AUCTORES
Globalize your Research
Research Article | DOI: https://doi.org/10.31579/2688-7517/072
1Department of spine surgery, Ningxia Medical University General Hospital, 804 Shengli Street, Xingqing District, Ningxia 75004, China.
2The First Clinical Medical College of Ningxia Medical University, Ningxia, 750004, China.
3Hainan District People's Hospital, WuHai City, Inner Mongolia,016030,China.
4WuHai People's Hospital, Inner Mongolia,016030,China.
5The Efficacy of Arthroscopic Tie-Knot Technique Versus Suture Bridge Technique in The Treatment of Anterior Cruciate Ligament Tibial Insertion Avulsion Fractures.
*Corresponding Author: Haifeng Yuan, The Efficacy of Arthroscopic Tie-Knot Technique Versus Suture Bridge Technique in The Treatment of Anterior Cruciate Ligament Tibial Insertion Avulsion Fractures.
Citation: Zhe Liu, Jing Guo, Donghui Cao, Xiao Zhang Haoxin Li, et al, (2025), The Efficacy of Arthroscopic Tie-Knot Technique Versus Suture Bridge Technique in The Treatment of Anterior Cruciate Ligament Tibial Insertion Avulsion Fractures, J. Addiction Research and Adolescent Behaviour, 8(3) DOI:10.31579/2688-7517/072.
Copyright: © 2025, Haifeng Yuan. This is an open-access article distributed under the terms of The Creative Commons Attribution License, which permits unrestricted use, distribution, and reproduction in any medium, provided the original author and source are credited.
Received: 10 November 2025 | Accepted: 19 November 2025 | Published: 28 November 2025
Keywords: anterior cruciate ligament; tibial fracture; knee injury; arthroscopy; fracture fixation surgery
This study compared the surgical outcomes and postoperative recovery of the Tie - knot and Suture Bridge techniques for ACL tibial insertion avulsion fractures over a 5 - year follow - up. Ninety patients were divided into two groups based on the fixation method. Pre - operative general data showed good comparability. The Suture Bridge group had a longer surgical duration. One month post - surgery, it had better VAS, IKDC, Lysholm scores, ROM, and KT - 1000 results. However, from 6 months to 5 years post - operation, no significant differences were found. No postoperative complications were observed in either group. Both techniques are safe and effective. The Suture Bridge technique offers better early pain relief and functional recovery, but long - term effects are comparable. Future research could focus on optimizing these techniques.
Avulsion fracture of the anterior cruciate ligament (ACL) tibial insertion refers to a fracture at the site where the ACL attaches to the tibia and is one of the common knee joint injuries. Reports suggest that the annual incidence is approximately 0.0003%[1], accounting for 3%-5% of knee joint injuries, and there has been an upward trend in its occurrence over the years[2]. This kind of injury usually occurs in high-energy traumas such as traffic accidents or sports-related injuries[3], which can cause the loss of ACL tension and disrupt the dynamic stability of the knee joint. If left untreated, it may lead to malunion of the fracture, intercondylar impaction, cartilage damage, knee joint fibrosis, accelerated degenerative changes in the joint, and ultimately result in knee osteoarthritis, severely affecting the patient's daily life. In 1959, Meyers and McKeever[5] classified ACL tibial insertion avulsion fractures. Due to the limitations of the equipment at that time, the classification was solely based on the degree of displacement of the fracture fragment shown on X-rays. Later, Green6 and others established a new classification system based on MRI findings, providing specific quantitative criteria. However, the Meyers-McKeever classification is still used as a clinical guide. For Meyers-McKeever Type I fractures, conservative treatments like limb immobilization and plaster fixation are generally employed. Type IV fractures, because of the severe comminution of the fracture fragments, along with postoperative bone loss and joint fluid infiltration leading to nonunion and fixation failure, require ACL reconstruction surgery, which not only impacts the patient's physical and mental well-being but also increases the economic burden. Therefore, in clinical practice, fracture fixation surgeries are mostly carried out on Type II and Type III fractures. Traditional surgical methods involve open exposure, reduction, and fixation, which cause greater tissue trauma, increase the risk of infection, and are also restricted by the size of the fracture fragments7. If the fragments are too small, screw fixation cannot be used, and drilling holes for screw insertion leads to bone loss. Additionally, the process of screw compression poses a risk of fragment comminution. As a result, some surgeons have used steel wires and staple fixation, but all internal fixation devices need to be surgically removed, further increasing the physical, psychological, and economic burden on the patient8. Due to these limitations, traditional open reduction techniques have largely been abandoned. In recent years, with the widespread adoption of the minimally invasive concept, arthroscopic technology has become the gold standard for treating Type II and III ACL tibial insertion avulsion fractures, thanks to its advantages of minimal trauma, fewer complications, and faster recovery. Arthroscopic technology mainly utilizes internal fixation materials such as sutures, anchors, and looped titanium plates8–11. Sutures are flexible and compatible with the joint cavity, making them a core internal fixation material in arthroscopic surgery. Anchors combine the advantages of both screws and sutures and have been widely used as new fixation materials for ligament and avulsion fractures. Loop plates offer good resistance to reverse tensile forces and are primarily used in ligament reconstruction surgeries. The suture bridge technique involves arthroscopically creating bone tunnels, using sutures to loop the avulsion fracture fragment and tying a knot at the exit of the tunnel, similar to a "tie-knot" structure. This technique is easy to perform, shortens the surgical time, and is widely accepted by sports medicine surgeons. The suture bridge technique creates a "bridge" structure using internal and external screws along with sutures to cover and stabilize the bone fragment, making it especially suitable for smaller, comminuted fracture fragments that cannot be fixed with screws. Although prior studies have verified the clinical effectiveness of both techniques, there is currently a dearth of long-term research that directly compares the efficacy of these two techniques. Thus, this study retrospectively examined the clinical data of 90 patients with ACL tibial insertion avulsion fractures, contrasting the clinical outcomes of the arthroscopic suture bridge technique and the tie-knot technique, and offering a reference for the selection of surgical approaches in clinical practice.
This study was approved by the institutional ethics committee (1503022015005). Informed consent was obtained from all participants before they were included in the study. A retrospective analysis was carried out on 90 patients who had undergone arthroscopic treatment for ACL tibial insertion avulsion fractures using the tie-knot technique and the suture bridge technique at our hospital between April 2015 and August 2020. The inclusion and exclusion criteria were as follows:
Inclusion criteria:
Diagnosis of ACL tibial insertion avulsion fracture was confirmed by X-ray, CT, and MRI. Meyers-McKeever classification Type II or Type III. Age of 16 years or older. Time from injury to surgery less than 2 weeks Complete follow-up data.
Exclusion criteria:
Associated injuries such as damage to other ligaments or tibial plateau fractures.
Open fractures or associated skin or joint infections.
Pathological fractures.
Previous knee surgery or a history of knee osteoarthritis.
Follow-up duration less than 5 years or patients who did not follow the required follow-up schedule.
Surgical Protocol
All surgical procedures were carried out by the same senior attending surgeon. Epidural anaesthesia was administered to all patients, who were positioned in a supine posture. A standard arthroscopic method was employed, utilizing anterior medial and anterolateral portals. The intra-articular hematoma was removed, and the joint was thoroughly flushed with saline. The ligaments, meniscus, and cartilage within the joint were inspected, and requisite repairs were carried out. The avulsed fracture fragment and the tibial bone bed were exposed, and blood clots and fibrous tissue were cleared using a rasp and a small curette. The fracture site was freshened up, and the surrounding soft tissues and meniscus were mobilized with a probe to aid in achieving an anatomical reduction of the fracture fragment.
