saponified by the end of the handling period, whereas with cold-pour soap, the bulk of the saponification happens after the oils and lye solution emulsification is poured into moulds [26, 27, 30].
1. Boiling
Fats and alkali are melted in a kettle, which is a steel tank that can stand three stories high and hold several thousand pounds of material. Steam coils within the kettle heat the batch and bring it to a boil. After boiling, the mass thickens as the fat reacts with the alkali, producing soap and glycerin.
2. Salts
The soap and glycerin must now be separated. The mixture is treated with salt, causing the soap to rise to the top and the glycerin to settle to the bottom. The glycerin is extracted from the bottom of the kettle.
To remove the small amounts of fat that have not saponified, a strong caustic solution is added to the kettle. This step in the process is called "strong change." The mass is brought to a boil again, and the last of the fat turns to soap. The batch may be given another salt treatment at this time, or the manufacturer may proceed to the next step.
4. Pitching
The next step is called "pitching." The soap in the kettle is boiled again with added water. The mass eventually separates into two layers. The top layer is called "neat soap," which is about 70% soap and 30% water. The lower layer, called "nigre," contains most of the impurities in the soap such as dirt and salt, as well as most of the water. The neat soap is taken off the top. The soap is then cooled. The finishing process is the same as for soap made by the continuous process.
Rebatching
The rebatching soap method, also known as the milled soap method, involves shredding your own soap creation, melting it and adding additional ingredients. This method is very similar to the melt and pour style of soap making except that you do not use a pre-made soap base. This technique cannot really be practiced without knowing either the cold process method or hot process method first. It is widely used to "save" unsuccessful batches by re-melting the soap for a future project [32, 33].
Unmoulding
Rebatching can be done after unmoulding by grating or chopping a soap bar and using water to melt it. Here also Mixing and Boiling, Moulding, Cutting, Curing happens.
Melt and Pour Method
The boiling process is very time consuming; settling takes days. To produce soap in quantity, huge kettles must be used. For this reason, continuous soap making has largely replaced the old boiling process. Most continuous processes today employ fatty acids in the saponification reaction in preference to natural fats and oils. These acids do not contain impurities and, as explained at the beginning of this section, produce water instead of glycerin when they react with alkali. Hence, it is not necessary to remove impurities or glycerin from soap produced with fatty acids [28]. Furthermore, control of the entire process is easier and more precise. The fatty acids are proportionally fed into the saponification system either by flow meter or by metering pump; final adjustment of the mixture is usually made by use of a pH meter (to test acidity and alkalinity) and conductivity-measuring instruments [25, 34].
The melt and pour method could be the simplest method of them all depending on the intricacy of our project. Since this could potentially be the easiest of all the soap making methods, it is an absolutely wonderful way for beginners to start out making their own soap.
Reactions involved in the process
Soaps are sodium or potassium fatty acids salts, produced from the hydrolysis of fats in a chemical reaction called saponification. Each soap molecule has a long hydrocarbon chain, sometimes called its 'tail', with a carboxylate 'head'. In water, the sodium or potassium ions float free, leaving a negatively-charged head. Soap is an excellent cleanser because of its ability to act as an emulsifying agent. An emulsifier is capable of dispersing one liquid into another immiscible liquid. This means that while oil (which attracts dirt) doesn't naturally mix with water, soap can suspend oil/dirt in such a way that it can be removed [35].
The organic part of a natural soap is a negatively-charged, polar molecule. Its hydrophilic (water-loving) carboxylate group (-CO2) interacts with water molecules via ion-dipole interactions and hydrogen bonding. The hydrophobic (water-fearing) part of a soap molecule, its long, nonpolar hydrocarbon chain, does not interact with water molecules. The hydrocarbon chains are attracted to each other by dispersion forces and cluster together, forming structures called micelles. In these micelles, the carboxylate groups form a negatively-charged spherical surface, with the hydrocarbon chains inside the sphere. Because they are negatively charged, soap micelles repel each other and remain dispersed in water [36].
Grease and oil are nonpolar and insoluble in water. When soap and soiling oils are mixed, the nonpolar hydrocarbon portion of the micelles break up the nonpolar oil molecules. A different type of micelle then forms, with nonpolar soiling molecules in the centre. Thus, grease and oil and the 'dirt' attached to them are caught inside the micelle and can be rinsed away [37]. Although soaps are excellent cleansers, they do have disadvantages. As salts of weak acids, they are converted by mineral acids into free fatty acids:
CH3 (CH2)16CO2-Na+ + HCl → CH3 (CH2)16CO2H + Na+ + Cl-
These fatty acids are less soluble than the sodium or potassium salts and form a precipitate or soap scum. Because of this, soaps are ineffective in acidic water. Also, soaps form insoluble salts in hard water, such as water containing magnesium, calcium, or iron [38].
2 CH3 (CH2)16CO2-Na+ + Mg2+ → [CH3(CH2)16CO2-]2Mg2+ + 2 Na+
The insoluble salts form bathtub rings, leave films that reduce hair luster, and gray/roughen textiles after repeated washings. Synthetic detergents, however, may be soluble in both acidic and alkaline solutions and don't form insoluble precipitates in hard water [39].
Unit Operations
Saponification
The term saponification is the name given to the chemical reaction that occurs when a vegetable oil or animal fat is mixed with a strong alkali. The products of the reaction are two: soap and glycerine. Water is also present, but it does not enter into the chemical reaction. The water is only a vehicle for the alkali, which is otherwise a dry powder. The name saponification literally means "soap making". The root word, "sapo", is Latin for soap. The Italian word for soap is sapone. Soap making as an art has its origins in ancient Babylon around 2500 - 2800 BC [40, 41].
The oils used in modern handmade soap are carefully chosen by the soap maker for the character they impart to the final soap. Coconut oil creates lots of glycerine, makes big bubbly lather, and is very stable. Olive oil has natural antioxidants and its soap makes a creamier lather. Tallow, or rendered beef fat, makes a white, stately bar that is firm and creates abundant lather. Many other oils can be used, each one for a specific reason. Your soap maker will be glad to tell you which oils are used to make her or his soap. The alkali used in modern soap is either potassium hydroxide, which is used to make soft soap or liquid soap because of its greater solubility, or sodium hydroxide, which is used to make bar soap [42].
