AUCTORES
Globalize your Research
Research Article | DOI: https://doi.org/10.31579/2693-4779/006
1* School of Science, Hubei University of Technology, Wuhan, Hubei, China.
2 ELIDAN genome SAS, 1 avenue du Lycée, Montereau Fault Yonne, France. ELIDAN Dynamic LLC, Tampa, Florida, USA. ExCELab Co. Ltd., Environmental Biotechnology Department, Kingston, Jamaica.
*Corresponding Author: Bin Zhao, School of Science, Hubei University of Technology, Wuhan, Hubei, China.
Citation: Zhaoxuan Wang, Zhiyu Yu, Changlin Tian, Cruz-Rodriguez L, Sanchez Batista L and Bin Zhao, Clinical Research and Clinical Trials. 2(1); DOI:10.31579/2693-4779/006
Copyright: © 2020 Bin Zhao, This is an open-access article distributed under the terms of the Creative Commons Attribution License, which permits unrestricted use, distribution, and reproduction in any medium, provided the original author and source are credited.
Received: 29 June 2020 | Accepted: 15 July 2020 | Published: 30 July 2020
Keywords: COVID-19; pneumonia; virus; coronary; differential equation; infectious disease model
Background: An infectious disease caused by a novel coronavirus called COVID-19 has raged across the world since December 2019. The novel coronavirus first appeared in Wuhan, China, and quickly spread to Asia and now many countries around the world are affected by the epidemic. The deaths of many patients, including medical staff, caused social panic, media attention, and high attention from governments and world organizations. Today, with the joint efforts of the government, the doctors and all walks of life, the epidemic in Hubei Province has been brought under control, preventing its spread from affecting the lives of the people. Because of its rapid spread and serious consequences, this sudden novel coronary pneumonia epidemic has become an important social hot spot event. Through the analysis of the novel coronary pneumonia epidemic situation, we can also have a better understanding of sudden infectious diseases in the future, so that we can take more effective response measures, establish a truly predictable and provide reliable and sufficient information for prevention and control model.
Methods: We establish different models according to the different developments of the epidemic situation, different time points, and different response measures taken by the government. To be specific, during the period of 2020.1.23-2020.2.7, the traditional SIR model is adopted; during the period of 2020.2.8-2020.3.30, according to the scientific research results, it was considered that the novel coronary pneumonia has a latent period, so in the later phase of epidemic development, the government has effectively isolated patients, thus we adopt the SEIQR model accordingly. During the period of 2020.3.31-2020.5.16, because more asymptomatic infected people were found, we use the SEIQLR model to fit. Finally, through a SEIR simulator, considering the susceptible number, the latent number, the infected number, the cured number, death number and other factors, we simulate the change of various numbers of people from the beginning to the next 180 days of novel coronary pneumonia.
Findings: The results based on the analysis of differential equations and kinetic models show that through the prediction of the model established in the first phase, the epidemic situation of novel coronary pneumonia in Hubei Province was controlled at the end of March, which is in line with the actual situation. The rest of Hubei province, except for Wuhan, lifted control of the departure channel from 0:00 am on March 25, and Wuhan was also unblocked on April 8. Through the establishment of the second-phase model, it is found that the epidemic situation will reach its peak in mid-February. For example, the quarantine admission of the hospital declined after mid-February, which is inseparable from the measures to build square cabin hospitals in early February so that more and more patients can be admitted. The model established in the third phase shows that the epidemic had been completely controlled by the end of May, which is also in line with the reality. Because in mid-May, the Wuhan government conducted a nucleic acid test on all the citizens to screen for asymptomatic infected persons to fundamentally control the spread of novel coronary pneumonia.
Interpretation: Hubei Province, as the center of the initial outbreak of novel coronary pneumonia, people were forced to be isolated at home during the Spring Festival, the most important Chinese holiday, and the whole society was in a state of suspension of work and study. The Chinese government had taken many measures in response to the epidemic, such as shutting down the city, vigorously building square cabin hospitals, and prohibiting people from gathering. At the beginning of May this year, the epidemic in Hubei Province was finally effectively controlled. For ordinary citizens, we should not cause unnecessary panic about the unknown novel coronavirus. Instead, we should fully understand and be familiar with this virus. In addition to the relevant medical knowledge, we should also understand the spread of infectious diseases through appropriate mathematical models. By mathematical models, we can understand the degree of harm of infectious diseases, when to control it, how to stop it, and use scientific views to reveal the original face of the novel coronavirus to the public without causing social panic.
The coronavirus disease 2019 (COVID-19) was first reported in December 2019 in Wuhan, China. It quickly spread to other districts in the country, and a month later, to other countries across the world, impacting over 200 countries and territories.1 On March 11, 2020, Tedros, the Director General of the World Health Organization, announced that, based on an assessment, the World Health Organization believes that the current novel coronary pneumonia could be described as a global pandemic2. COVID-19 is a highly contagious respiratory infection caused by a coronavirus that is transmitted primarily through close airborne droplets and contact with a patient's respiratory secretions and close contact, and may also be transmitted through droplet contaminants from a patient (e.g., through hands, clothing, food, water, or the environment). The incubation period of most patients is within 7 days. Common clinical symptoms of COVID-19 patients include: fever, respiratory symptoms, fatigue, normal or decreased peripheral blood lymphocyte count, and multiple bilateral flaky glass cups around the two lungs in computed tomography (CT) results turbid3. Although the exact source of COVID-19 is still unknown, patients with COVID-19 are by far the most certain source of infection.
As of June 26, 2020, it has been reported that the cumulative number of confirmed cases of COVID-19 in the world has reached 9,690,148, and the cumulative deaths have reached 488,9714. At this time, there are 68,135 cumulative confirmed cases of COVID-19 and 4,512 cumulative deaths in Hubei Province, China5. The outbreak of COVID-19 has had a great impact on people's lives and the development of the national economy.
From March to the present, novel coronary pneumonia has been basically controlled in China. The normal life of the people and the economy affected by the epidemic are recovering.
However, in many areas except China, the epidemic situation is still very serious, and the number of infected people is still high. We analyze Hubei Province, the initial epidemic center of the new outbreak of pneumonia, and combine with the actual situation in Hubei Province, using different models to provide the world with valuable experience and effective measures in the fight against the epidemic.
In view of the fact that the Chinese government had adopted different policies over time during the fight against the novel coronavirus. When we are modeling, we use different models at different time periods to more effectively conform to the development trend of the epidemic and to respond to changes brought about by policies. Then we use a software that could simulate the spread of novel coronavirus, in order to find a result in a theoretical circumstance.
Data
The data in this paper on Hubei Province are from authoritative data published by the Hubei Provincial Health Planning Commission on its official platform from January 23, 2020 to May 16, 20206. Data include cumulative diagnosed cases, cumulative deaths, cumulative cures, suspected cases, and asymptomatic infections, etc., and get Hubei Province's 2019 total population from official sources7.
The data we collect is very large, so we must process and analyze the large amount of data collected. The approach is to use Excel to determine the data categories, and then we use MATLAB to further optimize the parameters so that we can effectively use these data to gain the results. The specific operation is: according to the known data, filter the data and through basic operations in Excel to get the data we actually need. Then bring these data into MATLAB to calculate, get the optimized parameter value through fmincon function.
Based on the characteristics of novel coronary pneumonia transmission, we use differential equations to establish dynamic infectious disease models and analyze the whole process in three time periods, depending on the time of transmission and the studies published by scientists on novel coronary pneumonia epidemics at different times.
Taking January 23, 2020 to February 7, 2020 as the first phase, the SIR model8,9is established. Because it was in the early phase of the outbreak of novel coronary pneumonia, research in all aspects was not enough, and did not realize that novel coronary pneumonia had an incubation period and asymptomatic infection. Therefore, the data selected are the daily number of confirmed diagnoses, the cumulative number of deaths, and the cumulative number of cures.
Taking February 8, 2020 to March 30, 2020 as the second phase, the SEIQR model10, 11 is established. According to the data, the suspected case was released for the first time on February 8, and with the control of the state, most of the diagnosed patients were able to receive effective isolation measures and treatment. Therefore, we take into account the patients in the incubation period and the quarantined patients, that is, we select the daily number of confirmed diagnoses, cumulative deaths, cumulative cures, centralized isolation, and suspected numbers.
Taking March 31, 2020 to May 16, 2020 as the third phase, the SEIQLR model12, 13 is established. According to the data on March 31, the official released information for asymptomatic people for the first time. Therefore, we also consider asymptomatic infections, that is, we select the daily number of confirmed diagnoses, cumulative deaths, cumulative cures, centralized isolation, suspected number, and daily number of asymptomatic infections.
Based on the known data, we set the 2019 population of Hubei Province as N. Then we divide the population of Hubei Province into six categories. Among them, people who are not infected with the novel coronavirus are classified as S(t), the daily number of suspects is classified as E(t), and the daily number of diagnoses that exist daily is classified as I(t), those who are quarantined after diagnoses are classified as Q(t), asymptomatic infected people are classified as the latent, that is L(t), and cumulatively cured and died patients are classified as R(t).
Therefore, we make the following assumptions.
The population is evenly distributed.
The cured people will be permanently immune to the virus and will not be re-infected.
The quarantined and the diagnosed have the same infectious power.
The latent patients, the diagnosed, and the suspected have different infectious power.
For the SEIQLR model, we set specific definitions for the six categories of people as shown in Table 1 below.