TK Group (Figure 1):
The surgical technique involved using Ultrabraid sutures to encircle and secure the avulsed fracture fragment at the ACL base, creating a "tie-knot" configuration. Depending on the fragment size, an Arthrex ACL tibial locator guided the placement of two 2mm Kirschner wires slightly posterior to the fracture bed, typically at the 3 o'clock and 9 o'clock positions inside the joint. This ensured the proximal tibial entry points were spaced at least 1 cm apart, forming a double bone tunnel. After removing the Kirschner wires, an epidural puncture needle facilitated the passage of a PDS II suture through the tunnel, followed by the Ultrabraid suture tail. A small curette or probe aided in reducing and compressing the fracture fragment, while the suture tail was tightened and tied externally to complete the reduction and fixation.
SB Group (Figure 2):
The fractured fragment was elevated using anteromedial and anterolateral approaches. Through the plate method, one 4.5mm absorbable double-strand suture anchor was placed at the 10 o'clock and 2 o'clock positions of the tibial fracture bed. A suture hook was then used to pass the suture through the anterior cruciate ligament (ACL) tissue at the proximal bone fragment. After reducing the fracture fragment with assistance from a small curette or probe, a 4.75mm absorbable suture anchor was positioned on the anterolateral side of the fracture bed, and its suture tail was tightened and secured. A similar process was performed to tighten and fix the suture tails from the lateral suture anchor. Ultimately, an X-shaped suture bridge was created between the internal and external suture anchors. The external suture anchors were generally positioned at the 4 o'clock and 8 o'clock positions, with adjustments made based on the extent of fragment displacement.
Postoperative Management and Rehabilitation Protocol
After completing the fixation of the fractured fragment, the surgeon assessed the tension restoration of the anterior cruciate ligament (ACL) using a probe. The knee joint was then flexed and extended to verify the stability of the fracture fixation and rule out any intercondylar impingement. Anatomical reduction of the fracture was confirmed via X-ray fluoroscopy, after which the incision was sutured and covered with sterile dressings followed by compressive bandaging. An adjustable knee immobilizer was applied to maintain the affected limb in extension. Post-anesthesia recovery included early initiation of ankle pump exercises and quadriceps training. During the initial two postoperative weeks, the knee was kept extended, followed by a gradual weekly increase in flexion by 30 degrees. For the first four weeks, patients used a brace and crutches for non-weight-bearing ambulation. Partial weight-bearing walking with assistive devices began by the eighth week, progressively increasing over the next two weeks until full weight-bearing was achieved by the tenth postoperative week, at which point assistive devices were discontinued12.
Observation Indicators
We compared various parameters between the two groups to identify any statistical differences. These included basic demographic information such as gender, age, injured side, and fracture type (classified according to the Meyers-McKeever system). We also analyzed surgical duration, length of hospital-stay, and fracture healing time. Patient outcomes were assessed using multiple measures: pain levels via the Visual Analog Scale (VAS)13, knee function through the International Knee Documentation Committee (IKDC) 14and Lysholm scales15, range of motion (ROM), and knee stability measured by KT-100016. These evaluations were conducted at several time points: before surgery and during follow-up visits at 1 month, 6 months, 1 year, 2 years, 3 years, and 5 years after the operation.
Statistical Processing
This study conducted all statistical analyses using IBM SPSS 27.0 software. Initially, we assessed data normality through the Shapiro-Wilk test, followed by evaluating variance homogeneity with Levene's test. For normally distributed data with equal variances, results are expressed as mean ± standard deviation. Within-group comparisons across different time points (pre-operative, 1 month, 6 months, 1 year, 2 years, 3 years, and 5 years post-operative) were performed using paired T-tests, while between-group comparisons employed independent sample t-tests. Statistical significance was defined as P less than 0.05.
The study found no significant differences between the two groups regarding gender, age, injured side, Meyers-McKeever classification, hospital stay duration, fracture healing time, or follow-up period (P>0.05), indicating strong baseline comparability (Table 1). Both groups were monitored for at least 5 years (60 months), with the tie-knot group averaging 77.88 ± 15.174 months (range: 60–113 months) and the suture bridge group averaging 73.35 ± 14.213 months (range: 60–113 months). Notably, the suture bridge group required significantly longer surgical times than the tie-knot group (P<0>0.05, Tables 2–4).

Figure 1: Tie-knot Group Surgical Procedure: a. Clear the hematoma around the fracture fragment. b. Use a curette to deepen the bone bed. c. Position the tibial locator and prepare the lateral bone tunnel. d. Prepare the medial bone tunnel. e. Suture the proximal fragment's substantial part. f. Reduce the fracture fragment and tie the knot at the bone tunnel exit. g. Illustration of the tie-knot technique.

Figure 2: Suture-Bridge Group Surgical Procedure: a. Freshen the fracture fragment and deepen the bone bed. b. Position, prepare the 4.5mm reamer and tap for the screw hole. c. Screw in the posterior medial anchor. d. Screw in the posterior lateral anchor. e. Suture the substantial part of the proximal fragment. f. Reduce the fracture fragment and perform pressure fixation with a 4.75mm cancellous anchor. g. Postoperative imaging. h. Illustration of the suture-bridge technique.
| TK group(n=42) | SB group(n=48) | t/χ2 | P | |
| Age (y) | 34.40±7.768 | 34.04±9.107 | 0.202 | 0.840 |
| Gender (n(%)) | 1.087 | 0.956 | ||
| Male | 23(25.56%) | 26(28.89%) | ||
| Female | 19(31.67%) | 22(24.44%) | ||
| Injured side(n(%)) | 1.087 | 0.302 | ||
| Left | 23(25.56%) | 21(23.33%) | ||
| Right | 19(31.67%) | 27(30.00%) | ||
| Cause of injury (n(%)) | 1.531 | 0.459 | ||
| Traffic Accident | 18(20.00%) | 15(16.67%) | ||
| Sport injury | 13(14.44%) | 20(22.22%) | ||
| Injury to other parts | 11(12.22%) | 13(14.44%) | ||
| Meyers-Mckeever classification (n (%)) | 0.001 | 0.977 | ||
| Type II | 27(30.00%) | 31(34.44%) | ||
| Type III | 15(16.67%) | 17(18.89%) | ||
| Meniscus injury (n (%)) | 0.009 | 0.925 | ||
| YES | 11(12.22%) | 13(14.44%) | ||
| NO | 31(34.44%) | 35(38.89%) | ||
| Operation Time(min) | 55.57±10.371 | 68.04±8.168 | -6.373 | < 0> |
| Hospital Stay(d) | 8.14±1.336 | 7.73±1.364 | 1.449 | 0.151 |
| Fracture healing Time(w) | 8.57±1.451 | 7.81±1.511 | 2.422 | 0.018 |
| Follow-up Time(mon) | 77.88±15.174 | 73.35±14.213 | 1.461 | 0.456 |
Table 1: Comparison of general date between the two groups(n=90, t/χ2)
TK group: Patients were treated with the joint arthroscopic tie knot technique; SB group: Patients were treated with the joint arthroscopic suture bridge technique. y: years; min: minutes. d: days. w: weeks; mon: months
| TK group | SB group | t | P | Cohen d | ||||
| VAS | ||||||||
| Pre-op | 7.76±0.850 | 7.75±0.812 | 0.068 | 0.946 | ||||
| Post-op 1m | 2.76±0.617 | 2.42±0.539 | 2.832 | 0.006 | 0.577 | |||
| Post-op 6m | 0.36±0.485 | 0.48±0.505 | -1.165 | 0.247 | 0.496 | |||
| Post-op 1y | 0.10±0.297 | 0.10±0.309 | -0.139 | 0.890 | 0.303 | |||
| Post-op 2y | 0.07±0.261 | 0.17±0.337 | -1.375 | 0.173 | 0.328 | |||
| Post-op 3y | 0.21±0.415 | 0.21±0.410 | 0.068 | 0.946 | 0.413 | |||
| Post-op 5y | 0.19±0.455 | 0.19±0.357 | 0.521 | 0.603 | 0.405 | |||
| IKDC | ||||||||
| Pre-op | 41.36±1.872 | 41.15±1.856 | 0.537 | 0.593 | ||||
| Post-op 1m | 66.81±2.308 | 68.21±1.529 | 0.010 | 0.001 | 1.932 | |||
| Post-op 6m | 92.95±0.882 | 82.82±0.895 | 0.911 | 0.850 | 0.889 | |||
| Post-op 1y | 94.60±1.308 | 94.90±1.547 | -0.988 | 0.326 | 1.440 | |||
| Post-op 2y | 98.00±0.937 | 98.29±1.010 | -1.414 | 0.161 | 0.977 | |||
| Post-op 3y | 98.57±0.703 | 98.85±0.743 | -1.846 | 0.068 | 0.725 | |||
| Post-op 5y | 99.02±0.749 | 99.10±0.751 | -0.507 | 0.613 | 0.750 | |||
Table 2: Comparison of VAS scores and IKDC scores of the two groups
VAS: Visual Analogue Scale scores; IKDC: International Knee Documentation Committee scores; m: months; y: years.