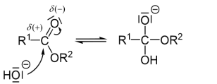
The mechanism by which esters are cleaved by base involves a series of equilibria. The hydroxide anion adds to (or "attacks") the carbonyl group of the ester [43]. The immediate product is called an orthoester:

Expulsion of the alkoxide generates a carboxylic acid:

The alkoxide is more basic than the conjugate base of the carboxylic acid, and hence proton transfer is rapid:

Saponification to the sodium salt of myristic acid takes place with NaOH in water. The acid itself can be obtained by adding dilute hydrochloric acid [44].
Triglycerides are also saponified in a two-step process that begins with steam hydrolysis of the triglyceride. This process gives the carboxylic acid, not its salt, as well as glycerol. Subsequently, the fatty acid is neutralized with alkali to give the soap. The advantage of the two-step process is that the fatty acids can be purified, which leads to soaps of improved quality. Steam hydrolysis proceeds via a mechanism similar to the base-catalysed route, involving the attack of water (not hydroxide) at the carbonyl center. The process is slower, hence the requirement for steam [45].
Depending on the nature of the alkali used in their production, soaps have distinct properties. Sodium hydroxide (NaOH) gives "hard soap", whereas, when potassium hydroxide (KOH) is used, a soft soap is formed. Soft soap typically refers to a type of soap that has a higher glycerin content and is more fluid or semi-solid in consistency. Soft soaps are often made through the process of saponification, which involves mixing oils or fats with an alkali (such as sodium hydroxide for solid soap or potassium hydroxide for liquid soap). Soft soaps may contain more moisturizing agents and are often used for handwashing, body washes, and facial cleansers. Liquid hand soaps and body washes are common examples of soft soap. Whereas, Hard soap is solid and firm in consistency [18]. It's typically the result of the same saponification process but with different ratios of oils, fats, and alkali, leading to a harder final product. Hard soaps may contain fewer moisturizing agents and are often used for general cleaning purposes, such as laundry soap, dish soap, or bar soap for bathing. Bar soaps used for bathing or laundry detergent bars are examples of hard soap [46].
Lithium soaps
Lithium derivatives of 12-hydroxystearate and several other carboxylic acids are important constituents of lubricating greases. In lithium-based greases, lithium carboxylates are thickeners. "Complex soaps" are also common, these being combinations of metallic soaps, such as lithium and calcium soaps. hey are characterized by their ability to form thick greases or lubricating greases when combined with various oils. Lithium soaps are commonly used in the production of lubricating greases. When lithium soaps are mixed with mineral or synthetic oils, they form stable, high-temperature-resistant greases that are widely used in automotive, industrial, and marine applications [47]. Lithium-based greases exhibit good water resistance, making them suitable for applications where exposure to water or moisture is common. Lithium greases have good temperature stability and can operate effectively across a wide range of temperatures, from low to high extremes. Lithium greases find use in various industries including automotive (wheel bearings, chassis components), industrial (bearings, gears), marine (boat trailer bearings, marine equipment), and household (lubricating door hinges, locks) [48].
Crutcher
The Crutcher is a vertical mixer used in the semi-boiled batch saponification, for the neutralization of fatty acids with caustic soda and for the neutral fat’s saponification. The Crutcher is also used to add additives such as caoline, silicate and to color the laundry soap in the drying plant. Another use of the Crutcher is the synthetic detergent soaps base production. It is possible to place the Crutcher on load cells with the purpose to dose the raw materials directly inside of it. The Crutcher can operate either at atmospheric pressure or pressurized [49]. For the pressurized use Soaptec supplies Crutchers manufactured and certified according to ASME, SECTION VIII, DIVISION 1 Standards. The Crutcher is provided with a vertical mixing screw placed inside a draft tube which assures a strong mixing of the material inside. The screw draws the material into the draft tube from the bottom of the crutcher and expels it out of the tube at the top. This action creates a vigorous flow of material across the machine resulting in excellent mixing. Bottom of the screw is fitted with an anchor type blade that scrapes the bottom of the vessel, thus preventing depositing of the material [50].
Plodding & Cake cutting
After the soap has been thoroughly milled it is ready for plodding. A plodder is so constructed as to take the soap ribbons fed into the hopper by means of a worm screw and continuously force it under great pressure through a jacketed cylinder through which cold water circulates in the rear to compensate the heat produced by friction and hot water at the front, to soften and polish the soap which passes out in solid form in bars of any shape and size depending upon the form of the shaping plate through which it is emitted. The bars run upon a roller board, are cut into the required length by a special cake cutting table, allowed to dry slightly and pressed either automatically or by a foot power press in any suitable soap die. The finished cake is then ready for wrapping. Besides the various apparatus mentioned above there are many other parts for the full equipment of a modern soap plant, such as remelters, pumps, mixers, special tanks, power equipment, etc. As has been stated, however, practical experience will aid in judging the practicability as to installation of these [51].
The various methods of powdering soap are, however, not generally known. Where a coarse powder is to be produced, such as is used for common washing powders, no great difficulty is experienced with the well-known Blanchard mill. In grinding soap to an impalpable powder, the difficulties increase. The methods adapted in pulverizing soaps are by means of disintegrators, pebble mills and chaser mills. The disintegrator grinds by the principle of attrition, that is, the material is reduced by the particles being caused to beat against each other at great velocity; a pebble mill crushes the substance by rubbing it between hard pebbles in a slowly revolving cylinder; the chaser mill first grinds the material and then floats it as a very fine powder above a curb of fixed height. The last method is particularly adapted for the finest of powder (140 mesh and over) [52, 53].
Packing & Stamping
After all, above unit operations the outcome is soap bar. To release to the market the last product direct through the stamping and packing unit operation.
Problems in soap making
Problems that can occur in soap making and their possible causes are described in following table 1 [54, 55].
| Problem | Possible causes |
| Soap will not thicken quickly enough | Not enough lye, too much water, temperature too low, not stirred enough or too slowly, too much unsaturated oil (e.g., sunflower or safflower). |
| Mixture curdles while stirring | Fat and/or lye at too high temperature, not stirred enough or too slowly. |
| Mixture sets too quickly, while in the kettle | Fat and lye temperatures too high. |
| Mixture is grainy | Fat and lye temperature too hot or too cold, not stirred enough or too slowly. |
| Layer of oil forms on soap as it cools | Too much fat in recipe or not enough lye. |
| Clear liquid in soap when it is cut | Too much lye in recipe, not stirred enough or too slowly. |
| Soft spongy soap | Not enough lye, too much water, or too much unsaturated oil |
| Hard brittle soap | Too much lye |
| Soap smells rancid | Poor quality fat, too much fat or not enough lye. |
| Air bubbles in soap | Stirred too long |
| Mottled soap | Not stirred enough or too slowly or temperature fluctuations during curing. |
Soap separates in mould, greasy surface layer on soap | Not enough lye, not boiled for long enough, not stirred enough or too slowly |
| White powder on cured soap | Hard water, lye not dissolved properly, reaction with air. |
| Warped bars | Drying conditions variable. |
Table 1. Problems associated with manufacturing of soap
Soaps vs. Syndets: Similarities and Differences
A diverse range of skin cleansers exist today, but they all generally fall into two types: soap-based and syndets. Both soap- and syndet-based cleansers contain at least one (often more than one) surfactant, a class of organic compounds that are amphiphilic/amphipathic, that is, they contain both nonpolar or hydrophobic (water-hating and lipid-loving) moieties, also known as ‘tails’, and polar or hydrophilic (water-loving) moieties, also known as ‘head. Therefore, they are soluble in both water and organic solvents [4, 50].