Table 1: Classification and definition of population under transmission of COVID-19
However, not all data for the above six categories are directly available, and some require a merging operation of known data. Specifically, for the susceptible (S), we need to subtract all the people infected with the virus from the total population N. For the infectious (I), we need to subtract the number of people quarantined (Q) and the number of people who are exposed to the virus (E) from the number of people diagnosed. And for the removal (R), we need to add up the number of people cured and the number of people who have died because of the COVID-19.

For all the mathematical symbols mentioned above, the explanations are shown in Table 2. In the analysis of the epidemic in Hubei Province, different models are used depending on the time period. Figure 1, 2 and 3 that shown above, represent the schematics of the SIR, SEIQR, and SEIQLR models, respectively. Figure 4 that shown below, represent the resume of Fig.1, 2, 3

Figure 4: Resume of Fig.1, 2, 3

Table 2: Mathematical symbols used in SEIQLR model
For the SIR model, assuming that the total number of people is N, the proportions of healthy people, patients, and removals in the total number of people are classified as S(t), I(t), and R(t), respectively. Then it is obvious that S(t) + R(t) + I(t) = N holds. The natural birth rate and mortality of the population are not considered during the epidemic.
It is assumed that the number of effective contacts per patient per day is β, which is called the contagion rate, and when a healthy person is effectively contacted by the patient, he will be immediately infected and become ill. Assuming that the number of health people effectively
Exposed per patient per day is βS(t), the number of health people exposed per day for all patients I(t) is βS(t)I(t), these healthy individuals are immediately infected. Monotonic reduction in S(t) based on the assumption that the contagion rate is β. Among patients, the rate of diagnosed case transfer per day is ν, where ν = 1. Patients are transferred to inpatient care with a removal rate of α, where α includes cure rates and mortality, i.e., the number of daily removals is ανI(t)13, 14.
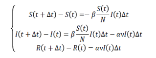
We establish the transformation relationship through the micro-method, thus we can get the following equation set.

When Δt→0, the model can be described by set of kinetic equation15 (ODEs), and the final differential equation set of the SIR model is obtained as follows.


Taking the same approach, we can obtain that the SEIQR model differential equation set.

The SEIQLR model differential equation set.

After establishing the equation sets, we need to solve the three parameters

of contagion rate β, removal rate for quarantine α and removal rate for the latent η through MATLAB, and use the built-in function fmincon to optimize the values of these three parameters to get more accurate values. The remaining parameters are given in advance by the parameter estimation method.

With a software that simulates the SEIR model16, we create a closed environment (Small World) to study the process of transmission of infectious diseases. Among the parameters we set are the total population, the number of initial diagnoses, etc. The detailed parameter settings are shown in Tables 3, 4, and 5 below.

Table 3: Parameter settings of various types of personnel in the SEIR simulation

Table 4: Parameter setting of natural propagation in the SEIRsimulation

Table 5: Parameter settings of human intervention in the SEIRsimulation
The model used here is the SEIHD model, which is the equivalent of the SEIR model. Because (H) and (D) here represent the number of people cured and the number of people who died from the disease, respectively, adding these two together gives (R). To study infectious diseases for the long-term effects on society, we set the number of simulation days to 180, which is about six months.
The result of SIR-based method in Phase 1
In MATLAB, optimization of the parameters by the fmincon function17 yields α = 0.08, β = 0.5 For the first phase. By fitting the curves, we can see from Figure 5 that in the first phase the curves fit perfectly to the observed values.

As can be seen in Figure 5, the fitted values are in perfect agreement with the actual values, and the predicted values are also close to the actual situation. In early April the epidemic will be largely contained, and indeed it is. In many areas of Hubei province, there were no new confirmed cases on a single day, and the blockade was lifted in early April.
The second phase parameter sizes are obtained after parameter optimization by the fmincon function, where α = 0.025 and β = 0.1. In Figure 6, 7 and 8 we can see the relationship between the observed and predicted values.