Figure 3: Comparison of VAS scores between TK group and SB group

Figure 4: Comparison of IKDC scores between TK group and SB group
| TK group | SB group | t | P | Cohen d | |
| Lysholm | |||||
| Pre-op | 43.40±1.939 | 43.15±1.856 | 0.537 | 0.593 | |
| Post-op 1m | 73.71±1.812 | 74.88±1.953 | 0.010 | 0.001 | 1.888 |
| Post-op 6m | 94.88±0.832 | 94.83±0.930 | 0.911 | 0.850 | 0.886 |
| Post-op 1y | 94.60±1.308 | 94.90±1.547 | -0.988 | 0.326 | 0.808 |
| Post-op 2y | 98.00±0.937 | 98.29±1.010 | -1.414 | 0.161 | 0.885 |
| Post-op 3y | 98.57±0.703 | 98.85±0.743 | -1.846 | 0.068 | 0.881 |
| Post-op 5y | 99.02±0.749 | 99.10±0.751 | -0.507 | 0.613 | 0.782 |
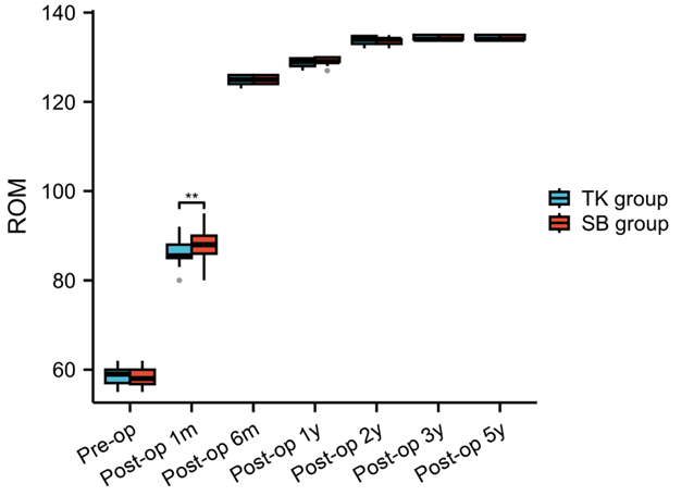
| ROM ( °) | |||||
| Pre-op | 58.74±2.025 | 58.15±2.010 | 1.390 | 0.168 | |
| Post-op 1m | 86.12±2.481 | 87.63±2.826 | -2.669 | 0.009 | 2.671 |
| Post-op 6m | 125.05±0.909 | 125.08±0.846 | -0.193 | 0.847 | 0.876 |
| Post-op 1y | 128.90±0.850 | 129.10±0.692 | -1.227 | 0.223 | 0.769 |
| Post-op 2y | 133.86±0.843 | 133.65±0.911 | 1.137 | 0.259 | 0.880 |
| Post-op 3y | 134.38±0.492 | 134.42±0.498 | -0.341 | 0.734 | 0.495 |
| Post-op 5y | 134.43±0.501 | 134.40±0.494 | 0.312 | 0.756 | 0.497 |
Table 3: Comparison of Lysholm scores and ROM of the two groups
Lysholm: Lysholm Knee Scoring Scale scores; ROM: Range of motion of the affected knee joint; m: months; y: years.

Figure 5: Comparison of Lysholm scores between TK group and SB group

Figure 6: Comparison of the affected knee joint ROM between TK group and SB group
| TK group | SB group | t | P | Cohen d | |
| Pre-op | 5.190±0.308 | 5.177±0.328 | 0.797 | 0.428 | |
| Post-op 1m | 1.355±0.137 | 1.283±0.115 | 1.157 | 0.029 | 0.148 |
| Post-op 6m | 1.550±0.137 | 1.552±0.135 | -0.073 | 0.942 | 0.136 |
| Post-op 1y | 1.619±0.153 | 1.619±0.130 | 0.010 | 0.992 | 0.141 |
| Post-op 2y | 1.779±0.163 | 1.765±0.130 | 0.453 | 0.652 | 0.146 |
| Post-op 3y | 1.919±0.123 | 1.875±0.135 | 1.610 | 0.111 | 0.130 |
| Post-op 5y | 2.000±0.170 | 1.929±0.115 | 2.345 | 0.054 | 0.143 |
Table 4: Comparison of the measurement results by KT - 1000 in two groups (mm) TK group: Patients were treated with the joint arthroscopic tie knot technique; SB group: Patients were treated with the joint arthroscopic suture bridge technique. m: monthes; y: years.

Figure 7: Comparison of the KT-1000 measurements between TK group and SB group
Biomechanical Characteristics of the Two Techniques
The treatment goals for ACL tibial insertion avulsion fractures focus on achieving anatomical realignment, ensuring strong fixation, and promoting early functional recovery. Two commonly used fixation methods—the tie-knot technique and the suture bridge technique—offer different biomechanical advantages in addressing these fractures. The tie-knot technique uses non-absorbable sutures wrapped around the fracture fragment in a bow-tie configuration to provide continuous fixation. This two-point, single-plane method depends heavily on the positioning of the two-bone tunnel exit sites within the joint, as improper placement—too far forward or backward—can cause the fragment to tilt, complicating anatomical reduction. Surgeons typically rely on clinical experience to position the tunnels correctly. While some improved approaches using three or four tunnels have shown positive results, the two-tunnel method remains preferred for its simplicity and shorter surgery time. However, the technique carries risks such as the "windshield wiper effect" and "bungee effect," which are inherent limitations. Additionally, knots tied outside the tunnel may not maintain tension long-term, leading to suture loosening. To counter this, anchors have been used for fixation with satisfactory outcomes.The suture bridge technique, inspired by rotator cuff repair, is a bridging fixation method where multiple intersecting sutures form a net-like structure to distribute uniform compressive stress, ensuring close contact between the fracture fragment and the bone bed for optimal healing. Biomechanical studies confirm its fixation strength can withstand normal ACL tension, allowing early postoperative rehabilitation. By directly implanting anchors around the bone bed, it avoids iatrogenic comminution of the fragment. Short-distance compression within the joint minimizes the "windshield wiper effect" and "bungee effect," while the mesh-like suture coverage reduces relative sliding between the fragment and bone bed, accelerating healing. In this study, the 5-year follow-up revealed a 13% reduction in tibial anterior translation (measured by KT-1000) in the suture bridge group [(2.0 ± 0.17) mm vs. (1.9 ± 0.11) mm in the tie-knot group], indicating more stable fixation. However, the technique's complex threading process initially prolonged surgical time. As surgeons gain proficiency and procedures are simplified, operative duration is expected to decrease significantly.