Due to surfactants’ unique chemistry and characteristics, hydrophobic compounds present in excess sebum and other undesired substances (e.g., dirt, oils) on the skin’s surface are washed away with greater ease than could be achieved with water alone. While soaps and syndets are similar in that they cleanse dirt and impurities from the surface of the skin, their distinct chemical properties and physiological effects can be markedly different [4, 7].
Method of Making Syndet Bars [21]
Crutching
Add melted sodium cetearyl sulfate to the crutcher. Add predetermined quantity of Hamposyl L-30 solution to the crutcher mix. Add the predetermined quantity of AGS paste to the water in the crutcher. The AGS paste can be atambient temperature or preheated to 1 50 ° F (65 ° C). Turn on the agitator and recirculation pump and maintain temperature in crutcher at 130-1 50 °F by adjusting steam and water valves. Allow contents in crutcher mix to return to 130-1 50 °F (54-65 °C) prior to
adding predetermined quantity of stearic acid. Add to heated crutcher mix predetermined quantity of soap or NaOH to form in-situ soap. Allow the contents in the crutcher to mix and/or react for about 15 minutes while maintaining the temperature at 1 30-1 50 ° F (54-65 ° C). Add to heated crutcher mix the predetermined quantity of acyl isethionate. Allow contents in Crutcher to mix for about 20 minutes while maintaining temperature at 130-1 50 °F (54-65 °C). Add sodium chloride plasticizer and titanium dioxide to the heated crutcher mix. Add lauric and/or coconut fatty acids to crutcher mix and allow contents of crutcher to mix for about io 15 minutes while maintaining temperature at 1 30-1 50 ° F (54-65 ° C).
Drying
The crutcher mix is dried and cooled using a combination flash chamber and chill roll or chill belt. The is crutcher mix is first heated to approximately 300 °F (149°C) by a heat exchanger and then flash dried in a chamber above the chill roll or chill belt. From the flash chamber the hot, dried mix is extruded onto the chill roll or chill belt. The chill belt or chill roll provides a uniform, thin, cool (85-95 °F, 29-35 °C) product in flake or chip form. Typical moisture for the flake is 1-10%, preferably about 2-4.5%. The ways to regulate the moisture, in the order of preference, are (1) increasing or decreasing steam pressure on the heat 20 exchanger; (2) increasing or decreasing crutcher mix rate to the heat exchanger; and (3) increasing or decreasing crutcher mix temperature to the heat exchanger [21, 56].
Amalgamating
The flakes are weighed and mixed in a batch amalgamator to obtain uniform flake size. Preweighed perfume is added to the flakes and mixed in the amalgamator to obtain the desired finished product
perfume level. The perfumed flakes are transferred to the mix hopper or directly to the plodder.
Milling (Optional) The 3-roll soap mills are set up with the first roll at 1 20 ° F (49 ° C) and the other two mills at about 44 °F(7°C). The material is passed through the mills several times to provide a homogeneous mixture of perfume and dried flakes.
Plodding and Stamping
The plodder is set up with the barrel temperature at about 125°F (52 °C) and the nose temperature at 120°F (49 °C). The ideal plodder is a dual stage plodder that allows use of a vacuum of about 50.8-84.5kPa (15-25 inches of Hg). The plugs should be cut in 127 mm (5") sections and stamped with a cold die block using die liquor such as alcohol, if appropriate.
Evaluation Methods
To variation in characteristics of the raw materials, like fatty chain length distribution or moisture, and environmental factors, such as different ambient conditions in the factory or different storage conditions, either of which will result in variation in the moisture level and temperature of the product as it enters the extrusion operation. The most practical hardness characterization methods for cleansing bars in the factory environment involve indentation or penetration experiments using a needle, cone, or wire [4, 50].
The manufacturers of these devices may refer to the measurement as a hardness test, or a measure of yield stress or consistency. We will define these terms more rigorously in the next section. Consider a penetration experiment, in which a cone is driven into a soap sample by its weight, and the movement of the cone is arrested by the resistance of the soap. Penetration eventually stops when enough of the cone has entered the soap so that the material resistance to deformation balances the load. The penetration depth serves as a measure of product softness. Alternatively stated, a force balance when the cone penetration stops can be used to determine the hardness [57, 58].
Soaps and syndet bars serve essential roles in personal care, hygiene, and household cleaning, with syndet bars offering a gentler alternative, particularly for individuals with sensitive skin or specific dermatological concerns. In recent years, the soap and syndet bar industry has seen several innovations aimed at enhancing product effectiveness, sustainability, and user experience. Many soaps and syndet bar manufacturers are incorporating natural and organic ingredients such as botanical extracts, essential oils, and plant-based surfactants. These ingredients offer skin-friendly benefits and appeal to consumers seeking more environmentally friendly and sustainable products. Companies are developing specialized formulations to address specific skin concerns, such as dryness, sensitivity, acne, and aging. These formulations may include added moisturizers, antioxidants, vitamins, and soothing agents to target particular skin needs. Syndet bars formulated with pH-balanced surfactants help maintain the skin's natural pH, which is important for skin health and preventing irritation. These bars are particularly beneficial for individuals with sensitive skin or dermatological conditions. Some soap and syndet bar formulations incorporate gentle exfoliating ingredients like jojoba beads, oatmeal, or fruit enzymes to help remove dead skin cells and promote smoother, healthier-looking skin.
Nil
Availability of data and material
Not Applicatble.
The authors declare no conflict of interests.
No acknowledgments
No animal or human subjects were used during the preparation of this manuscript.
No
Clearly Auctoresonline and particularly Psychology and Mental Health Care Journal is dedicated to improving health care services for individuals and populations. The editorial boards' ability to efficiently recognize and share the global importance of health literacy with a variety of stakeholders. Auctoresonline publishing platform can be used to facilitate of optimal client-based services and should be added to health care professionals' repertoire of evidence-based health care resources.