Figure 6: Result of curve fitting for the exposed E(t) in Phase 2 (2020.2.8 - 2020.3.30)

Figure 7: Result of curve fitting for the quarantined Q(t) in Phase 2 (2020.2.8 - 2020.3.30)

Figure8: Result of curve fitting for the Removal R(t) in Phase 2 (2020.2.8 - 2020.3.30)
From the fitted values in Figures 6, 7, and 8, it can be seen that the largest number of the quarantined patients in Hubei Province was in mid-February, which corresponds to the actual opening of the square cabin hospital in early February and the vigorous construction of new isolation sites. This alleviated the initial novel coronary pneumonia outbreak that could not accommodate all patients due to insufficient medical resources. After that, the number of suspects gradually decreased, and the number of removals continued to rise. This shows that with the implementation of the policy, the situation in Hubei Province was getting better. On the other hand, we can see that in Figure 7, due to the surge of initial data, the fitted curve has a large deviation. This also shows that some unexpected situations in reality cannot be effectively reflected in the mathematical model.
Optimization of the parameters by the fmincon function yields third stage α = 0.13, β = 0.21, η= 0.04. With Figures 9, 19, and 11 we can see the relationship between the observed and predicted values.

Figure 9: Result of curve fitting for the susceptible S(t) in Phase 3 (2020.3.31-2020.5.16)

Figure10: Result of curve fitting for the quarantined Q(t) in Phase 3 (2020.3.31-2020.5.16)

Figure 11: Result of curve fitting for the removal R(t) in Phase 3 (2020.3.31-2020.5.16)
It can be seen from Figures 9, 10, and 11 that the epidemic at the end of May has been completely controlled, which is consistent with the actual situation in Hubei Province. However, we can also see from Figures 9, 10, and 11 that the degree of curve fitting is not good. This is due to the large changes in the observed values, which caused the fitting curve to deviate.
Besides, this also fully demonstrates that the economic and productivity sacrificed by the Hubei government has paid off. In fact, most areas of Hubei gradually resumed production in April. This is due to the timely establishment of makeshift hospitals by the government and the people's active response to the government's call to isolate themselves at home and wear masks whenever they go out.
The result image is shown in Figure 6, which includes five curves representing S, E, I, H, and
D. The meanings of the letters are indicated in Table 3, which has been shown already.

Figure 5: Result of SEIR simulation
We use the values of the parameters given in Tables 3, 4 and 5 to obtain the image shown above. It is evident from the image that COVID-19 has a significant impact on a society that has not implemented comprehensive and stringent measures. This impact is demonstrated not only by the fact that more than 80 percent of the population is infected with the novel coronavirus, but more importantly by the hundreds of thousands of deaths. Even though this is a virtual environment and there are many unknowns in real life, it can be used as a guide to reality through simulation. Therefore, in order to effectively combat the novel coronavirus, it is necessary to strengthen social control measures and medical means.
As can be seen from the above, we use two different software to analyze the data, namely MATLAB and SEIR simulator. In comparison, MATLAB is more powerful, it can improve differential equations according to our needs, but it is relatively complicated in parameter setting and image drawing; SEIR simulator is more convenient: only need to set a few parameters to generate image, but there are certain limitations in the optimization of the equation. And we combine the above two cases to achieve a more accurate purpose.
In addition, we have established three different models based on different phases, namely the SIR model, the SEIQR model and the SEIQLR model, which are gradually improved in order to better fit the actual situation of the epidemic.
It can be seen from the results that the degree of fitting curve is different using different models. Although we considered more factors in Phase 2 and Phase 3, the curve fitting effect is not ideal. This may be because what happened in reality is accidental, and these phenomena cannot be explained by traditional mathematical models.
On the other hand, the factors taken into account do not accurately reflect reality. However, in general, the three models we establish can effectively reflect the trends in reality.
In summary, the traditional mathematical model cannot effectively explain reality to a certain extent, but this is not to deny the value of the traditional mathematical model. Although the SEIQLR model we establish does not work well in curve fitting, it takes into account more factors than the SIR model, and there are more influential factors in reality.
Therefore, for such an event that contains many factors, we should consider using the improved traditional model, such as the SEIQLR model, or use more advanced methods, such as time series analysis, neural networks, etc.
Novel coronavirus pneumonia is influenced by many factors, but we use a time-phased approach and establish different models for different time periods. In the case of COVID-19, an unprecedented malignant epidemic, inexperience in the early phase of the epidemic made it difficult to make sound judgments.
Therefore, we initially establish the SIR model based on official published data and previous information on infectious disease models. Over time, latent patients with novel coronavirus were also counted in the data, and government control was further increased with vigorous efforts to isolate and treat patients, so we establish the SEIQR model.
When various experiences became more available, studies found that novel coronary pneumonia had asymptomatic infections, thus we establish the SEIQLR model. This approach to modeling provides a better simulation of the actual situation. Finally, we obtain the transmission of novel coronary pneumonia from the initial phase to 180 days afterwards by setting the relevant parameters in a closed environment through the SEIR simulator, which will also give us some reference value in the process of combating novel coronary pneumonia18.
Our model of infectious disease which is established by differential equation has a wide range of operating prospect, except for infectious disease itself (e.g. COVID-19 and SARS) of the prediction, prevention and control, there are a lot of social behaviors and incidents in our life follow the rule similar to the model of the spread of infectious disease.
The infectious disease model can be widely used in the diffusion of innovation, the network public opinion spread, the spread of financial risk, and other areas of the social science research19, 20.
The diffusion process of management accounting matters, which is shown in the Table 6 and Figure 12 below, clearly uses the SIR model for analysis21.

Table 6: Management accounting practice diffusion system and infectious disease model