Comparison of Clinical Outcomes
The findings of this study demonstrate that while the suture bridge technique required longer surgical time, it offered distinct advantages in early functional recovery. 1-month post-surgery, patients in the suture bridge group showed significantly better outcomes across multiple metrics—including lower VAS scores, higher IKDC and Lysholm functional scores, improved range of motion (ROM), and more stable KT-1000 measurements—compared to the tie-knot group, highlighting the technique's effectiveness in promoting faster rehabilitation. These results align with previous work by Zj Huang et al., who observed similar functional improvements in pediatric patients with ACL tibial insertion avulsion fractures treated using high-strength suture tie-knot fixation, where normal knee flexion-extension range and significant score enhancements were achieved by six months. However, it's worth noting that by the six-month follow-up and beyond, the differences between the two techniques diminished, with no significant variations in VAS, IKDC, or Lysholm scores, ROM, or KT-1000 stability. This suggests that both methods ultimately lead to comparable and satisfactory restoration of knee function, reinforcing existing research that emphasizes the importance of anatomical reduction and secure fixation in achieving positive mid- to long-term outcomes, regardless of the specific fixation approach used.
In this study, both groups showed no instances of fever, joint infection, nerve injury, or other severe complications, with no significant difference in complication rates between them. The types and frequency of complications observed align with previous research findings. Specifically, the suture bridge group experienced one case of superficial infection and one of joint stiffness, while the tie-knot group had one case of suture reaction; all these issues resolved with conservative management. It is important to note that non-absorbable sutures in the tie-knot method can provoke suture reactions, and high-strength sutures might cut into soft tissues during rehabilitation, potentially increasing the long-term risk of anterior cruciate ligament rupture. Conversely, the suture bridge technique, involving multiple sutures, adds procedural complexity and extends surgical duration, which could elevate the chance of superficial infections. Therefore, surgeons should choose the most suitable technique based on the patient's fracture characteristics, individual needs, and their own surgical expertise.
Innovation and Limitations of the Study
This study's key innovation is directly comparing the clinical outcomes of arthroscopic tie-knot versus suture bridge techniques for ACL tibial insertion avulsion fractures, providing valuable guidance for surgical decision-making. While offering practical insights, the research has several limitations worth noting: its retrospective nature introduces potential selection bias, the modest sample size may limit statistical reliability, and the short follow-up period precludes assessment of long-term issues like joint degeneration. Additionally, the absence of biomechanical testing means we can't directly compare the fixation strength between these methods. To build on these findings, future investigations should employ larger-scale, multi-center prospective randomized controlled trials to more thoroughly evaluate the techniques' comparative effectiveness. Such studies should also include biomechanical assessments to examine fixation stability and strength, ultimately yielding more robust clinical evidence. These improvements would help surgeons make better-informed choices between these two surgical approaches.
Both the arthroscopic tie-knot technique and suture bridge technique are effective in treating ACL tibial insertion avulsion fractures, successfully restoring knee joint stability and function with minimal complications. While the tie-knot technique stands out for its simplicity and shorter surgical duration, the suture bridge technique, despite requiring more operative time, offers superior advantages in early functional rehabilitation of the knee. Clinicians should select the appropriate method based on fracture type, patient needs, and their own surgical expertise. For younger patients seeking a quick return to functional activity, the suture bridge technique is preferable, whereas the tie-knot technique may be more suitable for those prioritizing reduced operative time.
Conflicts of Interest: The authors report no conflict of interest concerning the materials or methods used in this study or the findings specified in this paper.
Author Contributions: Z.L.: study concept and design, literature screening, and desk review. J.G.: initial writing. D.C.: literature screening. X.Z.: data extraction. H.L.: statistical analysis. H.Y.: primary writing, revision of the manuscript, study concept and design, statistical support, and critical revision of the manuscript. All authors have made substantive contributions to this study and manuscript, and all have reviewed the final paper before its submission.
Funding: The Ningxia Natural Science Foundation (2023AAC03543), Central Government Guides Local Science and Technology Development Fund Projects(2022FRD05038).
Informed Consent Statement: All patients included in the study signed informed consent for the conduct of the study.
Institutional Review Board Statement: The study was approved by the Ethics Committee of WuHai People's Hospital (1503022015005).
Author disclosures: No generative artificial intelligence or artificial intelligence-assisted technologies were used during the writing process.
Conflicts of Interest: The authors report no conflict of interest concerning the materials or methods used in this study or the findings specified in this paper.
Data Availability: Summary data can be obtained from the corresponding or first author upon reasonable request
Acknowledgements:The authors have no acknowledgements
Clearly Auctoresonline and particularly Psychology and Mental Health Care Journal is dedicated to improving health care services for individuals and populations. The editorial boards' ability to efficiently recognize and share the global importance of health literacy with a variety of stakeholders. Auctoresonline publishing platform can be used to facilitate of optimal client-based services and should be added to health care professionals' repertoire of evidence-based health care resources.
Journal of Clinical Cardiology and Cardiovascular Intervention The submission and review process was adequate. However I think that the publication total value should have been enlightened in early fases. Thank you for all.
Journal of Women Health Care and Issues By the present mail, I want to say thank to you and tour colleagues for facilitating my published article. Specially thank you for the peer review process, support from the editorial office. I appreciate positively the quality of your journal.
Journal of Clinical Research and Reports I would be very delighted to submit my testimonial regarding the reviewer board and the editorial office. The reviewer board were accurate and helpful regarding any modifications for my manuscript. And the editorial office were very helpful and supportive in contacting and monitoring with any update and offering help. It was my pleasure to contribute with your promising Journal and I am looking forward for more collaboration.
We would like to thank the Journal of Thoracic Disease and Cardiothoracic Surgery because of the services they provided us for our articles. The peer-review process was done in a very excellent time manner, and the opinions of the reviewers helped us to improve our manuscript further. The editorial office had an outstanding correspondence with us and guided us in many ways. During a hard time of the pandemic that is affecting every one of us tremendously, the editorial office helped us make everything easier for publishing scientific work. Hope for a more scientific relationship with your Journal.
The peer-review process which consisted high quality queries on the paper. I did answer six reviewers’ questions and comments before the paper was accepted. The support from the editorial office is excellent.
Journal of Neuroscience and Neurological Surgery. I had the experience of publishing a research article recently. The whole process was simple from submission to publication. The reviewers made specific and valuable recommendations and corrections that improved the quality of my publication. I strongly recommend this Journal.
Dr. Katarzyna Byczkowska My testimonial covering: "The peer review process is quick and effective. The support from the editorial office is very professional and friendly. Quality of the Clinical Cardiology and Cardiovascular Interventions is scientific and publishes ground-breaking research on cardiology that is useful for other professionals in the field.
Thank you most sincerely, with regard to the support you have given in relation to the reviewing process and the processing of my article entitled "Large Cell Neuroendocrine Carcinoma of The Prostate Gland: A Review and Update" for publication in your esteemed Journal, Journal of Cancer Research and Cellular Therapeutics". The editorial team has been very supportive.