Journal of Clinical Cardiology and Cardiovascular Intervention The submission and review process was adequate. However I think that the publication total value should have been enlightened in early fases. Thank you for all.
Journal of Women Health Care and Issues By the present mail, I want to say thank to you and tour colleagues for facilitating my published article. Specially thank you for the peer review process, support from the editorial office. I appreciate positively the quality of your journal.
Journal of Clinical Research and Reports I would be very delighted to submit my testimonial regarding the reviewer board and the editorial office. The reviewer board were accurate and helpful regarding any modifications for my manuscript. And the editorial office were very helpful and supportive in contacting and monitoring with any update and offering help. It was my pleasure to contribute with your promising Journal and I am looking forward for more collaboration.
We would like to thank the Journal of Thoracic Disease and Cardiothoracic Surgery because of the services they provided us for our articles. The peer-review process was done in a very excellent time manner, and the opinions of the reviewers helped us to improve our manuscript further. The editorial office had an outstanding correspondence with us and guided us in many ways. During a hard time of the pandemic that is affecting every one of us tremendously, the editorial office helped us make everything easier for publishing scientific work. Hope for a more scientific relationship with your Journal.
The peer-review process which consisted high quality queries on the paper. I did answer six reviewers’ questions and comments before the paper was accepted. The support from the editorial office is excellent.
Journal of Neuroscience and Neurological Surgery. I had the experience of publishing a research article recently. The whole process was simple from submission to publication. The reviewers made specific and valuable recommendations and corrections that improved the quality of my publication. I strongly recommend this Journal.
Dr. Katarzyna Byczkowska My testimonial covering: "The peer review process is quick and effective. The support from the editorial office is very professional and friendly. Quality of the Clinical Cardiology and Cardiovascular Interventions is scientific and publishes ground-breaking research on cardiology that is useful for other professionals in the field.
Thank you most sincerely, with regard to the support you have given in relation to the reviewing process and the processing of my article entitled "Large Cell Neuroendocrine Carcinoma of The Prostate Gland: A Review and Update" for publication in your esteemed Journal, Journal of Cancer Research and Cellular Therapeutics". The editorial team has been very supportive.
Testimony of Journal of Clinical Otorhinolaryngology: work with your Reviews has been a educational and constructive experience. The editorial office were very helpful and supportive. It was a pleasure to contribute to your Journal.
Dr. Bernard Terkimbi Utoo, I am happy to publish my scientific work in Journal of Women Health Care and Issues (JWHCI). The manuscript submission was seamless and peer review process was top notch. I was amazed that 4 reviewers worked on the manuscript which made it a highly technical, standard and excellent quality paper. I appreciate the format and consideration for the APC as well as the speed of publication. It is my pleasure to continue with this scientific relationship with the esteem JWHCI.
This is an acknowledgment for peer reviewers, editorial board of Journal of Clinical Research and Reports. They show a lot of consideration for us as publishers for our research article “Evaluation of the different factors associated with side effects of COVID-19 vaccination on medical students, Mutah university, Al-Karak, Jordan”, in a very professional and easy way. This journal is one of outstanding medical journal.
Dear Hao Jiang, to Journal of Nutrition and Food Processing We greatly appreciate the efficient, professional and rapid processing of our paper by your team. If there is anything else we should do, please do not hesitate to let us know. On behalf of my co-authors, we would like to express our great appreciation to editor and reviewers.
As an author who has recently published in the journal "Brain and Neurological Disorders". I am delighted to provide a testimonial on the peer review process, editorial office support, and the overall quality of the journal. The peer review process at Brain and Neurological Disorders is rigorous and meticulous, ensuring that only high-quality, evidence-based research is published. The reviewers are experts in their fields, and their comments and suggestions were constructive and helped improve the quality of my manuscript. The review process was timely and efficient, with clear communication from the editorial office at each stage. The support from the editorial office was exceptional throughout the entire process. The editorial staff was responsive, professional, and always willing to help. They provided valuable guidance on formatting, structure, and ethical considerations, making the submission process seamless. Moreover, they kept me informed about the status of my manuscript and provided timely updates, which made the process less stressful. The journal Brain and Neurological Disorders is of the highest quality, with a strong focus on publishing cutting-edge research in the field of neurology. The articles published in this journal are well-researched, rigorously peer-reviewed, and written by experts in the field. The journal maintains high standards, ensuring that readers are provided with the most up-to-date and reliable information on brain and neurological disorders. In conclusion, I had a wonderful experience publishing in Brain and Neurological Disorders. The peer review process was thorough, the editorial office provided exceptional support, and the journal's quality is second to none. I would highly recommend this journal to any researcher working in the field of neurology and brain disorders.
Dear Agrippa Hilda, Journal of Neuroscience and Neurological Surgery, Editorial Coordinator, I trust this message finds you well. I want to extend my appreciation for considering my article for publication in your esteemed journal. I am pleased to provide a testimonial regarding the peer review process and the support received from your editorial office. The peer review process for my paper was carried out in a highly professional and thorough manner. The feedback and comments provided by the authors were constructive and very useful in improving the quality of the manuscript. This rigorous assessment process undoubtedly contributes to the high standards maintained by your journal.
International Journal of Clinical Case Reports and Reviews. I strongly recommend to consider submitting your work to this high-quality journal. The support and availability of the Editorial staff is outstanding and the review process was both efficient and rigorous.
Thank you very much for publishing my Research Article titled “Comparing Treatment Outcome Of Allergic Rhinitis Patients After Using Fluticasone Nasal Spray And Nasal Douching" in the Journal of Clinical Otorhinolaryngology. As Medical Professionals we are immensely benefited from study of various informative Articles and Papers published in this high quality Journal. I look forward to enriching my knowledge by regular study of the Journal and contribute my future work in the field of ENT through the Journal for use by the medical fraternity. The support from the Editorial office was excellent and very prompt. I also welcome the comments received from the readers of my Research Article.
Dear Erica Kelsey, Editorial Coordinator of Cancer Research and Cellular Therapeutics Our team is very satisfied with the processing of our paper by your journal. That was fast, efficient, rigorous, but without unnecessary complications. We appreciated the very short time between the submission of the paper and its publication on line on your site.
I am very glad to say that the peer review process is very successful and fast and support from the Editorial Office. Therefore, I would like to continue our scientific relationship for a long time. And I especially thank you for your kindly attention towards my article. Have a good day!