Figure 12: Process of management accounting matters
We can see from Figure 12 that the conversion relationship between neutrals, opponents and supporters can also be described by the SIR model, but there are some differences from the SIR model of infectious diseases. For instance, a neutral person (S) can directly become an opponent (R), but in an infectious disease, a susceptible person (S) must be transformed from an infected person (I) to a removal (R).
When we establish the models, we do not consider the impact of natural birth and mortality on the whole. Because there is a lack of data on the mobile population and on infections among the mobile population, we ignore the impact of population movement between provinces and districts on the epidemic in the pre-blockade period in Hubei Province.
The model we have established is only for Hubei province, but it is actually worth discussing at the national level, and the spread of the novel coronavirus to rural and pastoral areas. In addition, for modeling, how to group the total population and characterize random phenomena, and how to study the stratification of population subgroups that affect the predictive control mechanisms of infectious diseases based on epidemiological characteristics such as age, behavior, geographic distribution, and mobility. The models established are influenced by many factors such as differences between patient infectiousness, individual susceptibility, and differences in morbidity between local districts, differences in intensity of prevention and control in different regions, and errors in statistical data22.
We can also see from the resulting images that as the complexity of the model increases, the fit does not improve correspondingly, and even the fit is worse than the simple model. This is not only because of the discrepancy between reality and theory, but more importantly because the factors taken into account in differential equations do not necessarily reflect reality effectively23.
This also tells us that theoretical mathematical models alone are not enough if we want to better reflect reality, because there are many unknown factors in reality that mathematical models cannot accurately represent.
Conflict of interest
We have no conflict of interests to disclose and the manuscript has been read and approved by all named authors.
This work was supported by the Philosophical and Social Sciences Research Project of Hubei Education Department (19Y049), and the Staring Research Foundation for the Ph.D. of Hubei University of Technology (BSQD2019054), Hubei Province, China.
Clearly Auctoresonline and particularly Psychology and Mental Health Care Journal is dedicated to improving health care services for individuals and populations. The editorial boards' ability to efficiently recognize and share the global importance of health literacy with a variety of stakeholders. Auctoresonline publishing platform can be used to facilitate of optimal client-based services and should be added to health care professionals' repertoire of evidence-based health care resources.
Journal of Clinical Cardiology and Cardiovascular Intervention The submission and review process was adequate. However I think that the publication total value should have been enlightened in early fases. Thank you for all.
Journal of Women Health Care and Issues By the present mail, I want to say thank to you and tour colleagues for facilitating my published article. Specially thank you for the peer review process, support from the editorial office. I appreciate positively the quality of your journal.
Journal of Clinical Research and Reports I would be very delighted to submit my testimonial regarding the reviewer board and the editorial office. The reviewer board were accurate and helpful regarding any modifications for my manuscript. And the editorial office were very helpful and supportive in contacting and monitoring with any update and offering help. It was my pleasure to contribute with your promising Journal and I am looking forward for more collaboration.
We would like to thank the Journal of Thoracic Disease and Cardiothoracic Surgery because of the services they provided us for our articles. The peer-review process was done in a very excellent time manner, and the opinions of the reviewers helped us to improve our manuscript further. The editorial office had an outstanding correspondence with us and guided us in many ways. During a hard time of the pandemic that is affecting every one of us tremendously, the editorial office helped us make everything easier for publishing scientific work. Hope for a more scientific relationship with your Journal.
The peer-review process which consisted high quality queries on the paper. I did answer six reviewers’ questions and comments before the paper was accepted. The support from the editorial office is excellent.
Journal of Neuroscience and Neurological Surgery. I had the experience of publishing a research article recently. The whole process was simple from submission to publication. The reviewers made specific and valuable recommendations and corrections that improved the quality of my publication. I strongly recommend this Journal.
Dr. Katarzyna Byczkowska My testimonial covering: "The peer review process is quick and effective. The support from the editorial office is very professional and friendly. Quality of the Clinical Cardiology and Cardiovascular Interventions is scientific and publishes ground-breaking research on cardiology that is useful for other professionals in the field.
Thank you most sincerely, with regard to the support you have given in relation to the reviewing process and the processing of my article entitled "Large Cell Neuroendocrine Carcinoma of The Prostate Gland: A Review and Update" for publication in your esteemed Journal, Journal of Cancer Research and Cellular Therapeutics". The editorial team has been very supportive.
Testimony of Journal of Clinical Otorhinolaryngology: work with your Reviews has been a educational and constructive experience. The editorial office were very helpful and supportive. It was a pleasure to contribute to your Journal.
Dr. Bernard Terkimbi Utoo, I am happy to publish my scientific work in Journal of Women Health Care and Issues (JWHCI). The manuscript submission was seamless and peer review process was top notch. I was amazed that 4 reviewers worked on the manuscript which made it a highly technical, standard and excellent quality paper. I appreciate the format and consideration for the APC as well as the speed of publication. It is my pleasure to continue with this scientific relationship with the esteem JWHCI.
This is an acknowledgment for peer reviewers, editorial board of Journal of Clinical Research and Reports. They show a lot of consideration for us as publishers for our research article “Evaluation of the different factors associated with side effects of COVID-19 vaccination on medical students, Mutah university, Al-Karak, Jordan”, in a very professional and easy way. This journal is one of outstanding medical journal.
Dear Hao Jiang, to Journal of Nutrition and Food Processing We greatly appreciate the efficient, professional and rapid processing of our paper by your team. If there is anything else we should do, please do not hesitate to let us know. On behalf of my co-authors, we would like to express our great appreciation to editor and reviewers.
As an author who has recently published in the journal "Brain and Neurological Disorders". I am delighted to provide a testimonial on the peer review process, editorial office support, and the overall quality of the journal. The peer review process at Brain and Neurological Disorders is rigorous and meticulous, ensuring that only high-quality, evidence-based research is published. The reviewers are experts in their fields, and their comments and suggestions were constructive and helped improve the quality of my manuscript. The review process was timely and efficient, with clear communication from the editorial office at each stage. The support from the editorial office was exceptional throughout the entire process. The editorial staff was responsive, professional, and always willing to help. They provided valuable guidance on formatting, structure, and ethical considerations, making the submission process seamless. Moreover, they kept me informed about the status of my manuscript and provided timely updates, which made the process less stressful. The journal Brain and Neurological Disorders is of the highest quality, with a strong focus on publishing cutting-edge research in the field of neurology. The articles published in this journal are well-researched, rigorously peer-reviewed, and written by experts in the field. The journal maintains high standards, ensuring that readers are provided with the most up-to-date and reliable information on brain and neurological disorders. In conclusion, I had a wonderful experience publishing in Brain and Neurological Disorders. The peer review process was thorough, the editorial office provided exceptional support, and the journal's quality is second to none. I would highly recommend this journal to any researcher working in the field of neurology and brain disorders.