Testimony of Journal of Clinical Otorhinolaryngology: work with your Reviews has been a educational and constructive experience. The editorial office were very helpful and supportive. It was a pleasure to contribute to your Journal.
Dr. Bernard Terkimbi Utoo, I am happy to publish my scientific work in Journal of Women Health Care and Issues (JWHCI). The manuscript submission was seamless and peer review process was top notch. I was amazed that 4 reviewers worked on the manuscript which made it a highly technical, standard and excellent quality paper. I appreciate the format and consideration for the APC as well as the speed of publication. It is my pleasure to continue with this scientific relationship with the esteem JWHCI.
This is an acknowledgment for peer reviewers, editorial board of Journal of Clinical Research and Reports. They show a lot of consideration for us as publishers for our research article “Evaluation of the different factors associated with side effects of COVID-19 vaccination on medical students, Mutah university, Al-Karak, Jordan”, in a very professional and easy way. This journal is one of outstanding medical journal.
Dear Hao Jiang, to Journal of Nutrition and Food Processing We greatly appreciate the efficient, professional and rapid processing of our paper by your team. If there is anything else we should do, please do not hesitate to let us know. On behalf of my co-authors, we would like to express our great appreciation to editor and reviewers.
As an author who has recently published in the journal "Brain and Neurological Disorders". I am delighted to provide a testimonial on the peer review process, editorial office support, and the overall quality of the journal. The peer review process at Brain and Neurological Disorders is rigorous and meticulous, ensuring that only high-quality, evidence-based research is published. The reviewers are experts in their fields, and their comments and suggestions were constructive and helped improve the quality of my manuscript. The review process was timely and efficient, with clear communication from the editorial office at each stage. The support from the editorial office was exceptional throughout the entire process. The editorial staff was responsive, professional, and always willing to help. They provided valuable guidance on formatting, structure, and ethical considerations, making the submission process seamless. Moreover, they kept me informed about the status of my manuscript and provided timely updates, which made the process less stressful. The journal Brain and Neurological Disorders is of the highest quality, with a strong focus on publishing cutting-edge research in the field of neurology. The articles published in this journal are well-researched, rigorously peer-reviewed, and written by experts in the field. The journal maintains high standards, ensuring that readers are provided with the most up-to-date and reliable information on brain and neurological disorders. In conclusion, I had a wonderful experience publishing in Brain and Neurological Disorders. The peer review process was thorough, the editorial office provided exceptional support, and the journal's quality is second to none. I would highly recommend this journal to any researcher working in the field of neurology and brain disorders.
Dear Agrippa Hilda, Journal of Neuroscience and Neurological Surgery, Editorial Coordinator, I trust this message finds you well. I want to extend my appreciation for considering my article for publication in your esteemed journal. I am pleased to provide a testimonial regarding the peer review process and the support received from your editorial office. The peer review process for my paper was carried out in a highly professional and thorough manner. The feedback and comments provided by the authors were constructive and very useful in improving the quality of the manuscript. This rigorous assessment process undoubtedly contributes to the high standards maintained by your journal.
International Journal of Clinical Case Reports and Reviews. I strongly recommend to consider submitting your work to this high-quality journal. The support and availability of the Editorial staff is outstanding and the review process was both efficient and rigorous.
Thank you very much for publishing my Research Article titled “Comparing Treatment Outcome Of Allergic Rhinitis Patients After Using Fluticasone Nasal Spray And Nasal Douching" in the Journal of Clinical Otorhinolaryngology. As Medical Professionals we are immensely benefited from study of various informative Articles and Papers published in this high quality Journal. I look forward to enriching my knowledge by regular study of the Journal and contribute my future work in the field of ENT through the Journal for use by the medical fraternity. The support from the Editorial office was excellent and very prompt. I also welcome the comments received from the readers of my Research Article.
Dear Erica Kelsey, Editorial Coordinator of Cancer Research and Cellular Therapeutics Our team is very satisfied with the processing of our paper by your journal. That was fast, efficient, rigorous, but without unnecessary complications. We appreciated the very short time between the submission of the paper and its publication on line on your site.
I am very glad to say that the peer review process is very successful and fast and support from the Editorial Office. Therefore, I would like to continue our scientific relationship for a long time. And I especially thank you for your kindly attention towards my article. Have a good day!
"We recently published an article entitled “Influence of beta-Cyclodextrins upon the Degradation of Carbofuran Derivatives under Alkaline Conditions" in the Journal of “Pesticides and Biofertilizers” to show that the cyclodextrins protect the carbamates increasing their half-life time in the presence of basic conditions This will be very helpful to understand carbofuran behaviour in the analytical, agro-environmental and food areas. We greatly appreciated the interaction with the editor and the editorial team; we were particularly well accompanied during the course of the revision process, since all various steps towards publication were short and without delay".
I would like to express my gratitude towards you process of article review and submission. I found this to be very fair and expedient. Your follow up has been excellent. I have many publications in national and international journal and your process has been one of the best so far. Keep up the great work.
We are grateful for this opportunity to provide a glowing recommendation to the Journal of Psychiatry and Psychotherapy. We found that the editorial team were very supportive, helpful, kept us abreast of timelines and over all very professional in nature. The peer review process was rigorous, efficient and constructive that really enhanced our article submission. The experience with this journal remains one of our best ever and we look forward to providing future submissions in the near future.
I am very pleased to serve as EBM of the journal, I hope many years of my experience in stem cells can help the journal from one way or another. As we know, stem cells hold great potential for regenerative medicine, which are mostly used to promote the repair response of diseased, dysfunctional or injured tissue using stem cells or their derivatives. I think Stem Cell Research and Therapeutics International is a great platform to publish and share the understanding towards the biology and translational or clinical application of stem cells.
I would like to give my testimony in the support I have got by the peer review process and to support the editorial office where they were of asset to support young author like me to be encouraged to publish their work in your respected journal and globalize and share knowledge across the globe. I really give my great gratitude to your journal and the peer review including the editorial office.
I am delighted to publish our manuscript entitled "A Perspective on Cocaine Induced Stroke - Its Mechanisms and Management" in the Journal of Neuroscience and Neurological Surgery. The peer review process, support from the editorial office, and quality of the journal are excellent. The manuscripts published are of high quality and of excellent scientific value. I recommend this journal very much to colleagues.
Dr.Tania Muñoz, My experience as researcher and author of a review article in The Journal Clinical Cardiology and Interventions has been very enriching and stimulating. The editorial team is excellent, performs its work with absolute responsibility and delivery. They are proactive, dynamic and receptive to all proposals. Supporting at all times the vast universe of authors who choose them as an option for publication. The team of review specialists, members of the editorial board, are brilliant professionals, with remarkable performance in medical research and scientific methodology. Together they form a frontline team that consolidates the JCCI as a magnificent option for the publication and review of high-level medical articles and broad collective interest. I am honored to be able to share my review article and open to receive all your comments.
“The peer review process of JPMHC is quick and effective. Authors are benefited by good and professional reviewers with huge experience in the field of psychology and mental health. The support from the editorial office is very professional. People to contact to are friendly and happy to help and assist any query authors might have. Quality of the Journal is scientific and publishes ground-breaking research on mental health that is useful for other professionals in the field”.