"We recently published an article entitled “Influence of beta-Cyclodextrins upon the Degradation of Carbofuran Derivatives under Alkaline Conditions" in the Journal of “Pesticides and Biofertilizers” to show that the cyclodextrins protect the carbamates increasing their half-life time in the presence of basic conditions This will be very helpful to understand carbofuran behaviour in the analytical, agro-environmental and food areas. We greatly appreciated the interaction with the editor and the editorial team; we were particularly well accompanied during the course of the revision process, since all various steps towards publication were short and without delay".
I would like to express my gratitude towards you process of article review and submission. I found this to be very fair and expedient. Your follow up has been excellent. I have many publications in national and international journal and your process has been one of the best so far. Keep up the great work.
We are grateful for this opportunity to provide a glowing recommendation to the Journal of Psychiatry and Psychotherapy. We found that the editorial team were very supportive, helpful, kept us abreast of timelines and over all very professional in nature. The peer review process was rigorous, efficient and constructive that really enhanced our article submission. The experience with this journal remains one of our best ever and we look forward to providing future submissions in the near future.
I am very pleased to serve as EBM of the journal, I hope many years of my experience in stem cells can help the journal from one way or another. As we know, stem cells hold great potential for regenerative medicine, which are mostly used to promote the repair response of diseased, dysfunctional or injured tissue using stem cells or their derivatives. I think Stem Cell Research and Therapeutics International is a great platform to publish and share the understanding towards the biology and translational or clinical application of stem cells.
I would like to give my testimony in the support I have got by the peer review process and to support the editorial office where they were of asset to support young author like me to be encouraged to publish their work in your respected journal and globalize and share knowledge across the globe. I really give my great gratitude to your journal and the peer review including the editorial office.
I am delighted to publish our manuscript entitled "A Perspective on Cocaine Induced Stroke - Its Mechanisms and Management" in the Journal of Neuroscience and Neurological Surgery. The peer review process, support from the editorial office, and quality of the journal are excellent. The manuscripts published are of high quality and of excellent scientific value. I recommend this journal very much to colleagues.
Dr.Tania Muñoz, My experience as researcher and author of a review article in The Journal Clinical Cardiology and Interventions has been very enriching and stimulating. The editorial team is excellent, performs its work with absolute responsibility and delivery. They are proactive, dynamic and receptive to all proposals. Supporting at all times the vast universe of authors who choose them as an option for publication. The team of review specialists, members of the editorial board, are brilliant professionals, with remarkable performance in medical research and scientific methodology. Together they form a frontline team that consolidates the JCCI as a magnificent option for the publication and review of high-level medical articles and broad collective interest. I am honored to be able to share my review article and open to receive all your comments.
“The peer review process of JPMHC is quick and effective. Authors are benefited by good and professional reviewers with huge experience in the field of psychology and mental health. The support from the editorial office is very professional. People to contact to are friendly and happy to help and assist any query authors might have. Quality of the Journal is scientific and publishes ground-breaking research on mental health that is useful for other professionals in the field”.
Dear editorial department: On behalf of our team, I hereby certify the reliability and superiority of the International Journal of Clinical Case Reports and Reviews in the peer review process, editorial support, and journal quality. Firstly, the peer review process of the International Journal of Clinical Case Reports and Reviews is rigorous, fair, transparent, fast, and of high quality. The editorial department invites experts from relevant fields as anonymous reviewers to review all submitted manuscripts. These experts have rich academic backgrounds and experience, and can accurately evaluate the academic quality, originality, and suitability of manuscripts. The editorial department is committed to ensuring the rigor of the peer review process, while also making every effort to ensure a fast review cycle to meet the needs of authors and the academic community. Secondly, the editorial team of the International Journal of Clinical Case Reports and Reviews is composed of a group of senior scholars and professionals with rich experience and professional knowledge in related fields. The editorial department is committed to assisting authors in improving their manuscripts, ensuring their academic accuracy, clarity, and completeness. Editors actively collaborate with authors, providing useful suggestions and feedback to promote the improvement and development of the manuscript. We believe that the support of the editorial department is one of the key factors in ensuring the quality of the journal. Finally, the International Journal of Clinical Case Reports and Reviews is renowned for its high- quality articles and strict academic standards. The editorial department is committed to publishing innovative and academically valuable research results to promote the development and progress of related fields. The International Journal of Clinical Case Reports and Reviews is reasonably priced and ensures excellent service and quality ratio, allowing authors to obtain high-level academic publishing opportunities in an affordable manner. I hereby solemnly declare that the International Journal of Clinical Case Reports and Reviews has a high level of credibility and superiority in terms of peer review process, editorial support, reasonable fees, and journal quality. Sincerely, Rui Tao.
Clinical Cardiology and Cardiovascular Interventions I testity the covering of the peer review process, support from the editorial office, and quality of the journal.
Clinical Cardiology and Cardiovascular Interventions, we deeply appreciate the interest shown in our work and its publication. It has been a true pleasure to collaborate with you. The peer review process, as well as the support provided by the editorial office, have been exceptional, and the quality of the journal is very high, which was a determining factor in our decision to publish with you.
The peer reviewers process is quick and effective, the supports from editorial office is excellent, the quality of journal is high. I would like to collabroate with Internatioanl journal of Clinical Case Reports and Reviews journal clinically in the future time.
Clinical Cardiology and Cardiovascular Interventions, I would like to express my sincerest gratitude for the trust placed in our team for the publication in your journal. It has been a true pleasure to collaborate with you on this project. I am pleased to inform you that both the peer review process and the attention from the editorial coordination have been excellent. Your team has worked with dedication and professionalism to ensure that your publication meets the highest standards of quality. We are confident that this collaboration will result in mutual success, and we are eager to see the fruits of this shared effort.
Dear Dr. Jessica Magne, Editorial Coordinator 0f Clinical Cardiology and Cardiovascular Interventions, I hope this message finds you well. I want to express my utmost gratitude for your excellent work and for the dedication and speed in the publication process of my article titled "Navigating Innovation: Qualitative Insights on Using Technology for Health Education in Acute Coronary Syndrome Patients." I am very satisfied with the peer review process, the support from the editorial office, and the quality of the journal. I hope we can maintain our scientific relationship in the long term.
Dear Monica Gissare, - Editorial Coordinator of Nutrition and Food Processing. ¨My testimony with you is truly professional, with a positive response regarding the follow-up of the article and its review, you took into account my qualities and the importance of the topic¨.