Dear Agrippa Hilda, Journal of Neuroscience and Neurological Surgery, Editorial Coordinator, I trust this message finds you well. I want to extend my appreciation for considering my article for publication in your esteemed journal. I am pleased to provide a testimonial regarding the peer review process and the support received from your editorial office. The peer review process for my paper was carried out in a highly professional and thorough manner. The feedback and comments provided by the authors were constructive and very useful in improving the quality of the manuscript. This rigorous assessment process undoubtedly contributes to the high standards maintained by your journal.
International Journal of Clinical Case Reports and Reviews. I strongly recommend to consider submitting your work to this high-quality journal. The support and availability of the Editorial staff is outstanding and the review process was both efficient and rigorous.
Thank you very much for publishing my Research Article titled “Comparing Treatment Outcome Of Allergic Rhinitis Patients After Using Fluticasone Nasal Spray And Nasal Douching" in the Journal of Clinical Otorhinolaryngology. As Medical Professionals we are immensely benefited from study of various informative Articles and Papers published in this high quality Journal. I look forward to enriching my knowledge by regular study of the Journal and contribute my future work in the field of ENT through the Journal for use by the medical fraternity. The support from the Editorial office was excellent and very prompt. I also welcome the comments received from the readers of my Research Article.
Dear Erica Kelsey, Editorial Coordinator of Cancer Research and Cellular Therapeutics Our team is very satisfied with the processing of our paper by your journal. That was fast, efficient, rigorous, but without unnecessary complications. We appreciated the very short time between the submission of the paper and its publication on line on your site.
I am very glad to say that the peer review process is very successful and fast and support from the Editorial Office. Therefore, I would like to continue our scientific relationship for a long time. And I especially thank you for your kindly attention towards my article. Have a good day!
"We recently published an article entitled “Influence of beta-Cyclodextrins upon the Degradation of Carbofuran Derivatives under Alkaline Conditions" in the Journal of “Pesticides and Biofertilizers” to show that the cyclodextrins protect the carbamates increasing their half-life time in the presence of basic conditions This will be very helpful to understand carbofuran behaviour in the analytical, agro-environmental and food areas. We greatly appreciated the interaction with the editor and the editorial team; we were particularly well accompanied during the course of the revision process, since all various steps towards publication were short and without delay".
I would like to express my gratitude towards you process of article review and submission. I found this to be very fair and expedient. Your follow up has been excellent. I have many publications in national and international journal and your process has been one of the best so far. Keep up the great work.
We are grateful for this opportunity to provide a glowing recommendation to the Journal of Psychiatry and Psychotherapy. We found that the editorial team were very supportive, helpful, kept us abreast of timelines and over all very professional in nature. The peer review process was rigorous, efficient and constructive that really enhanced our article submission. The experience with this journal remains one of our best ever and we look forward to providing future submissions in the near future.
I am very pleased to serve as EBM of the journal, I hope many years of my experience in stem cells can help the journal from one way or another. As we know, stem cells hold great potential for regenerative medicine, which are mostly used to promote the repair response of diseased, dysfunctional or injured tissue using stem cells or their derivatives. I think Stem Cell Research and Therapeutics International is a great platform to publish and share the understanding towards the biology and translational or clinical application of stem cells.
I would like to give my testimony in the support I have got by the peer review process and to support the editorial office where they were of asset to support young author like me to be encouraged to publish their work in your respected journal and globalize and share knowledge across the globe. I really give my great gratitude to your journal and the peer review including the editorial office.
I am delighted to publish our manuscript entitled "A Perspective on Cocaine Induced Stroke - Its Mechanisms and Management" in the Journal of Neuroscience and Neurological Surgery. The peer review process, support from the editorial office, and quality of the journal are excellent. The manuscripts published are of high quality and of excellent scientific value. I recommend this journal very much to colleagues.
Dr.Tania Muñoz, My experience as researcher and author of a review article in The Journal Clinical Cardiology and Interventions has been very enriching and stimulating. The editorial team is excellent, performs its work with absolute responsibility and delivery. They are proactive, dynamic and receptive to all proposals. Supporting at all times the vast universe of authors who choose them as an option for publication. The team of review specialists, members of the editorial board, are brilliant professionals, with remarkable performance in medical research and scientific methodology. Together they form a frontline team that consolidates the JCCI as a magnificent option for the publication and review of high-level medical articles and broad collective interest. I am honored to be able to share my review article and open to receive all your comments.
“The peer review process of JPMHC is quick and effective. Authors are benefited by good and professional reviewers with huge experience in the field of psychology and mental health. The support from the editorial office is very professional. People to contact to are friendly and happy to help and assist any query authors might have. Quality of the Journal is scientific and publishes ground-breaking research on mental health that is useful for other professionals in the field”.
Dear editorial department: On behalf of our team, I hereby certify the reliability and superiority of the International Journal of Clinical Case Reports and Reviews in the peer review process, editorial support, and journal quality. Firstly, the peer review process of the International Journal of Clinical Case Reports and Reviews is rigorous, fair, transparent, fast, and of high quality. The editorial department invites experts from relevant fields as anonymous reviewers to review all submitted manuscripts. These experts have rich academic backgrounds and experience, and can accurately evaluate the academic quality, originality, and suitability of manuscripts. The editorial department is committed to ensuring the rigor of the peer review process, while also making every effort to ensure a fast review cycle to meet the needs of authors and the academic community. Secondly, the editorial team of the International Journal of Clinical Case Reports and Reviews is composed of a group of senior scholars and professionals with rich experience and professional knowledge in related fields. The editorial department is committed to assisting authors in improving their manuscripts, ensuring their academic accuracy, clarity, and completeness. Editors actively collaborate with authors, providing useful suggestions and feedback to promote the improvement and development of the manuscript. We believe that the support of the editorial department is one of the key factors in ensuring the quality of the journal. Finally, the International Journal of Clinical Case Reports and Reviews is renowned for its high- quality articles and strict academic standards. The editorial department is committed to publishing innovative and academically valuable research results to promote the development and progress of related fields. The International Journal of Clinical Case Reports and Reviews is reasonably priced and ensures excellent service and quality ratio, allowing authors to obtain high-level academic publishing opportunities in an affordable manner. I hereby solemnly declare that the International Journal of Clinical Case Reports and Reviews has a high level of credibility and superiority in terms of peer review process, editorial support, reasonable fees, and journal quality. Sincerely, Rui Tao.