Dear editorial department: On behalf of our team, I hereby certify the reliability and superiority of the International Journal of Clinical Case Reports and Reviews in the peer review process, editorial support, and journal quality. Firstly, the peer review process of the International Journal of Clinical Case Reports and Reviews is rigorous, fair, transparent, fast, and of high quality. The editorial department invites experts from relevant fields as anonymous reviewers to review all submitted manuscripts. These experts have rich academic backgrounds and experience, and can accurately evaluate the academic quality, originality, and suitability of manuscripts. The editorial department is committed to ensuring the rigor of the peer review process, while also making every effort to ensure a fast review cycle to meet the needs of authors and the academic community. Secondly, the editorial team of the International Journal of Clinical Case Reports and Reviews is composed of a group of senior scholars and professionals with rich experience and professional knowledge in related fields. The editorial department is committed to assisting authors in improving their manuscripts, ensuring their academic accuracy, clarity, and completeness. Editors actively collaborate with authors, providing useful suggestions and feedback to promote the improvement and development of the manuscript. We believe that the support of the editorial department is one of the key factors in ensuring the quality of the journal. Finally, the International Journal of Clinical Case Reports and Reviews is renowned for its high- quality articles and strict academic standards. The editorial department is committed to publishing innovative and academically valuable research results to promote the development and progress of related fields. The International Journal of Clinical Case Reports and Reviews is reasonably priced and ensures excellent service and quality ratio, allowing authors to obtain high-level academic publishing opportunities in an affordable manner. I hereby solemnly declare that the International Journal of Clinical Case Reports and Reviews has a high level of credibility and superiority in terms of peer review process, editorial support, reasonable fees, and journal quality. Sincerely, Rui Tao.
Clinical Cardiology and Cardiovascular Interventions I testity the covering of the peer review process, support from the editorial office, and quality of the journal.
Clinical Cardiology and Cardiovascular Interventions, we deeply appreciate the interest shown in our work and its publication. It has been a true pleasure to collaborate with you. The peer review process, as well as the support provided by the editorial office, have been exceptional, and the quality of the journal is very high, which was a determining factor in our decision to publish with you.
The peer reviewers process is quick and effective, the supports from editorial office is excellent, the quality of journal is high. I would like to collabroate with Internatioanl journal of Clinical Case Reports and Reviews journal clinically in the future time.
Clinical Cardiology and Cardiovascular Interventions, I would like to express my sincerest gratitude for the trust placed in our team for the publication in your journal. It has been a true pleasure to collaborate with you on this project. I am pleased to inform you that both the peer review process and the attention from the editorial coordination have been excellent. Your team has worked with dedication and professionalism to ensure that your publication meets the highest standards of quality. We are confident that this collaboration will result in mutual success, and we are eager to see the fruits of this shared effort.
Dear Dr. Jessica Magne, Editorial Coordinator 0f Clinical Cardiology and Cardiovascular Interventions, I hope this message finds you well. I want to express my utmost gratitude for your excellent work and for the dedication and speed in the publication process of my article titled "Navigating Innovation: Qualitative Insights on Using Technology for Health Education in Acute Coronary Syndrome Patients." I am very satisfied with the peer review process, the support from the editorial office, and the quality of the journal. I hope we can maintain our scientific relationship in the long term.
Dear Monica Gissare, - Editorial Coordinator of Nutrition and Food Processing. ¨My testimony with you is truly professional, with a positive response regarding the follow-up of the article and its review, you took into account my qualities and the importance of the topic¨.
Dear Dr. Jessica Magne, Editorial Coordinator 0f Clinical Cardiology and Cardiovascular Interventions, The review process for the article “The Handling of Anti-aggregants and Anticoagulants in the Oncologic Heart Patient Submitted to Surgery” was extremely rigorous and detailed. From the initial submission to the final acceptance, the editorial team at the “Journal of Clinical Cardiology and Cardiovascular Interventions” demonstrated a high level of professionalism and dedication. The reviewers provided constructive and detailed feedback, which was essential for improving the quality of our work. Communication was always clear and efficient, ensuring that all our questions were promptly addressed. The quality of the “Journal of Clinical Cardiology and Cardiovascular Interventions” is undeniable. It is a peer-reviewed, open-access publication dedicated exclusively to disseminating high-quality research in the field of clinical cardiology and cardiovascular interventions. The journal's impact factor is currently under evaluation, and it is indexed in reputable databases, which further reinforces its credibility and relevance in the scientific field. I highly recommend this journal to researchers looking for a reputable platform to publish their studies.
Dear Editorial Coordinator of the Journal of Nutrition and Food Processing! "I would like to thank the Journal of Nutrition and Food Processing for including and publishing my article. The peer review process was very quick, movement and precise. The Editorial Board has done an extremely conscientious job with much help, valuable comments and advices. I find the journal very valuable from a professional point of view, thank you very much for allowing me to be part of it and I would like to participate in the future!”
Dealing with The Journal of Neurology and Neurological Surgery was very smooth and comprehensive. The office staff took time to address my needs and the response from editors and the office was prompt and fair. I certainly hope to publish with this journal again.Their professionalism is apparent and more than satisfactory. Susan Weiner
My Testimonial Covering as fellowing: Lin-Show Chin. The peer reviewers process is quick and effective, the supports from editorial office is excellent, the quality of journal is high. I would like to collabroate with Internatioanl journal of Clinical Case Reports and Reviews.
My experience publishing in Psychology and Mental Health Care was exceptional. The peer review process was rigorous and constructive, with reviewers providing valuable insights that helped enhance the quality of our work. The editorial team was highly supportive and responsive, making the submission process smooth and efficient. The journal's commitment to high standards and academic rigor makes it a respected platform for quality research. I am grateful for the opportunity to publish in such a reputable journal.
My experience publishing in International Journal of Clinical Case Reports and Reviews was exceptional. I Come forth to Provide a Testimonial Covering the Peer Review Process and the editorial office for the Professional and Impartial Evaluation of the Manuscript.
I would like to offer my testimony in the support. I have received through the peer review process and support the editorial office where they are to support young authors like me, encourage them to publish their work in your esteemed journals, and globalize and share knowledge globally. I really appreciate your journal, peer review, and editorial office.
Dear Agrippa Hilda- Editorial Coordinator of Journal of Neuroscience and Neurological Surgery, "The peer review process was very quick and of high quality, which can also be seen in the articles in the journal. The collaboration with the editorial office was very good."
I would like to express my sincere gratitude for the support and efficiency provided by the editorial office throughout the publication process of my article, “Delayed Vulvar Metastases from Rectal Carcinoma: A Case Report.” I greatly appreciate the assistance and guidance I received from your team, which made the entire process smooth and efficient. The peer review process was thorough and constructive, contributing to the overall quality of the final article. I am very grateful for the high level of professionalism and commitment shown by the editorial staff, and I look forward to maintaining a long-term collaboration with the International Journal of Clinical Case Reports and Reviews.
To Dear Erin Aust, I would like to express my heartfelt appreciation for the opportunity to have my work published in this esteemed journal. The entire publication process was smooth and well-organized, and I am extremely satisfied with the final result. The Editorial Team demonstrated the utmost professionalism, providing prompt and insightful feedback throughout the review process. Their clear communication and constructive suggestions were invaluable in enhancing my manuscript, and their meticulous attention to detail and dedication to quality are truly commendable. Additionally, the support from the Editorial Office was exceptional. From the initial submission to the final publication, I was guided through every step of the process with great care and professionalism. The team's responsiveness and assistance made the entire experience both easy and stress-free. I am also deeply impressed by the quality and reputation of the journal. It is an honor to have my research featured in such a respected publication, and I am confident that it will make a meaningful contribution to the field.