Dear Dr. Jessica Magne, Editorial Coordinator 0f Clinical Cardiology and Cardiovascular Interventions, The review process for the article “The Handling of Anti-aggregants and Anticoagulants in the Oncologic Heart Patient Submitted to Surgery” was extremely rigorous and detailed. From the initial submission to the final acceptance, the editorial team at the “Journal of Clinical Cardiology and Cardiovascular Interventions” demonstrated a high level of professionalism and dedication. The reviewers provided constructive and detailed feedback, which was essential for improving the quality of our work. Communication was always clear and efficient, ensuring that all our questions were promptly addressed. The quality of the “Journal of Clinical Cardiology and Cardiovascular Interventions” is undeniable. It is a peer-reviewed, open-access publication dedicated exclusively to disseminating high-quality research in the field of clinical cardiology and cardiovascular interventions. The journal's impact factor is currently under evaluation, and it is indexed in reputable databases, which further reinforces its credibility and relevance in the scientific field. I highly recommend this journal to researchers looking for a reputable platform to publish their studies.
Dear Editorial Coordinator of the Journal of Nutrition and Food Processing! "I would like to thank the Journal of Nutrition and Food Processing for including and publishing my article. The peer review process was very quick, movement and precise. The Editorial Board has done an extremely conscientious job with much help, valuable comments and advices. I find the journal very valuable from a professional point of view, thank you very much for allowing me to be part of it and I would like to participate in the future!”
Dealing with The Journal of Neurology and Neurological Surgery was very smooth and comprehensive. The office staff took time to address my needs and the response from editors and the office was prompt and fair. I certainly hope to publish with this journal again.Their professionalism is apparent and more than satisfactory. Susan Weiner
My Testimonial Covering as fellowing: Lin-Show Chin. The peer reviewers process is quick and effective, the supports from editorial office is excellent, the quality of journal is high. I would like to collabroate with Internatioanl journal of Clinical Case Reports and Reviews.
My experience publishing in Psychology and Mental Health Care was exceptional. The peer review process was rigorous and constructive, with reviewers providing valuable insights that helped enhance the quality of our work. The editorial team was highly supportive and responsive, making the submission process smooth and efficient. The journal's commitment to high standards and academic rigor makes it a respected platform for quality research. I am grateful for the opportunity to publish in such a reputable journal.
My experience publishing in International Journal of Clinical Case Reports and Reviews was exceptional. I Come forth to Provide a Testimonial Covering the Peer Review Process and the editorial office for the Professional and Impartial Evaluation of the Manuscript.
I would like to offer my testimony in the support. I have received through the peer review process and support the editorial office where they are to support young authors like me, encourage them to publish their work in your esteemed journals, and globalize and share knowledge globally. I really appreciate your journal, peer review, and editorial office.
Dear Agrippa Hilda- Editorial Coordinator of Journal of Neuroscience and Neurological Surgery, "The peer review process was very quick and of high quality, which can also be seen in the articles in the journal. The collaboration with the editorial office was very good."
I would like to express my sincere gratitude for the support and efficiency provided by the editorial office throughout the publication process of my article, “Delayed Vulvar Metastases from Rectal Carcinoma: A Case Report.” I greatly appreciate the assistance and guidance I received from your team, which made the entire process smooth and efficient. The peer review process was thorough and constructive, contributing to the overall quality of the final article. I am very grateful for the high level of professionalism and commitment shown by the editorial staff, and I look forward to maintaining a long-term collaboration with the International Journal of Clinical Case Reports and Reviews.
To Dear Erin Aust, I would like to express my heartfelt appreciation for the opportunity to have my work published in this esteemed journal. The entire publication process was smooth and well-organized, and I am extremely satisfied with the final result. The Editorial Team demonstrated the utmost professionalism, providing prompt and insightful feedback throughout the review process. Their clear communication and constructive suggestions were invaluable in enhancing my manuscript, and their meticulous attention to detail and dedication to quality are truly commendable. Additionally, the support from the Editorial Office was exceptional. From the initial submission to the final publication, I was guided through every step of the process with great care and professionalism. The team's responsiveness and assistance made the entire experience both easy and stress-free. I am also deeply impressed by the quality and reputation of the journal. It is an honor to have my research featured in such a respected publication, and I am confident that it will make a meaningful contribution to the field.
"I am grateful for the opportunity of contributing to [International Journal of Clinical Case Reports and Reviews] and for the rigorous review process that enhances the quality of research published in your esteemed journal. I sincerely appreciate the time and effort of your team who have dedicatedly helped me in improvising changes and modifying my manuscript. The insightful comments and constructive feedback provided have been invaluable in refining and strengthening my work".
I thank the ‘Journal of Clinical Research and Reports’ for accepting this article for publication. This is a rigorously peer reviewed journal which is on all major global scientific data bases. I note the review process was prompt, thorough and professionally critical. It gave us an insight into a number of important scientific/statistical issues. The review prompted us to review the relevant literature again and look at the limitations of the study. The peer reviewers were open, clear in the instructions and the editorial team was very prompt in their communication. This journal certainly publishes quality research articles. I would recommend the journal for any future publications.
Dear Jessica Magne, with gratitude for the joint work. Fast process of receiving and processing the submitted scientific materials in “Clinical Cardiology and Cardiovascular Interventions”. High level of competence of the editors with clear and correct recommendations and ideas for enriching the article.
We found the peer review process quick and positive in its input. The support from the editorial officer has been very agile, always with the intention of improving the article and taking into account our subsequent corrections.
My article, titled 'No Way Out of the Smartphone Epidemic Without Considering the Insights of Brain Research,' has been republished in the International Journal of Clinical Case Reports and Reviews. The review process was seamless and professional, with the editors being both friendly and supportive. I am deeply grateful for their efforts.
To Dear Erin Aust – Editorial Coordinator of Journal of General Medicine and Clinical Practice! I declare that I am absolutely satisfied with your work carried out with great competence in following the manuscript during the various stages from its receipt, during the revision process to the final acceptance for publication. Thank Prof. Elvira Farina
Dear Jessica, and the super professional team of the ‘Clinical Cardiology and Cardiovascular Interventions’ I am sincerely grateful to the coordinated work of the journal team for the no problem with the submission of my manuscript: “Cardiometabolic Disorders in A Pregnant Woman with Severe Preeclampsia on the Background of Morbid Obesity (Case Report).” The review process by 5 experts was fast, and the comments were professional, which made it more specific and academic, and the process of publication and presentation of the article was excellent. I recommend that my colleagues publish articles in this journal, and I am interested in further scientific cooperation. Sincerely and best wishes, Dr. Oleg Golyanovskiy.