Clinical Cardiology and Cardiovascular Interventions I testity the covering of the peer review process, support from the editorial office, and quality of the journal.
Clinical Cardiology and Cardiovascular Interventions, we deeply appreciate the interest shown in our work and its publication. It has been a true pleasure to collaborate with you. The peer review process, as well as the support provided by the editorial office, have been exceptional, and the quality of the journal is very high, which was a determining factor in our decision to publish with you.
The peer reviewers process is quick and effective, the supports from editorial office is excellent, the quality of journal is high. I would like to collabroate with Internatioanl journal of Clinical Case Reports and Reviews journal clinically in the future time.
Clinical Cardiology and Cardiovascular Interventions, I would like to express my sincerest gratitude for the trust placed in our team for the publication in your journal. It has been a true pleasure to collaborate with you on this project. I am pleased to inform you that both the peer review process and the attention from the editorial coordination have been excellent. Your team has worked with dedication and professionalism to ensure that your publication meets the highest standards of quality. We are confident that this collaboration will result in mutual success, and we are eager to see the fruits of this shared effort.
Dear Dr. Jessica Magne, Editorial Coordinator 0f Clinical Cardiology and Cardiovascular Interventions, I hope this message finds you well. I want to express my utmost gratitude for your excellent work and for the dedication and speed in the publication process of my article titled "Navigating Innovation: Qualitative Insights on Using Technology for Health Education in Acute Coronary Syndrome Patients." I am very satisfied with the peer review process, the support from the editorial office, and the quality of the journal. I hope we can maintain our scientific relationship in the long term.
Dear Monica Gissare, - Editorial Coordinator of Nutrition and Food Processing. ¨My testimony with you is truly professional, with a positive response regarding the follow-up of the article and its review, you took into account my qualities and the importance of the topic¨.
Dear Dr. Jessica Magne, Editorial Coordinator 0f Clinical Cardiology and Cardiovascular Interventions, The review process for the article “The Handling of Anti-aggregants and Anticoagulants in the Oncologic Heart Patient Submitted to Surgery” was extremely rigorous and detailed. From the initial submission to the final acceptance, the editorial team at the “Journal of Clinical Cardiology and Cardiovascular Interventions” demonstrated a high level of professionalism and dedication. The reviewers provided constructive and detailed feedback, which was essential for improving the quality of our work. Communication was always clear and efficient, ensuring that all our questions were promptly addressed. The quality of the “Journal of Clinical Cardiology and Cardiovascular Interventions” is undeniable. It is a peer-reviewed, open-access publication dedicated exclusively to disseminating high-quality research in the field of clinical cardiology and cardiovascular interventions. The journal's impact factor is currently under evaluation, and it is indexed in reputable databases, which further reinforces its credibility and relevance in the scientific field. I highly recommend this journal to researchers looking for a reputable platform to publish their studies.
Dear Editorial Coordinator of the Journal of Nutrition and Food Processing! "I would like to thank the Journal of Nutrition and Food Processing for including and publishing my article. The peer review process was very quick, movement and precise. The Editorial Board has done an extremely conscientious job with much help, valuable comments and advices. I find the journal very valuable from a professional point of view, thank you very much for allowing me to be part of it and I would like to participate in the future!”
Dealing with The Journal of Neurology and Neurological Surgery was very smooth and comprehensive. The office staff took time to address my needs and the response from editors and the office was prompt and fair. I certainly hope to publish with this journal again.Their professionalism is apparent and more than satisfactory. Susan Weiner
My Testimonial Covering as fellowing: Lin-Show Chin. The peer reviewers process is quick and effective, the supports from editorial office is excellent, the quality of journal is high. I would like to collabroate with Internatioanl journal of Clinical Case Reports and Reviews.
My experience publishing in Psychology and Mental Health Care was exceptional. The peer review process was rigorous and constructive, with reviewers providing valuable insights that helped enhance the quality of our work. The editorial team was highly supportive and responsive, making the submission process smooth and efficient. The journal's commitment to high standards and academic rigor makes it a respected platform for quality research. I am grateful for the opportunity to publish in such a reputable journal.
My experience publishing in International Journal of Clinical Case Reports and Reviews was exceptional. I Come forth to Provide a Testimonial Covering the Peer Review Process and the editorial office for the Professional and Impartial Evaluation of the Manuscript.
I would like to offer my testimony in the support. I have received through the peer review process and support the editorial office where they are to support young authors like me, encourage them to publish their work in your esteemed journals, and globalize and share knowledge globally. I really appreciate your journal, peer review, and editorial office.
Dear Agrippa Hilda- Editorial Coordinator of Journal of Neuroscience and Neurological Surgery, "The peer review process was very quick and of high quality, which can also be seen in the articles in the journal. The collaboration with the editorial office was very good."
I would like to express my sincere gratitude for the support and efficiency provided by the editorial office throughout the publication process of my article, “Delayed Vulvar Metastases from Rectal Carcinoma: A Case Report.” I greatly appreciate the assistance and guidance I received from your team, which made the entire process smooth and efficient. The peer review process was thorough and constructive, contributing to the overall quality of the final article. I am very grateful for the high level of professionalism and commitment shown by the editorial staff, and I look forward to maintaining a long-term collaboration with the International Journal of Clinical Case Reports and Reviews.
To Dear Erin Aust, I would like to express my heartfelt appreciation for the opportunity to have my work published in this esteemed journal. The entire publication process was smooth and well-organized, and I am extremely satisfied with the final result. The Editorial Team demonstrated the utmost professionalism, providing prompt and insightful feedback throughout the review process. Their clear communication and constructive suggestions were invaluable in enhancing my manuscript, and their meticulous attention to detail and dedication to quality are truly commendable. Additionally, the support from the Editorial Office was exceptional. From the initial submission to the final publication, I was guided through every step of the process with great care and professionalism. The team's responsiveness and assistance made the entire experience both easy and stress-free. I am also deeply impressed by the quality and reputation of the journal. It is an honor to have my research featured in such a respected publication, and I am confident that it will make a meaningful contribution to the field.
"I am grateful for the opportunity of contributing to [International Journal of Clinical Case Reports and Reviews] and for the rigorous review process that enhances the quality of research published in your esteemed journal. I sincerely appreciate the time and effort of your team who have dedicatedly helped me in improvising changes and modifying my manuscript. The insightful comments and constructive feedback provided have been invaluable in refining and strengthening my work".