"I am grateful for the opportunity of contributing to [International Journal of Clinical Case Reports and Reviews] and for the rigorous review process that enhances the quality of research published in your esteemed journal. I sincerely appreciate the time and effort of your team who have dedicatedly helped me in improvising changes and modifying my manuscript. The insightful comments and constructive feedback provided have been invaluable in refining and strengthening my work".
I thank the ‘Journal of Clinical Research and Reports’ for accepting this article for publication. This is a rigorously peer reviewed journal which is on all major global scientific data bases. I note the review process was prompt, thorough and professionally critical. It gave us an insight into a number of important scientific/statistical issues. The review prompted us to review the relevant literature again and look at the limitations of the study. The peer reviewers were open, clear in the instructions and the editorial team was very prompt in their communication. This journal certainly publishes quality research articles. I would recommend the journal for any future publications.
Dear Jessica Magne, with gratitude for the joint work. Fast process of receiving and processing the submitted scientific materials in “Clinical Cardiology and Cardiovascular Interventions”. High level of competence of the editors with clear and correct recommendations and ideas for enriching the article.
We found the peer review process quick and positive in its input. The support from the editorial officer has been very agile, always with the intention of improving the article and taking into account our subsequent corrections.
My article, titled 'No Way Out of the Smartphone Epidemic Without Considering the Insights of Brain Research,' has been republished in the International Journal of Clinical Case Reports and Reviews. The review process was seamless and professional, with the editors being both friendly and supportive. I am deeply grateful for their efforts.
To Dear Erin Aust – Editorial Coordinator of Journal of General Medicine and Clinical Practice! I declare that I am absolutely satisfied with your work carried out with great competence in following the manuscript during the various stages from its receipt, during the revision process to the final acceptance for publication. Thank Prof. Elvira Farina
Dear Jessica, and the super professional team of the ‘Clinical Cardiology and Cardiovascular Interventions’ I am sincerely grateful to the coordinated work of the journal team for the no problem with the submission of my manuscript: “Cardiometabolic Disorders in A Pregnant Woman with Severe Preeclampsia on the Background of Morbid Obesity (Case Report).” The review process by 5 experts was fast, and the comments were professional, which made it more specific and academic, and the process of publication and presentation of the article was excellent. I recommend that my colleagues publish articles in this journal, and I am interested in further scientific cooperation. Sincerely and best wishes, Dr. Oleg Golyanovskiy.
Dear Ashley Rosa, Editorial Coordinator of the journal - Psychology and Mental Health Care. " The process of obtaining publication of my article in the Psychology and Mental Health Journal was positive in all areas. The peer review process resulted in a number of valuable comments, the editorial process was collaborative and timely, and the quality of this journal has been quickly noticed, resulting in alternative journals contacting me to publish with them." Warm regards, Susan Anne Smith, PhD. Australian Breastfeeding Association.
Dear Jessica Magne, Editorial Coordinator, Clinical Cardiology and Cardiovascular Interventions, Auctores Publishing LLC. I appreciate the journal (JCCI) editorial office support, the entire team leads were always ready to help, not only on technical front but also on thorough process. Also, I should thank dear reviewers’ attention to detail and creative approach to teach me and bring new insights by their comments. Surely, more discussions and introduction of other hemodynamic devices would provide better prevention and management of shock states. Your efforts and dedication in presenting educational materials in this journal are commendable. Best wishes from, Farahnaz Fallahian.
Dear Maria Emerson, Editorial Coordinator, International Journal of Clinical Case Reports and Reviews, Auctores Publishing LLC. I am delighted to have published our manuscript, "Acute Colonic Pseudo-Obstruction (ACPO): A rare but serious complication following caesarean section." I want to thank the editorial team, especially Maria Emerson, for their prompt review of the manuscript, quick responses to queries, and overall support. Yours sincerely Dr. Victor Olagundoye.
Dear Ashley Rosa, Editorial Coordinator, International Journal of Clinical Case Reports and Reviews. Many thanks for publishing this manuscript after I lost confidence the editors were most helpful, more than other journals Best wishes from, Susan Anne Smith, PhD. Australian Breastfeeding Association.
Dear Agrippa Hilda, Editorial Coordinator, Journal of Neuroscience and Neurological Surgery. The entire process including article submission, review, revision, and publication was extremely easy. The journal editor was prompt and helpful, and the reviewers contributed to the quality of the paper. Thank you so much! Eric Nussbaum, MD
Dr Hala Al Shaikh This is to acknowledge that the peer review process for the article ’ A Novel Gnrh1 Gene Mutation in Four Omani Male Siblings, Presentation and Management ’ sent to the International Journal of Clinical Case Reports and Reviews was quick and smooth. The editorial office was prompt with easy communication.
Dear Erin Aust, Editorial Coordinator, Journal of General Medicine and Clinical Practice. We are pleased to share our experience with the “Journal of General Medicine and Clinical Practice”, following the successful publication of our article. The peer review process was thorough and constructive, helping to improve the clarity and quality of the manuscript. We are especially thankful to Ms. Erin Aust, the Editorial Coordinator, for her prompt communication and continuous support throughout the process. Her professionalism ensured a smooth and efficient publication experience. The journal upholds high editorial standards, and we highly recommend it to fellow researchers seeking a credible platform for their work. Best wishes By, Dr. Rakhi Mishra.
Dear Jessica Magne, Editorial Coordinator, Clinical Cardiology and Cardiovascular Interventions, Auctores Publishing LLC. The peer review process of the journal of Clinical Cardiology and Cardiovascular Interventions was excellent and fast, as was the support of the editorial office and the quality of the journal. Kind regards Walter F. Riesen Prof. Dr. Dr. h.c. Walter F. Riesen.
Dear Ashley Rosa, Editorial Coordinator, International Journal of Clinical Case Reports and Reviews, Auctores Publishing LLC. Thank you for publishing our article, Exploring Clozapine's Efficacy in Managing Aggression: A Multiple Single-Case Study in Forensic Psychiatry in the international journal of clinical case reports and reviews. We found the peer review process very professional and efficient. The comments were constructive, and the whole process was efficient. On behalf of the co-authors, I would like to thank you for publishing this article. With regards, Dr. Jelle R. Lettinga.
Dear Clarissa Eric, Editorial Coordinator, Journal of Clinical Case Reports and Studies, I would like to express my deep admiration for the exceptional professionalism demonstrated by your journal. I am thoroughly impressed by the speed of the editorial process, the substantive and insightful reviews, and the meticulous preparation of the manuscript for publication. Additionally, I greatly appreciate the courteous and immediate responses from your editorial office to all my inquiries. Best Regards, Dariusz Ziora
Dear Chrystine Mejia, Editorial Coordinator, Journal of Neurodegeneration and Neurorehabilitation, Auctores Publishing LLC, We would like to thank the editorial team for the smooth and high-quality communication leading up to the publication of our article in the Journal of Neurodegeneration and Neurorehabilitation. The reviewers have extensive knowledge in the field, and their relevant questions helped to add value to our publication. Kind regards, Dr. Ravi Shrivastava.
Dear Clarissa Eric, Editorial Coordinator, Journal of Clinical Case Reports and Studies, Auctores Publishing LLC, USA Office: +1-(302)-520-2644. I would like to express my sincere appreciation for the efficient and professional handling of my case report by the ‘Journal of Clinical Case Reports and Studies’. The peer review process was not only fast but also highly constructive—the reviewers’ comments were clear, relevant, and greatly helped me improve the quality and clarity of my manuscript. I also received excellent support from the editorial office throughout the process. Communication was smooth and timely, and I felt well guided at every stage, from submission to publication. The overall quality and rigor of the journal are truly commendable. I am pleased to have published my work with Journal of Clinical Case Reports and Studies, and I look forward to future opportunities for collaboration. Sincerely, Aline Tollet, UCLouvain.