Dear Ashley Rosa, Editorial Coordinator of the journal - Psychology and Mental Health Care. " The process of obtaining publication of my article in the Psychology and Mental Health Journal was positive in all areas. The peer review process resulted in a number of valuable comments, the editorial process was collaborative and timely, and the quality of this journal has been quickly noticed, resulting in alternative journals contacting me to publish with them." Warm regards, Susan Anne Smith, PhD. Australian Breastfeeding Association.
Dear Jessica Magne, Editorial Coordinator, Clinical Cardiology and Cardiovascular Interventions, Auctores Publishing LLC. I appreciate the journal (JCCI) editorial office support, the entire team leads were always ready to help, not only on technical front but also on thorough process. Also, I should thank dear reviewers’ attention to detail and creative approach to teach me and bring new insights by their comments. Surely, more discussions and introduction of other hemodynamic devices would provide better prevention and management of shock states. Your efforts and dedication in presenting educational materials in this journal are commendable. Best wishes from, Farahnaz Fallahian.
Dear Maria Emerson, Editorial Coordinator, International Journal of Clinical Case Reports and Reviews, Auctores Publishing LLC. I am delighted to have published our manuscript, "Acute Colonic Pseudo-Obstruction (ACPO): A rare but serious complication following caesarean section." I want to thank the editorial team, especially Maria Emerson, for their prompt review of the manuscript, quick responses to queries, and overall support. Yours sincerely Dr. Victor Olagundoye.
Dear Ashley Rosa, Editorial Coordinator, International Journal of Clinical Case Reports and Reviews. Many thanks for publishing this manuscript after I lost confidence the editors were most helpful, more than other journals Best wishes from, Susan Anne Smith, PhD. Australian Breastfeeding Association.
Dear Agrippa Hilda, Editorial Coordinator, Journal of Neuroscience and Neurological Surgery. The entire process including article submission, review, revision, and publication was extremely easy. The journal editor was prompt and helpful, and the reviewers contributed to the quality of the paper. Thank you so much! Eric Nussbaum, MD
Dr Hala Al Shaikh This is to acknowledge that the peer review process for the article ’ A Novel Gnrh1 Gene Mutation in Four Omani Male Siblings, Presentation and Management ’ sent to the International Journal of Clinical Case Reports and Reviews was quick and smooth. The editorial office was prompt with easy communication.
Dear Erin Aust, Editorial Coordinator, Journal of General Medicine and Clinical Practice. We are pleased to share our experience with the “Journal of General Medicine and Clinical Practice”, following the successful publication of our article. The peer review process was thorough and constructive, helping to improve the clarity and quality of the manuscript. We are especially thankful to Ms. Erin Aust, the Editorial Coordinator, for her prompt communication and continuous support throughout the process. Her professionalism ensured a smooth and efficient publication experience. The journal upholds high editorial standards, and we highly recommend it to fellow researchers seeking a credible platform for their work. Best wishes By, Dr. Rakhi Mishra.
Dear Jessica Magne, Editorial Coordinator, Clinical Cardiology and Cardiovascular Interventions, Auctores Publishing LLC. The peer review process of the journal of Clinical Cardiology and Cardiovascular Interventions was excellent and fast, as was the support of the editorial office and the quality of the journal. Kind regards Walter F. Riesen Prof. Dr. Dr. h.c. Walter F. Riesen.
Dear Ashley Rosa, Editorial Coordinator, International Journal of Clinical Case Reports and Reviews, Auctores Publishing LLC. Thank you for publishing our article, Exploring Clozapine's Efficacy in Managing Aggression: A Multiple Single-Case Study in Forensic Psychiatry in the international journal of clinical case reports and reviews. We found the peer review process very professional and efficient. The comments were constructive, and the whole process was efficient. On behalf of the co-authors, I would like to thank you for publishing this article. With regards, Dr. Jelle R. Lettinga.
Dear Clarissa Eric, Editorial Coordinator, Journal of Clinical Case Reports and Studies, I would like to express my deep admiration for the exceptional professionalism demonstrated by your journal. I am thoroughly impressed by the speed of the editorial process, the substantive and insightful reviews, and the meticulous preparation of the manuscript for publication. Additionally, I greatly appreciate the courteous and immediate responses from your editorial office to all my inquiries. Best Regards, Dariusz Ziora
Dear Chrystine Mejia, Editorial Coordinator, Journal of Neurodegeneration and Neurorehabilitation, Auctores Publishing LLC, We would like to thank the editorial team for the smooth and high-quality communication leading up to the publication of our article in the Journal of Neurodegeneration and Neurorehabilitation. The reviewers have extensive knowledge in the field, and their relevant questions helped to add value to our publication. Kind regards, Dr. Ravi Shrivastava.
Dear Clarissa Eric, Editorial Coordinator, Journal of Clinical Case Reports and Studies, Auctores Publishing LLC, USA Office: +1-(302)-520-2644. I would like to express my sincere appreciation for the efficient and professional handling of my case report by the ‘Journal of Clinical Case Reports and Studies’. The peer review process was not only fast but also highly constructive—the reviewers’ comments were clear, relevant, and greatly helped me improve the quality and clarity of my manuscript. I also received excellent support from the editorial office throughout the process. Communication was smooth and timely, and I felt well guided at every stage, from submission to publication. The overall quality and rigor of the journal are truly commendable. I am pleased to have published my work with Journal of Clinical Case Reports and Studies, and I look forward to future opportunities for collaboration. Sincerely, Aline Tollet, UCLouvain.
Dear Ms. Mayra Duenas, Editorial Coordinator, International Journal of Clinical Case Reports and Reviews. “The International Journal of Clinical Case Reports and Reviews represented the “ideal house” to share with the research community a first experience with the use of the Simeox device for speech rehabilitation. High scientific reputation and attractive website communication were first determinants for the selection of this Journal, and the following submission process exceeded expectations: fast but highly professional peer review, great support by the editorial office, elegant graphic layout. Exactly what a dynamic research team - also composed by allied professionals - needs!" From, Chiara Beccaluva, PT - Italy.
Dear Maria Emerson, Editorial Coordinator, we have deeply appreciated the professionalism demonstrated by the International Journal of Clinical Case Reports and Reviews. The reviewers have extensive knowledge of our field and have been very efficient and fast in supporting the process. I am really looking forward to further collaboration. Thanks. Best regards, Dr. Claudio Ligresti
Dear Chrystine Mejia, Editorial Coordinator, Journal of Neurodegeneration and Neurorehabilitation. “The peer review process was efficient and constructive, and the editorial office provided excellent communication and support throughout. The journal ensures scientific rigor and high editorial standards, while also offering a smooth and timely publication process. We sincerely appreciate the work of the editorial team in facilitating the dissemination of innovative approaches such as the Bonori Method.” Best regards, Dr. Matteo Bonori.