I thank the ‘Journal of Clinical Research and Reports’ for accepting this article for publication. This is a rigorously peer reviewed journal which is on all major global scientific data bases. I note the review process was prompt, thorough and professionally critical. It gave us an insight into a number of important scientific/statistical issues. The review prompted us to review the relevant literature again and look at the limitations of the study. The peer reviewers were open, clear in the instructions and the editorial team was very prompt in their communication. This journal certainly publishes quality research articles. I would recommend the journal for any future publications.
Dear Jessica Magne, with gratitude for the joint work. Fast process of receiving and processing the submitted scientific materials in “Clinical Cardiology and Cardiovascular Interventions”. High level of competence of the editors with clear and correct recommendations and ideas for enriching the article.
We found the peer review process quick and positive in its input. The support from the editorial officer has been very agile, always with the intention of improving the article and taking into account our subsequent corrections.
My article, titled 'No Way Out of the Smartphone Epidemic Without Considering the Insights of Brain Research,' has been republished in the International Journal of Clinical Case Reports and Reviews. The review process was seamless and professional, with the editors being both friendly and supportive. I am deeply grateful for their efforts.
To Dear Erin Aust – Editorial Coordinator of Journal of General Medicine and Clinical Practice! I declare that I am absolutely satisfied with your work carried out with great competence in following the manuscript during the various stages from its receipt, during the revision process to the final acceptance for publication. Thank Prof. Elvira Farina
Dear Jessica, and the super professional team of the ‘Clinical Cardiology and Cardiovascular Interventions’ I am sincerely grateful to the coordinated work of the journal team for the no problem with the submission of my manuscript: “Cardiometabolic Disorders in A Pregnant Woman with Severe Preeclampsia on the Background of Morbid Obesity (Case Report).” The review process by 5 experts was fast, and the comments were professional, which made it more specific and academic, and the process of publication and presentation of the article was excellent. I recommend that my colleagues publish articles in this journal, and I am interested in further scientific cooperation. Sincerely and best wishes, Dr. Oleg Golyanovskiy.
Dear Ashley Rosa, Editorial Coordinator of the journal - Psychology and Mental Health Care. " The process of obtaining publication of my article in the Psychology and Mental Health Journal was positive in all areas. The peer review process resulted in a number of valuable comments, the editorial process was collaborative and timely, and the quality of this journal has been quickly noticed, resulting in alternative journals contacting me to publish with them." Warm regards, Susan Anne Smith, PhD. Australian Breastfeeding Association.
Dear Jessica Magne, Editorial Coordinator, Clinical Cardiology and Cardiovascular Interventions, Auctores Publishing LLC. I appreciate the journal (JCCI) editorial office support, the entire team leads were always ready to help, not only on technical front but also on thorough process. Also, I should thank dear reviewers’ attention to detail and creative approach to teach me and bring new insights by their comments. Surely, more discussions and introduction of other hemodynamic devices would provide better prevention and management of shock states. Your efforts and dedication in presenting educational materials in this journal are commendable. Best wishes from, Farahnaz Fallahian.
Dear Maria Emerson, Editorial Coordinator, International Journal of Clinical Case Reports and Reviews, Auctores Publishing LLC. I am delighted to have published our manuscript, "Acute Colonic Pseudo-Obstruction (ACPO): A rare but serious complication following caesarean section." I want to thank the editorial team, especially Maria Emerson, for their prompt review of the manuscript, quick responses to queries, and overall support. Yours sincerely Dr. Victor Olagundoye.
Dear Ashley Rosa, Editorial Coordinator, International Journal of Clinical Case Reports and Reviews. Many thanks for publishing this manuscript after I lost confidence the editors were most helpful, more than other journals Best wishes from, Susan Anne Smith, PhD. Australian Breastfeeding Association.
Dear Agrippa Hilda, Editorial Coordinator, Journal of Neuroscience and Neurological Surgery. The entire process including article submission, review, revision, and publication was extremely easy. The journal editor was prompt and helpful, and the reviewers contributed to the quality of the paper. Thank you so much! Eric Nussbaum, MD
Dr Hala Al Shaikh This is to acknowledge that the peer review process for the article ’ A Novel Gnrh1 Gene Mutation in Four Omani Male Siblings, Presentation and Management ’ sent to the International Journal of Clinical Case Reports and Reviews was quick and smooth. The editorial office was prompt with easy communication.
Dear Erin Aust, Editorial Coordinator, Journal of General Medicine and Clinical Practice. We are pleased to share our experience with the “Journal of General Medicine and Clinical Practice”, following the successful publication of our article. The peer review process was thorough and constructive, helping to improve the clarity and quality of the manuscript. We are especially thankful to Ms. Erin Aust, the Editorial Coordinator, for her prompt communication and continuous support throughout the process. Her professionalism ensured a smooth and efficient publication experience. The journal upholds high editorial standards, and we highly recommend it to fellow researchers seeking a credible platform for their work. Best wishes By, Dr. Rakhi Mishra.
Dear Jessica Magne, Editorial Coordinator, Clinical Cardiology and Cardiovascular Interventions, Auctores Publishing LLC. The peer review process of the journal of Clinical Cardiology and Cardiovascular Interventions was excellent and fast, as was the support of the editorial office and the quality of the journal. Kind regards Walter F. Riesen Prof. Dr. Dr. h.c. Walter F. Riesen.
Dear Ashley Rosa, Editorial Coordinator, International Journal of Clinical Case Reports and Reviews, Auctores Publishing LLC. Thank you for publishing our article, Exploring Clozapine's Efficacy in Managing Aggression: A Multiple Single-Case Study in Forensic Psychiatry in the international journal of clinical case reports and reviews. We found the peer review process very professional and efficient. The comments were constructive, and the whole process was efficient. On behalf of the co-authors, I would like to thank you for publishing this article. With regards, Dr. Jelle R. Lettinga.
Dear Clarissa Eric, Editorial Coordinator, Journal of Clinical Case Reports and Studies, I would like to express my deep admiration for the exceptional professionalism demonstrated by your journal. I am thoroughly impressed by the speed of the editorial process, the substantive and insightful reviews, and the meticulous preparation of the manuscript for publication. Additionally, I greatly appreciate the courteous and immediate responses from your editorial office to all my inquiries. Best Regards, Dariusz Ziora
Dear Chrystine Mejia, Editorial Coordinator, Journal of Neurodegeneration and Neurorehabilitation, Auctores Publishing LLC, We would like to thank the editorial team for the smooth and high-quality communication leading up to the publication of our article in the Journal of Neurodegeneration and Neurorehabilitation. The reviewers have extensive knowledge in the field, and their relevant questions helped to add value to our publication. Kind regards, Dr. Ravi Shrivastava.
Dear Clarissa Eric, Editorial Coordinator, Journal of Clinical Case Reports and Studies, Auctores Publishing LLC, USA Office: +1-(302)-520-2644. I would like to express my sincere appreciation for the efficient and professional handling of my case report by the ‘Journal of Clinical Case Reports and Studies’. The peer review process was not only fast but also highly constructive—the reviewers’ comments were clear, relevant, and greatly helped me improve the quality and clarity of my manuscript. I also received excellent support from the editorial office throughout the process. Communication was smooth and timely, and I felt well guided at every stage, from submission to publication. The overall quality and rigor of the journal are truly commendable. I am pleased to have published my work with Journal of Clinical Case Reports and Studies, and I look forward to future opportunities for collaboration. Sincerely, Aline Tollet, UCLouvain.