Dear Ms. Mayra Duenas, Editorial Coordinator, International Journal of Clinical Case Reports and Reviews. “The International Journal of Clinical Case Reports and Reviews represented the “ideal house” to share with the research community a first experience with the use of the Simeox device for speech rehabilitation. High scientific reputation and attractive website communication were first determinants for the selection of this Journal, and the following submission process exceeded expectations: fast but highly professional peer review, great support by the editorial office, elegant graphic layout. Exactly what a dynamic research team - also composed by allied professionals - needs!" From, Chiara Beccaluva, PT - Italy.
Dear Maria Emerson, Editorial Coordinator, we have deeply appreciated the professionalism demonstrated by the International Journal of Clinical Case Reports and Reviews. The reviewers have extensive knowledge of our field and have been very efficient and fast in supporting the process. I am really looking forward to further collaboration. Thanks. Best regards, Dr. Claudio Ligresti
Dear Chrystine Mejia, Editorial Coordinator, Journal of Neurodegeneration and Neurorehabilitation. “The peer review process was efficient and constructive, and the editorial office provided excellent communication and support throughout. The journal ensures scientific rigor and high editorial standards, while also offering a smooth and timely publication process. We sincerely appreciate the work of the editorial team in facilitating the dissemination of innovative approaches such as the Bonori Method.” Best regards, Dr. Matteo Bonori.
I recommend without hesitation submitting relevant papers on medical decision making to the International Journal of Clinical Case Reports and Reviews. I am very grateful to the editorial staff. Maria Emerson was a pleasure to communicate with. The time from submission to publication was an extremely short 3 weeks. The editorial staff submitted the paper to three reviewers. Two of the reviewers commented positively on the value of publishing the paper. The editorial staff quickly recognized the third reviewer’s comments as an unjust attempt to reject the paper. I revised the paper as recommended by the first two reviewers.
Dear Maria Emerson, Editorial Coordinator, Journal of Clinical Research and Reports. Thank you for publishing our case report: "Clinical Case of Effective Fetal Stem Cells Treatment in a Patient with Autism Spectrum Disorder" within the "Journal of Clinical Research and Reports" being submitted by the team of EmCell doctors from Kyiv, Ukraine. We much appreciate a professional and transparent peer-review process from Auctores. All research Doctors are so grateful to your Editorial Office and Auctores Publishing support! I amiably wish our article publication maintained a top quality of your International Scientific Journal. My best wishes for a prosperity of the Journal of Clinical Research and Reports. Hope our scientific relationship and cooperation will remain long lasting. Thank you very much indeed. Kind regards, Dr. Andriy Sinelnyk Cell Therapy Center EmCell
Dear Editorial Team, Clinical Cardiology and Cardiovascular Interventions. It was truly a rewarding experience to work with the journal “Clinical Cardiology and Cardiovascular Interventions”. The peer review process was insightful and encouraging, helping us refine our work to a higher standard. The editorial office offered exceptional support with prompt and thoughtful communication. I highly value the journal’s role in promoting scientific advancement and am honored to be part of it. Best regards, Meng-Jou Lee, MD, Department of Anesthesiology, National Taiwan University Hospital.
Dear Editorial Team, Journal-Clinical Cardiology and Cardiovascular Interventions, “Publishing my article with Clinical Cardiology and Cardiovascular Interventions has been a highly positive experience. The peer-review process was rigorous yet supportive, offering valuable feedback that strengthened my work. The editorial team demonstrated exceptional professionalism, prompt communication, and a genuine commitment to maintaining the highest scientific standards. I am very pleased with the publication quality and proud to be associated with such a reputable journal.” Warm regards, Dr. Mahmoud Kamal Moustafa Ahmed
Dear Maria Emerson, Editorial Coordinator of ‘International Journal of Clinical Case Reports and Reviews’, I appreciate the opportunity to publish my article with your journal. The editorial office provided clear communication during the submission and review process, and I found the overall experience professional and constructive. Best regards, Elena Salvatore.
Dear Mayra Duenas, Editorial Coordinator of ‘International Journal of Clinical Case Reports and Reviews Herewith I confirm an optimal peer review process and a great support of the editorial office of the present journal
Dear Editorial Team, Clinical Cardiology and Cardiovascular Interventions. I am really grateful for the peers review; their feedback gave me the opportunity to reflect on the message and impact of my work and to ameliorate the article. The editors did a great job in addition by encouraging me to continue with the process of publishing.
Dear Cecilia Lilly, Editorial Coordinator, Endocrinology and Disorders, Thank you so much for your quick response regarding reviewing and all process till publishing our manuscript entitled: Prevalence of Pre-Diabetes and its Associated Risk Factors Among Nile College Students, Sudan. Best regards, Dr Mamoun Magzoub.
International Journal of Clinical Case Reports and Reviews is a high quality journal that has a clear and concise submission process. The peer review process was comprehensive and constructive. Support from the editorial office was excellent, since the administrative staff were responsive. The journal provides a fast and timely publication timeline.
Dear Maria Emerson, Editorial Coordinator of International Journal of Clinical Case Reports and Reviews, What distinguishes International Journal of Clinical Case Report and Review is not only the scientific rigor of its publications, but the intellectual climate in which research is evaluated. The submission process is refreshingly free of unnecessary formal barriers and bureaucratic rituals that often complicate academic publishing without adding real value. The peer-review system is demanding yet constructive, guided by genuine scientific dialogue rather than hierarchical or authoritarian attitudes. Reviewers act as collaborators in improving the manuscript, not as gatekeepers imposing arbitrary standards. This journal offers a rare balance: high methodological standards combined with a respectful, transparent, and supportive editorial approach. In an era where publishing can feel more burdensome than research itself, this platform restores the original purpose of peer review — to refine ideas, not to obstruct them Prof. Perlat Kapisyzi, FCCP PULMONOLOGIST AND THORACIC IMAGING.
Dear Grace Pierce, International Journal of Clinical Case Reports and Reviews I appreciate the opportunity to review for Auctore Journal, as the overall editorial process was smooth, transparent and professionally managed. This journal maintains high scientific standards and ensures timely communications with authors, which is truly commendable. I would like to express my special thanks to editor Grace Pierce for his constant guidance, promt responses, and supportive coordination throughout the review process. I am also greatful to Eleanor Bailey from the finance department for her clear communication and efficient handling of all administrative matters. Overall, my experience with Auctore Journal has been highly positive and rewarding. Best regards, Sabita sinha
Dear Mayra Duenas, Editorial Coordinator of the journal IJCCR, I write here a little on my experience as an author submitting to the International Journal of Clinical Case Reports and Reviews (IJCCR). This was my first submission to IJCCR and my manuscript was inherently an outsider’s effort. It attempted to broadly identify and then make some sense of life’s under-appreciated mysteries. I initially had responded to a request for possible submissions. I then contacted IJCCR with a tentative topic for a manuscript. They quickly got back with an approval for the submission, but with a particular requirement that it be medically relevant. I then put together a manuscript and submitted it. After the usual back-and-forth over forms and formality, the manuscript was sent off for reviews. Within 2 weeks I got back 4 reviews which were both helpful and also surprising. Surprising in that the topic was somewhat foreign to medical literature. My subsequent updates in response to the reviewer comments went smoothly and in short order I had a series of proofs to evaluate. All in all, the whole publication process seemed outstanding. It was both helpful in terms of the paper’s content and also in terms of its efficient and friendly communications. Thank you all very much. Sincerely, Ted Christopher, Rochester, NY.