I recommend without hesitation submitting relevant papers on medical decision making to the International Journal of Clinical Case Reports and Reviews. I am very grateful to the editorial staff. Maria Emerson was a pleasure to communicate with. The time from submission to publication was an extremely short 3 weeks. The editorial staff submitted the paper to three reviewers. Two of the reviewers commented positively on the value of publishing the paper. The editorial staff quickly recognized the third reviewer’s comments as an unjust attempt to reject the paper. I revised the paper as recommended by the first two reviewers.
Dear Maria Emerson, Editorial Coordinator, Journal of Clinical Research and Reports. Thank you for publishing our case report: "Clinical Case of Effective Fetal Stem Cells Treatment in a Patient with Autism Spectrum Disorder" within the "Journal of Clinical Research and Reports" being submitted by the team of EmCell doctors from Kyiv, Ukraine. We much appreciate a professional and transparent peer-review process from Auctores. All research Doctors are so grateful to your Editorial Office and Auctores Publishing support! I amiably wish our article publication maintained a top quality of your International Scientific Journal. My best wishes for a prosperity of the Journal of Clinical Research and Reports. Hope our scientific relationship and cooperation will remain long lasting. Thank you very much indeed. Kind regards, Dr. Andriy Sinelnyk Cell Therapy Center EmCell
Dear Editorial Team, Clinical Cardiology and Cardiovascular Interventions. It was truly a rewarding experience to work with the journal “Clinical Cardiology and Cardiovascular Interventions”. The peer review process was insightful and encouraging, helping us refine our work to a higher standard. The editorial office offered exceptional support with prompt and thoughtful communication. I highly value the journal’s role in promoting scientific advancement and am honored to be part of it. Best regards, Meng-Jou Lee, MD, Department of Anesthesiology, National Taiwan University Hospital.
Dear Editorial Team, Journal-Clinical Cardiology and Cardiovascular Interventions, “Publishing my article with Clinical Cardiology and Cardiovascular Interventions has been a highly positive experience. The peer-review process was rigorous yet supportive, offering valuable feedback that strengthened my work. The editorial team demonstrated exceptional professionalism, prompt communication, and a genuine commitment to maintaining the highest scientific standards. I am very pleased with the publication quality and proud to be associated with such a reputable journal.” Warm regards, Dr. Mahmoud Kamal Moustafa Ahmed
Dear Maria Emerson, Editorial Coordinator of ‘International Journal of Clinical Case Reports and Reviews’, I appreciate the opportunity to publish my article with your journal. The editorial office provided clear communication during the submission and review process, and I found the overall experience professional and constructive. Best regards, Elena Salvatore.
Dear Mayra Duenas, Editorial Coordinator of ‘International Journal of Clinical Case Reports and Reviews Herewith I confirm an optimal peer review process and a great support of the editorial office of the present journal
Dear Editorial Team, Clinical Cardiology and Cardiovascular Interventions. I am really grateful for the peers review; their feedback gave me the opportunity to reflect on the message and impact of my work and to ameliorate the article. The editors did a great job in addition by encouraging me to continue with the process of publishing.
Dear Cecilia Lilly, Editorial Coordinator, Endocrinology and Disorders, Thank you so much for your quick response regarding reviewing and all process till publishing our manuscript entitled: Prevalence of Pre-Diabetes and its Associated Risk Factors Among Nile College Students, Sudan. Best regards, Dr Mamoun Magzoub.
International Journal of Clinical Case Reports and Reviews is a high quality journal that has a clear and concise submission process. The peer review process was comprehensive and constructive. Support from the editorial office was excellent, since the administrative staff were responsive. The journal provides a fast and timely publication timeline.
Dear Maria Emerson, Editorial Coordinator of International Journal of Clinical Case Reports and Reviews, What distinguishes International Journal of Clinical Case Report and Review is not only the scientific rigor of its publications, but the intellectual climate in which research is evaluated. The submission process is refreshingly free of unnecessary formal barriers and bureaucratic rituals that often complicate academic publishing without adding real value. The peer-review system is demanding yet constructive, guided by genuine scientific dialogue rather than hierarchical or authoritarian attitudes. Reviewers act as collaborators in improving the manuscript, not as gatekeepers imposing arbitrary standards. This journal offers a rare balance: high methodological standards combined with a respectful, transparent, and supportive editorial approach. In an era where publishing can feel more burdensome than research itself, this platform restores the original purpose of peer review — to refine ideas, not to obstruct them Prof. Perlat Kapisyzi, FCCP PULMONOLOGIST AND THORACIC IMAGING.
Dear Grace Pierce, International Journal of Clinical Case Reports and Reviews I appreciate the opportunity to review for Auctore Journal, as the overall editorial process was smooth, transparent and professionally managed. This journal maintains high scientific standards and ensures timely communications with authors, which is truly commendable. I would like to express my special thanks to editor Grace Pierce for his constant guidance, promt responses, and supportive coordination throughout the review process. I am also greatful to Eleanor Bailey from the finance department for her clear communication and efficient handling of all administrative matters. Overall, my experience with Auctore Journal has been highly positive and rewarding. Best regards, Sabita sinha
Dear Mayra Duenas, Editorial Coordinator of the journal IJCCR, I write here a little on my experience as an author submitting to the International Journal of Clinical Case Reports and Reviews (IJCCR). This was my first submission to IJCCR and my manuscript was inherently an outsider’s effort. It attempted to broadly identify and then make some sense of life’s under-appreciated mysteries. I initially had responded to a request for possible submissions. I then contacted IJCCR with a tentative topic for a manuscript. They quickly got back with an approval for the submission, but with a particular requirement that it be medically relevant. I then put together a manuscript and submitted it. After the usual back-and-forth over forms and formality, the manuscript was sent off for reviews. Within 2 weeks I got back 4 reviews which were both helpful and also surprising. Surprising in that the topic was somewhat foreign to medical literature. My subsequent updates in response to the reviewer comments went smoothly and in short order I had a series of proofs to evaluate. All in all, the whole publication process seemed outstanding. It was both helpful in terms of the paper’s content and also in terms of its efficient and friendly communications. Thank you all very much. Sincerely, Ted Christopher, Rochester, NY.