Dear Ms. Mayra Duenas, Editorial Coordinator, International Journal of Clinical Case Reports and Reviews. “The International Journal of Clinical Case Reports and Reviews represented the “ideal house” to share with the research community a first experience with the use of the Simeox device for speech rehabilitation. High scientific reputation and attractive website communication were first determinants for the selection of this Journal, and the following submission process exceeded expectations: fast but highly professional peer review, great support by the editorial office, elegant graphic layout. Exactly what a dynamic research team - also composed by allied professionals - needs!" From, Chiara Beccaluva, PT - Italy.
Dear Maria Emerson, Editorial Coordinator, we have deeply appreciated the professionalism demonstrated by the International Journal of Clinical Case Reports and Reviews. The reviewers have extensive knowledge of our field and have been very efficient and fast in supporting the process. I am really looking forward to further collaboration. Thanks. Best regards, Dr. Claudio Ligresti
Dear Chrystine Mejia, Editorial Coordinator, Journal of Neurodegeneration and Neurorehabilitation. “The peer review process was efficient and constructive, and the editorial office provided excellent communication and support throughout. The journal ensures scientific rigor and high editorial standards, while also offering a smooth and timely publication process. We sincerely appreciate the work of the editorial team in facilitating the dissemination of innovative approaches such as the Bonori Method.” Best regards, Dr. Matteo Bonori.
I recommend without hesitation submitting relevant papers on medical decision making to the International Journal of Clinical Case Reports and Reviews. I am very grateful to the editorial staff. Maria Emerson was a pleasure to communicate with. The time from submission to publication was an extremely short 3 weeks. The editorial staff submitted the paper to three reviewers. Two of the reviewers commented positively on the value of publishing the paper. The editorial staff quickly recognized the third reviewer’s comments as an unjust attempt to reject the paper. I revised the paper as recommended by the first two reviewers.
Dear Maria Emerson, Editorial Coordinator, Journal of Clinical Research and Reports. Thank you for publishing our case report: "Clinical Case of Effective Fetal Stem Cells Treatment in a Patient with Autism Spectrum Disorder" within the "Journal of Clinical Research and Reports" being submitted by the team of EmCell doctors from Kyiv, Ukraine. We much appreciate a professional and transparent peer-review process from Auctores. All research Doctors are so grateful to your Editorial Office and Auctores Publishing support! I amiably wish our article publication maintained a top quality of your International Scientific Journal. My best wishes for a prosperity of the Journal of Clinical Research and Reports. Hope our scientific relationship and cooperation will remain long lasting. Thank you very much indeed. Kind regards, Dr. Andriy Sinelnyk Cell Therapy Center EmCell
Dear Editorial Team, Clinical Cardiology and Cardiovascular Interventions. It was truly a rewarding experience to work with the journal “Clinical Cardiology and Cardiovascular Interventions”. The peer review process was insightful and encouraging, helping us refine our work to a higher standard. The editorial office offered exceptional support with prompt and thoughtful communication. I highly value the journal’s role in promoting scientific advancement and am honored to be part of it. Best regards, Meng-Jou Lee, MD, Department of Anesthesiology, National Taiwan University Hospital.
Dear Editorial Team, Journal-Clinical Cardiology and Cardiovascular Interventions, “Publishing my article with Clinical Cardiology and Cardiovascular Interventions has been a highly positive experience. The peer-review process was rigorous yet supportive, offering valuable feedback that strengthened my work. The editorial team demonstrated exceptional professionalism, prompt communication, and a genuine commitment to maintaining the highest scientific standards. I am very pleased with the publication quality and proud to be associated with such a reputable journal.” Warm regards, Dr. Mahmoud Kamal Moustafa Ahmed
Dear Maria Emerson, Editorial Coordinator of ‘International Journal of Clinical Case Reports and Reviews’, I appreciate the opportunity to publish my article with your journal. The editorial office provided clear communication during the submission and review process, and I found the overall experience professional and constructive. Best regards, Elena Salvatore.
Dear Mayra Duenas, Editorial Coordinator of ‘International Journal of Clinical Case Reports and Reviews Herewith I confirm an optimal peer review process and a great support of the editorial office of the present journal
Dear Editorial Team, Clinical Cardiology and Cardiovascular Interventions. I am really grateful for the peers review; their feedback gave me the opportunity to reflect on the message and impact of my work and to ameliorate the article. The editors did a great job in addition by encouraging me to continue with the process of publishing.
Dear Cecilia Lilly, Editorial Coordinator, Endocrinology and Disorders, Thank you so much for your quick response regarding reviewing and all process till publishing our manuscript entitled: Prevalence of Pre-Diabetes and its Associated Risk Factors Among Nile College Students, Sudan. Best regards, Dr Mamoun Magzoub.
International Journal of Clinical Case Reports and Reviews is a high quality journal that has a clear and concise submission process. The peer review process was comprehensive and constructive. Support from the editorial office was excellent, since the administrative staff were responsive. The journal provides a fast and timely publication timeline.
Dear Maria Emerson, Editorial Coordinator of International Journal of Clinical Case Reports and Reviews, What distinguishes International Journal of Clinical Case Report and Review is not only the scientific rigor of its publications, but the intellectual climate in which research is evaluated. The submission process is refreshingly free of unnecessary formal barriers and bureaucratic rituals that often complicate academic publishing without adding real value. The peer-review system is demanding yet constructive, guided by genuine scientific dialogue rather than hierarchical or authoritarian attitudes. Reviewers act as collaborators in improving the manuscript, not as gatekeepers imposing arbitrary standards. This journal offers a rare balance: high methodological standards combined with a respectful, transparent, and supportive editorial approach. In an era where publishing can feel more burdensome than research itself, this platform restores the original purpose of peer review — to refine ideas, not to obstruct them Prof. Perlat Kapisyzi, FCCP PULMONOLOGIST AND THORACIC IMAGING.
Dear Grace Pierce, International Journal of Clinical Case Reports and Reviews I appreciate the opportunity to review for Auctore Journal, as the overall editorial process was smooth, transparent and professionally managed. This journal maintains high scientific standards and ensures timely communications with authors, which is truly commendable. I would like to express my special thanks to editor Grace Pierce for his constant guidance, promt responses, and supportive coordination throughout the review process. I am also greatful to Eleanor Bailey from the finance department for her clear communication and efficient handling of all administrative matters. Overall, my experience with Auctore Journal has been highly positive and rewarding. Best regards, Sabita sinha
Dear Mayra Duenas, Editorial Coordinator of the journal IJCCR, I write here a little on my experience as an author submitting to the International Journal of Clinical Case Reports and Reviews (IJCCR). This was my first submission to IJCCR and my manuscript was inherently an outsider’s effort. It attempted to broadly identify and then make some sense of life’s under-appreciated mysteries. I initially had responded to a request for possible submissions. I then contacted IJCCR with a tentative topic for a manuscript. They quickly got back with an approval for the submission, but with a particular requirement that it be medically relevant. I then put together a manuscript and submitted it. After the usual back-and-forth over forms and formality, the manuscript was sent off for reviews. Within 2 weeks I got back 4 reviews which were both helpful and also surprising. Surprising in that the topic was somewhat foreign to medical literature. My subsequent updates in response to the reviewer comments went smoothly and in short order I had a series of proofs to evaluate. All in all, the whole publication process seemed outstanding. It was both helpful in terms of the paper’s content and also in terms of its efficient and friendly communications. Thank you all very much. Sincerely, Ted Christopher, Rochester, NY.